Номер 847 — ГДЗ по Математике 6 класс Учебник Виленкин, Жохов, Чесноков, Шварцбурд 2020. Часть 1 (решебник)
Номер 847 — ГДЗ по Математике 6 класс Учебник Виленкин, Жохов, Чесноков, Шварцбурд 2020. Часть 1 (решебник) — GDZwowПерейти к содержанию
Search for:
Авторы: Виленкин Н.Я., Жохов В.И., Чесноков А.С., Шварцбурд С.И.
Издательство: Мнемозина
Тип: Учебник
Новая версия
Старая версия
ЧАСТЬ 1
Выберите номер упражнения
123456789101112131415161718192021222324252627282930313233343536373839404142434445464748495051525354555657585960616263646566676869707172737475767778798081828384858687888990919293949596979899100101102103104105106107108109110111112113114115116117118119120121122123124125126127128129130131132133134135136137138139140141142143144145146147148149150151152153154155156157158159160161162163164165166167168169170171172173174175176177178179180181182183184185186187188189190191192193194195196197198199200201202203204205206207208209210211212213214215216217218219220221222223224225226227228229230231232233234235236237238239240241242243244245246247248249250251252253254255256257258259260261262263264265266267268269270271272273274275276277278279280281282283284285286287288289290291292293294295296297298299300301302303304305306307308309310311312313314315316317318319320321322323324325326327328329330331332333334335336337338339340341342343344345346347348349350351352353354355356357358359360361362363364365366367368369370371372373374375376377378379380381382383384385386387388389390391392393394395396397398399400401402403404405406407408409410411412413414415416417418419420421422423424425426427428429430431432433434435436437438439440441442443444445446447448449450451452453454455456457458459460461462463464465467468469470471472473474475476477478479480481482483484485486487488489490491492493494495496497498499500501502503504505506507508509510511512513514515516517518519520521522523524525526527528529530531532533534535536537538539540541542543544545546547548549550551552553554555556557558559560561562563564565566567568569570571572573574575576577578579580581582583584585586587588589590591592593594595596597598599600601602603604605606607608609610611612613614615616617618619620621622623624625626627628629630631632633634635636637638639640641642643644645646647648649650651652653654655656657658659660661662663664665666667668669670671672673674675676677678679680681682683684685686687688689690691692693694695696697698699700701702703704705706707708709710711712713714715716717718719720721722723724725726727728729730731732733734735736737738739740741742743744745746747748749750751753754755756757758759760761762763764765766767768769770771772773774775776777778779780781782783784785786787788789790791792793794795796797798799800801802803804805806807809810811812813814815816817818819820821822823824825826827828829830831832833834835836837838839840841842843844845846847848849850851852853854855856857858859860861862863864865866867868869870871872873874875876877878879880881882883884885886887888889890891892893894895896897
ЧАСТЬ 2
Выберите номер упражнения
1234567891011121314151617181920212223242526272829303132333435363738394041424344454647484950515253545556575859606162636465666768697071727374757677787980818283848586878889909192939495969798991001011021031041051061071081091101111121131141151161171181191201211221231241251261271281291301311321331341351361371381391401411421431441451461471481491501511521531541551561571581591601611621631641651661671681691701711721731741751761771781791801811821831841851861871881891901911921931941951961971981992002012022032042052062072082092102112122132142152162172182192202212222232242252262272282292302312322332342352362372382392402412422432442452462472482492502512522532542552562572582592602612622632642652662672682692702712722732742752762772782792802812822832842852862872882892902912922932942952962972982993003013023033043053063073083093103113123133143153163173183193203213223233243253263273283293303313323333343353363373383393403413423433443453463473483493503513523533543553563573583593603613623633643653663673683693703713723733743753763773783793803813823833843853863873883893903913923933943953963973983994004014024034044054064074084094104114124134144154164174184194204214224234244254264274284294304314324334344354364374384394404414424434444454464474484494504514524534544554564574584594604614624634644654664674684694704714724734744754764774784794804814824834844854864874884894904914924934944954964974984995005015025035045055065075085095105115125135145155165175185195205215225235245255265275285295305315325335345355365375385395405415425435445455465475485495505515525535545555565575585595605615625635645655665675685695705715725735745755765775785795805815825835845855865875885895905915925935945955965975985996006016026036046056066076086096106116126136146156166176186196206216226236246256266276286296306316326336346356366376386396406416426436446456466476486496506516526536546556566576586596606616626636646656666676686696706716726736746756766776786796806816826836846856866876886896906916926936946956966976986997007017027037047057068928938948958968978988999009019029039049059069079089099109119129139149159169179189199209219229239249259269279289299309319329339349359369379389399409419429439449459469479489499509519529539549559569579589599609619629639649659669679689699709719729739749759769779789799809819829839849859869879889899909919929939949959969979989991000100110021003100410051006100710081009101010111012101310141015101610171018101910201021102210231024102510261027102810291030103110321033103410351036103710381039104010411042104310441045104610471048104910501051105210531054105510561057105810591060106110621063106410651066106710681069107010711072107310741075107610771078107910801081108210831084108510861087108810891090109110921093109410951096109710981099110011011102110311041105110611071108110911101111111211131114111511161117111811191120112111221123112411251126112711281129113011311132113311341135113611371138113911401141114211431144114511461147114811491150115111521153115411551156115711581159116011611162116311641165116611671168116911701171117211731174117511761177117811791180118111821183118411851186118711881189119011911192119311941195119611971198119912011202120312041205120612071208120912101211121212131214121512161217121812191220122112221223122412251226122712281229123012311232123312341235123612371238123912401241124212431244124512461247124812491250125112521253125412551256125712581259126012611262126312641265126612671268126912701271127212731274127512761277127812791280128112821283128412851286128712881289129012911292129312941295129612971298129913001301130213031304130513061307130813091310131113121313131413151316131713181319132013211322132313241325132613271328132913301331133213331334133513361337133813391340134113421343134413451346134713481349135013511352135313541355135613571358135913601361136213631364136513661367136813691370137113721373137413751376137713781379138013811382138313841385138613871388138913901391139213931394139513961397139813991400140114021403140414051406140714081409141014111412141314141415141614171418141914201421142214231424142514261427142814291430143114321433143414351436143714381439144014411442144314441445144614481449145014511452145314541455145614571458145914601461146214631464146514681469147014711472147314741475147614771478147914801481148214831484148514861487148814891490149114921493149414951496149714981499150015011502150315041505150615071508150915101511151215131514151515161517151815191520152115221523152415251526152715281529153015311532153315341535153615371538153915401541154215431544154515461547154815491550155115521553155415551556155715581559156015611562156315641565156615671568156915701571157215731574157515761577157815791580158115821583158415851586158715881589159015911592159315941595
Adblockdetector
ГДЗ по математике 2 класс учебник Моро, Волкова 1 часть
- Тип: ГДЗ, Решебник.

- Автор: Моро М. И., Волкова С. И., Бельтюкова Г. В.
- Год: 2020.
- Серия: Школа России (ФГОС).
- Издательство: Просвещение.
Решебник — страница 65Готовое домашнее задание
Номер 1.
Две девочки измеряли длину дорожки с двух концов, идя навстречу друг другу. Одна девочка прошла до встречи 20 м, другая – на 8 м больше. Какой длины была эта дорожка?
Ответ:
20 + (20 + 8) = 48 (м) – длина дорожки. Ответ: 48 метров.
Номер 2.
Таня и Маша бежали наперегонки. Когда Таня пробежала 60 м, Маша отстала от нее на 4 м. Сколько метров пробежала Маша? Сделай схематический чертеж по задаче и реши ее.
Ответ:
60 – 4 = 56 (м) – пробежала Маша. Ответ: 56 метров.
Номер 3.
В одной корзине 6 кг яблок, в другой – 8 кг, а в ящике столько килограммов, сколько в двух корзинах вместе.
Сколько килограммов яблок в ящике?
Ответ:
1 к. – 6 кг 2 к. – 8 кг Ящ. – ? кг 6 + 8 = 14 (кг) – яблок в ящике. Ответ: 14 килограмм.
Номер 4.
Ответ:
20 + 36 – 40 = 16
40 + 50 – 67 = 23
90 – (80 – 69) = 79
70 – (32 + 8) = 30
75 + 25 – 9 = 91
83 + 17 – 5 = 95
Номер 5.
Ответ:
6 + 5 = 11 13 – 7 = 6 14 – 9 = 5 8 + 4 = 12 17 – 8 = 9 11 – 8 = 3
Номер 6.
Сравни выражения.
Ответ:
36 – 6 < 36 – 4 88 – 7 < 98 – 7 7 + 32 = 32 + 7 79 – 6 < 97 – 7
Номер 7.
Сложи числа в каждом квадрате по строкам, по столбцам, из угла в угол.
Если суммы равны, то такой квадрат называется магическим.
Ответ:
В голубом квадрате магическое число: 15. В розовом квадрате магическое число: 12.
Задание внизу страницы
Дополни до 20 числа: 17, 19, 18, 16, 15.
Дополни до 50 числа: 44, 48, 49, 46, 45.
Ответ:
17 + 3 = 20
19 + 1 = 20
18 + 2 = 20
16 + 4 = 20
15 + 5 = 20
44 + 6 = 50
48 + 2 = 50
49 + 1 = 50
46 + 4 = 50
45 + 5 = 50
Рейтинг
Выберите другую страницу
1 часть
| Учебник Моро | 4 | 5 | 6 | 7 | 8 | 9 | 10 | 11 | 12 | 13 | 14 | 15 | 16 | 17 | 18 | 19 | 20 | 21 | 22 | 23 | 24 | 25 | 26 | 27 | 28 | 29 | 30 | 31 | 32 | 33 | 34 | 35 | 36 | 37 | 38 | 39 | 40 | 41 | 42 | 43 | 44 | 45 | 46 | 47 | 48 | 49 | 50 | 51 | 52 | 53 | 54 | 55 | 56 | 57 | 58 | 59 | 60 | 61 | 62 | 63 | 64 | 65 | 66 | 67 | 68 | 69 | 70 | 71 | 72 | 73 | 74 | 75 | 76 | 77 | 78 | 79 | 80 | 81 | 83 | 84 | 85 | 86 | 87 | 88 | 89 | 90 | 91 | 92 | 93 | 94 | 95 |
|---|
2 часть
| 4 | 5 | 6 | 7 | 8 | 9 | 10 | 11 | 12 | 13 | 14 | 15 | 16 | 17 | 18 | 19 | 20 | 21 | 22 | 23 | 24 | 25 | 26 | 27 | 28 | 29 | 30 | 31 | 32 | 33 | 34 | 35 | 36 | 37 | 38 | 39 | 40 | 41 | 42 | 43 | 44 | 45 | 46 | 47 | 48 | 49 | 50 | 51 | 52 | 53 | 54 | 55 | 56 | 57 | 58 | 59 | 60 | 61 | 62 | 63 | 64 | 65 | 66 | 67 | 68 | 69 | 70 | 71 | 72 | 73 | 75 | 76 | 77 | 78 | 79 | 80 | 81 | 82 | 83 | 84 | 85 | 86 | 87 | 88 | 89 | 90 | 91 | 92 | 93 | 94 | 95 | 96 | 97 | 98 | 99 | 100 | 101 | 102 | 103 | 104 | 105 | 106 | 107 | 108 | 109 | 110 | 111 |
|---|
сборник задач по математике 5-6 классы по движению | Методическая разработка по алгебре (6 класс) по теме:
Опубликовано 25.
12.2012 — 20:19 — Антипова Надежда Алексеевна
задачи на встречное движение , движение в разных направлениях, движение в одном направлении с натуральными и десятичными числами . Пользуемся определением скорость удаления и встречная скорость.
Скачать:
Реклама
Подтяните оценки и знания с репетитором Учи.ру
За лето ребенок растерял знания и нахватал плохих оценок? Не беда! Опытные педагоги помогут вспомнить забытое и лучше понять школьную программу. Переходите на сайт и записывайтесь на бесплатный вводный урок с репетитором.
Вводный урок бесплатно, онлайн, 30 минут
Записаться >
Предварительный просмотр:
Задачи на движение.
(противоположные направления)
- Два пешехода вышли одновременно из одного пункта в противоположных направлениях. Первый шел со скоростью 5 км/ч, а второй- 4 км/ч. Какое расстояние будет между ними через 1 ч., 2ч.,5ч.
? - Из одного пункта в противоположных направлениях вышли два пешехода. Скорость одного из них 6 км/ч, другого- 4 км/ч. Какое расстояние будет между ними через 3ч.?
- Два пешехода вышли из одного пункта в противоположных направлениях. Скорость одного 6 км/ч, другого- 4 км/ч. Через сколько часов пешеходы удалятся на 30 км друг от друга?
- Два пешехода вышли одновременно из одного пункта в противоположных направлениях. Первый шел со скоростью 6 км/ч. Через 3 ч пешеходы удалились на 30 км друг от друга. Найти скорость второго пешехода.
- Из одного пункта в противоположных направлениях отошли два велосипедиста. Один ехал со скоростью 11 км/ч, другой- 13 км/ ч. Какое расстояние будет между ними через 5 ч.?
- Одновременно от одной пристани в противоположных направлениях отошли два катера. Скорость катера, идущего по течению равна 15 км/ч. Какое расстояние будет между катерами через 4 ч.?
- Из одного пункта одновременно в противоположных направлениях отправляется пешеход со скоростью 5 км/ч и велосипедист со скоростью 12 км/ч.
Через сколько часов расстояние между ними будет равно 51 км? - Из города в противоположных направлениях одновременно выехали два автомобиля скорости которых равны 75 км/ч и 63 км/ч. За сколько часов они удалятся друг от друга на 828 км?
- Из поселка одновременно в противоположных направлениях отправились велосипедист и мотоциклист. Через 2 ч между ними было 118 км. Найти скорость велосипедиста, если скорость мотоциклиста равна 46 км/ч.
- От одной пристани одновременно отошли теплоход «Комета» со скоростью 70 км/ ч и в противоположном направлении морской пароход. Чему равна скорость морского парохода, если за 3 часа они удалились друг от друга на 294 км?
- (У) два пешехода идут на встречу друг другу, первый со скоростью 5 км/ч, а второй- 6 км/ч. На сколько километров они сблизятся через 1ч., 2ч., 5ч.?
- Два пешехода вышли одновременно на встречу друг другу и через 3 часа встретились. Какое расстояние было между ними, если скорость одного 6 км/ч, а другого- 4 км/ч?
- Из двух пунктов находящихся на расстоянии 30 км, одновременно навстречу друг другу вышли два пешехода через сколько часов пешеходы встретятся, если скорости у них равны 6 км/ч и 4 км/ч?
- Находясь на расстоянии 30 км, два пешехода одновременно вышли на встречу друг к другу.
Через 3 ч они встретились. С какой скоростью шел первый пешеход. Если второй шел со скоростью 4 км/ч? - От двух пристаней одновременно на встречу друг другу отошли два теплохода и через 6 часов встретились. Какое расстояние до встречи прошел каждый теплоход, если I шел со скоростью 2 км/ч, а II- 24 км/ч?
- Из двух пунктов А и В навстречу друг другу вышли два велосипедиста, один со скоростью 10 км/ч, а другой – 15 км/ч. чему равно расстояние между А и В, если велосипедисты встретились через 3 ч?
- С противоположных сторон __________ длина которого 90 м, бегут навстречу друг другу два мальчика. Через сколько секунд они встретятся, если бег начнут одновременно один со скоростью 9 м/с, а другой- 6 м/с?
- Из двух пристаней, которые находятся на расстоянии 84 км, одновременно навстречу друг другу отплыли две лодки. Через сколько часов произойдет встреча, если скорости лодок равны 12 км/ч и 9 км/ч?
- Из пунктов А и В, ________________ друг от друга на расстоянии 360 км, одновременно навстречу друг другу выехали два поезда и встретились через 4 ч.
Скорость одного из них 47 км/ч. найти скорость другого. - Из двух пунктов одновременно навстречу друг другу вышли два катера и встретились через 5 ч. скорость одного катера 15 км/ч. Найти скорость другого катера, если расстояние между пунктами 160 км.
- Одновременно из Москвы и Уфы вышли два поезда. Которые через 16 часов встретились. Московский поезд шел со скоростью 51 км/ч. С какой скоростью шел поезд, вышедший из Уфы, если расстояние между Москвой и Уфой равно 1520 км? (одно направление, из одного пункта)
- Из поселка А одновременно отправляются в путь пешеход и велосипедист и движутся в одном направлении: пешеход со скоростью 5 км/ч, а велосипедист- 12 км/ч. На сколько километров удалится велосипедист за 1 ч, 2 ч, 3 ч?
- Из Москвы до Владивостока вылетели одновременно по одному маршруту два самолета: один со скоростью 900 км/ч, а другой 650 км/ч. На сколько километров самолет обгонит второй за 3 ч?
- Мотоциклист и автомобилист отправились одновременно в одном направлении из одного пункта.
Скорость автомобилиста 52 км/ч. Через сколько часов автомобилист обгонит мотоциклиста на 48 км? - Из города в одном и том же направлении отправились одновременно два автомобиля, скорости которых 75 км/ч и 63 км/ч. На сколько километров отстанет один автомобилист от другого за 3 ч?
- Из поселка отправились одновременно в одном направлении велосипедист и автомобилист. Мотоциклист за 5 ч проезжает 280 км, а велосипедист за 2 ч проезжает 24 км. Через сколько часов расстояние между ними будет 132 км?
- Один турист выехал из турбазы на велосипеде, другой на мотороллере, через 2 ч расстояние между ними было 92 км. С какой скоростью ехал турист на мотороллере, если скорость велосипедиста равна 14 км/ч?
- В 11 ч 15 мин от пристани отошли морской пароход и теплоход «Комета». Узнайте скорость парохода, если скорость теплохода 70 км/ч и что в 14 ч 15 мин расстояние между ними было 126 км. Двигались теплоход и пароход в одном направлении.
- Катер и плот отошли одновременно от пристани А и направились к пристани В.
Скорость катера- 12 км/ч, а плота- 4 км/. Когда катер прибыл в пункт В, плот находится от него на расстоянии 24 км. Найти расстояние между А и В. - Два теплохода, имеющие один и тот же маршрут. Отправились от пристани А одновременно. Скорость одного теплохода 25 км/ч, другого- 20 км/ч. пристань В находится на расстоянии от а в 200 км. На каком расстоянии от В находится второй теплоход. Когда первый причалит к ней?
- Автомобиль «Москвич» и автомобиль «Чайка» выехали одновременно из города M в город N, расстояние между которыми 360 км. На сколько часов раньше приедет в город N автомобиль «Чайка», если скорость его равна 90 км/ч, а скорость автомобиля «Москвич» равна 70 км/ч? (одно направление из разных пунктов)
- Из пунктов А и в, расстояние между которыми 21 км, отправились в путь одновременно пешеход из В со скоростью 5 км/ч и вдогонку ему велосипедист из а со скоростью 12 км/ч.
на сколько километров уменьшится расстояние между ними за 1ч, 2ч,3ч? - Велосипедист и пешеход отправились одновременно в одном направлении из двух пунктов, расстояние между которыми 24 км. Через сколько часов велосипедист догонит пешехода. Если скорость велосипедиста 11 км/ч, а пешехода- 5 км/ч?
- Из Ленинграда и Пскова по направлению к Одессе одновременно вышли два поезда. Скорость ленинградского поезда 67 км/ч, а псковского 49 км/ч. На каком расстоянии от Ленинграда первый поезд догонит второй, если между Ленинградом и Псковом 270 км?
- Из двух пунктов находящихся на расстоянии 24 км, вышли одновременно автомашины и идут в одном направлении. Вторая машина идет со скоростью 62 км/ч и догоняет первую через 4ч. Какова скорость автомашины?
- От двух пристаней отошли одновременно в одном направлении два парохода: один со скоростью 21 км/ч, другой- 24 км/ч. через 4ч второй догнал первый. Найдите расстояние между пристанями.
- Из города выехал на велосипеде турист и ехал со скоростью 15 км/ч.
через 3ч вслед за ним из того же города отправился на мотороллере другой турист со скоростью 60 км/ч. На каком расстоянии от города II турист догонит I туриста? - Из одного пункта одновременно в противоположных направлениях отправились два велосипедиста. Скорость одного 11 км/ч, а другого- 13 км/ч. Какое расстояние будет между велосипедистами через 4ч?
- Одновременно из Киева и Запорожска, расстояние между которыми 616 км. Вышли навстречу друг другу два автобуса. Скорость Киевского автобуса 43 км/ч, запорожского на 2 км/ч больше. Какое расстояние пройдет каждый автобус до встречи?
- Два автобуса вышли одновременно навстречу друг другу из двух селений, расстояние между которыми 450 км. Скорость одного 40 км/ч, а другого на 10 км/ч больше. Какое расстояние до встречи пройдет каждый?
- Из одного пункта в противоположных направлениях отправились два лыжника. Один из них ехал со скоростью 15 км/ч, а скорость второго была на 2 км/ч меньше. Через сколько часов расстояние между ними будет равно 72 км?
- Со станции одновременно в одном направлении вышли два электропоезда: один со скоростью 80 км/ч а другой- 75 км/ч.
Через сколько часов расстояние между ними будет 15 км? - Из одного и того же пункта одновременно и в одном направлении выехали грузовая машина со скоростью 42 км/ч и легковая со скоростью 60 км/ч. На сколько километров грузовая машина отстанет от легковой за 3ч?
Натуральные числа
- Расстояние между Ленинградом и Зеленогорском 56 км. Из Ленинграда и Зеленогорска одновременно навстречу друг другу выехали два велосипедиста и встретились через 2ч. С какой скоростью ехал велосипедист из Зеленогорска, если велосипедист из Ленинграда ехал со скоростью 15 км/ч?
- От Горького до Ульяновска по Волге 660 км. Из этих городов выехали одновременно навстречу друг другу два пешехода. Первый может пройти весь путь за 33ч. Сколько часов пешеходы были в пути до встречи, если скорость второго на 4 км/ч больше?
- Из двух пунктов А и В, расстояние между которыми 2720 км, вышли одновременно на встречу друг другу два поезда и встретились через 20ч.
Найти скорость II, если I за каждые 4ч проходил 304 км. - От двух пристаней отошли одновременно навстречу друг другу два парохода: I со скоростью 27 км/ч, а II- 23 км/ч. Какое расстояние между пристанями, если пароходы встретились через 2ч?
- От двух станций расстояние между которыми 520 км отошли одновременно навстречу друг другу два поезда . Скорость I- 68 км/ч, а II на 8 км/ч меньше. На каком расстоянии друг от друга будет поезд через 3ч?
- Расстояние между городами 1120 км. Навстречу одновременно из них вышли два поезда. Один поезд шел со скоростью 78 км/ч, что на 16 км/ч быстрее II. Сколько километров до встречи прошел II поезд?
- Из районного центра выехал автомобиль со скоростью 40 км/ч. через 2ч после его выхода из другого районного центра навстречу ему выехал другой автомобиль со скоростью 50 км/ч. Найдите расстояние между районными центрами, если автомобили встретились через 3ч после выхода II автомобиля.
- Расстояние между двумя селами равно 400 км.
Из этих сел одновременно навстречу друг другу вышли два автобуса. Скорость I- 60 км/ч, II на 20 км/ч меньше. Через сколько часов они встретились и какое расстояние до встречи прошел каждый? - Расстояние между городами равно 414 км. Из этих городов навстречу друг другу одновременно вышли два поезда. Скорость одного 63 км/ч, другого на 12 км/ч больше. Через сколько часов поезда встретятся?
- Одновременно из Киева и Запорожья, расстояние между которыми по Днепру 570 км, вышли навстречу друг другу два теплохода. Теплоход, вышедший из Киева, шел со скоростью 48 км/ч. а теплоход, вышедший из Запорожья- на 1 км/ч медленнее. Какое расстояние до встречи пройдет каждый?
По теме: методические разработки, презентации и конспекты
Сборник задач по прикладной математике (задачи физического содержания) 5 класс
Предлагаемый «Сборник задач по прикладной математике. (Физика)» содержит задачи и примеры по темам, которые предусмотрены в школьном курсе математики, применим как для учителя, так и для ученика.
Сборник задач «Страницы истории России в математических задачах»
Данная работа является сборником математических задач, содержащих отдельные страницы, фрагменты и эпизоды Отечественной истории.Математические темы, используемые в представленных задачах, соответствую…
Сборник задач.»Использование дробей при решении текстовых задач в 5-8классах»
Сборник предназначен для использования при повторении пройденных тем по дробям, и особенно, по решению задач. В ней даются в виде математических моделей: схем, таблиц, числовых и буквенных выраж…
Интегрированный урок по математике5 класс К 70-летью г. Воркута
Данный урок подготовлен к 70-летью г. Воркута для учеников 5 класса.Цели урока. Образовательный аспект: Обобщение зна…
Сборник задач «Задачи жизненной компетенции».
В сборнике представленны задачи, наполненные экономическим содержанием с широким использованием экономической терминологии. Задания сориентированы на усвоение знаний и умений, предусмотренные программ.
..
Сборник задач на движение, работу, смеси и сплавы.
Сборник задач…
Сборник задач по математике для учащихся 5-7 классов «Задачи о родном крае»
В сборнике собраны задачи об истории и географии Ульяновской области и Старокулаткинского района….
Поделиться:
Архив контрольных — Математическая вертикаль
5 класс
Пригласительная работа — декабрь 2021: условия, ответы
6 класс
Диагностика математической грамотности — март 2022 (демоверсия, спецификация)
Пригласительная работа — декабрь 2021: начинающий уровень (условия, ответы), продолжающий уровень (условия, ответы)
Вступительная работа — 28 августа 2021 (резервный день): условия, критерии и ответы
Вступительная работа — 20 мая 2021 (условия, критерии и ответы)
Диагностика математической грамотности — апрель 2021 (условия)
Пригласительная работа — 16 декабря 2020 (начинающий и углублённый уровни: задания и решения)
Вступительная работа — 14 мая (условия, ответы и комментарии)
Тренировочная работа — 18-20 апреля, 28 апреля (условия, ответы и комментарии)
Пригласительная работа — декабрь 2019
Вступительная работа — август 2019 (резервный день): варианты 5 и 6 + ответы и критерии + бланк + дополнительный бланк
Вступительная работа — май 2019 (резервный день)
Вступительная работа — апрель 2019 + решения и критерии + бланки
+ инструкция
Пригласительная работа — декабрь 2018
Вступительная работа — август 2018 (резервный день, «Интеллектуал»)
Вступительная работа — май 2018 (резервный день, «Интеллектуал»): вариант 3, вариант 4
Вступительная работа — апрель 2018 (версия с решениями)
Вступительная работа — апрель 2018: вариант 1, вариант 2
Проект вступительной работы — весна 2018
Спецификация вступительной работы — весна 2018
Пригласительная работа — декабрь 2017: математика, опросник, логика
7 класс
Диагностическая работа по геометрии — январь 2022 (условия, решения, критерии)
Диагностическая работа по алгебре и статистике — декабрь 2021 (условия с ответами, комментарии по проверке, видеоразбор)
Итоговая диагностика за 7 класс (резервный день) — сентябрь 2021 (условия, решения, ответы и критерии)
Итоговая работа по трем предметам — май 2021 (условия, критерии, ответы, ответы и решения подарочных задач)
Диагностическая работа по статистике — март 2021 (условия и решения)
Диагностическая работа по алгебре — март 2021 (условия, решения)
Диагностическая работа по геометрии — февраль 2021 (условия, решения)
Итоговая работа по алгебре (диагностика в начале 8 класса) — октябрь 2020 (условия и решения)
Итоговая работа по статистике (диагностика в начале 8 класса) — октябрь 2020 (условия и решения)
Итоговая работа по геометрии (диагностика в начале 8 класса) — сентябрь 2020 (условия, ответы и комментарии)
Вступительная работа — август 2020 (условия, ответы и комментарии)
Тренировочные работы — май 2020: по геометрии, алгебре и статистике
Диагностическая работа по геометрии — март 2020: варианты 1-2
Диагностическая работа по алгебре и статистике — январь 2020: варианты 1–4, критерии, ответы
Диагностическая работа по геометрии — ноябрь 2019: варианты, критерии
Итоговая работа — август 2019 (резервный день): варианты 5 и 6 + ответы + бланк + дополнительный бланк
Итоговая работа — май 2019: вариант 1, вариант 2, ответы и критерии, бланк, дополнительный бланк, инструкции, резервный день: варианты 3 и 4, ответы и критерии
Демоверсия итоговой работы по алгебре
Диагностическая работа по алгебре — январь 2019 + анализ
Диагностическая работа по геометрии — ноябрь 2018 + анализ
Демоверсия диагностической и итоговой работы по геометрии
8 класс
Диагностическая работа по алгебре и теории вероятностей — март 2022 (условия)
Диагностикая работа по геометрии — январь 2022 (условия, решения, критерии)
Итоговая диагностика за 8 класс (резервный день) — сентябрь 2021 (условия, решения, ответы и критерии)
Итоговая диагностика за 7 класс (резервный день) — сентябрь 2021 (условия, решения, ответы и критерии)
Итоговая работа по трем предметам — май 2021 (условия, критерии, ответы)
Диагностическая работа по статистике — март 2021 (условия и решения)
Диагностическая работа по алгебре — март 2021 (условия, решения)
Диагностическая работа по геометрии — февраль 2021 (условия, критерии и решения)
Итоговая работа по алгебре (диагностика в начале 9 класса) — октябрь 2020 (условия и решения)
Диагностика по алгебре в начале года (итоговая работа по курсу 7 класса) — октябрь 2020 (условия и решения)
Итоговая работа по статистике (диагностика в начале 9 класса) — октябрь 2020 (условия и решения)
Диагностика по статистике в начале года (итоговая работа по курсу 7 класса) — октябрь 2020 (условия и решения)
Итоговая работа по геометрии (диагностика в начале 9 класса) — сентябрь 2020 (условия, ответы и критерии)
Диагностика по геометрии в начале года (итоговая работа по курсу 7 класса) — сентябрь 2020 (условия, ответы и комментарии)
Вступительная работа — август 2020 (условия, ответы и комментарии)
Тренировочные работы — май 2020: по геометрии, алгебре и статистике
Диагностическая работа по геометрии — март 2020: вариант 1, вариант 2 Диагностическая работа по алгебре и статистике — февраль 2020: варианты, критерии, ответы
Диагностическая работа по геометрии — ноябрь 2019: варианты, критерии
9 класс
Итоговая диагностика по статистике (резервный день) — апрель 2022 (условия и решения)
Итоговая диагностика по геометрии — апрель 2022 (условия, критерии, решения)
Итоговая диагностика по алгебре — март 2022 (условия, подарочные задачи, решения, ответы, критерии)
Итоговая диагностика за 8 класс (резервный день) — сентябрь 2021 (условия, решения, ответы и критерии)
Итоговая диагностика по статистике (резервный день) — апрель 2021 (условия)
Итоговая диагностика по геометрии — апрель 2021 (условия, решения и критерии, разбор)
Итоговая диагностика по теории вероятности и статистике — апрель 2021 (условия, ответы, решения и критерии)
Диагностика по алгебре — март 2021 (условия, решения, решение задачи 9.
3)
Диагностика по алгебре в начале года (итоговая работа по курсу 8 класса) — октябрь 2020 (условия и решения)
Диагностика по статистике в начале года (итоговая работа по курсу 8 класса) — октябрь 2020 (условия и решения)
Диагностика по геометрии в начале года (итоговая работа по курсу 8 класса) — сентябрь 2020 (условия, ответы и критерии)
Вступительная работа — август 2020 (условия, ответы и комментарии)
10 класс
Итоговая диагностика по геометрии — май 2022 (условия и решения)
Итогвоая диагностика по алгебре и статистике — май 2022 (условия и решения)
Диагностика по геометрии — декабрь 2021 (условия, решения и ответы, видеоразбор)
Диагностика по алгебре — декабрь 2021 (условия, критерии, решения и ответы)
Диагностика по статистике — декабрь 2021 (условия с ответами, комментарии по проверке)
Fresh Green Mate 12 унций
Наведите курсор на изображение, чтобы увеличить Нажмите на изображение, чтобы увеличить
Экономия -11,07 $
Коэффициент сопряжения
Поделитесь этим продуктом
Fresh Green Yerba Mate — 12 унций органического рассыпного чая
Состав: 100% сертифицированный органический свежий зеленый бразильский мате.
(Никогда не курил — никогда не выдерживал)
Почему наш свежий зеленый мате такой вкусный?
- Мы не старим наш Йерба Мате:
- Все остальные мате, продаваемые в США, выдерживаются в течение 1-2 лет перед упаковкой в соответствии с культурными традициями Парагвая, Урагвая и Аргентины. Однако в Бразилии мате обычно предпочитают как можно более свежим. Mate Factor предпочитает этот стиль, так как он сохраняет живительные питательные вещества и свежий вкус зелени.
- Наш процесс приготовления Йерба Мате — это искусство: мы потратили годы на совершенствование «искусства» создания изысканно вкусного Йерба Мате. Мы кропотливо изучили огромное количество факторов, которые контролируют окончательный вкус и яркость, чтобы создать The Mate Factor.
- Нет дымного аромата: мы сушим наш Мате; используя разработанное нами искусство, которое сохраняет естественный аромат, а также защищает наш оригинальный зеленый чай мате от дыма.
Этот низкотемпературный процесс защищает натуральные ферменты, содержащиеся в мате. - 100% сертифицированный органический продукт: мы используем стопроцентно сертифицированный органический Yerba Mate, ответственно выращенный без пестицидов или химических удобрений, сохраняя окружающую среду, в которой выращивается наш Mate.
СЕРТИФИЦИРОВАННЫЙ ОРГАНИЧЕСКИЙ
Прочтите о свойствах Йерба Мате, удивительной травы из Южной Америки.
Мате – вечнозеленое растение из семейства остролистных, произрастающее в субтропических лесах Южной Америки. Дерево мате из семейства аквифолиевых имеет высоту от 6 до 8 метров и может достигать 15 метров. В этом семействе много разных видов, род Ilex насчитывает более 550, включая падуб, 280 видов, встречающихся в Южной Америке, 60 из которых встречаются на юге Бразилии. Однако в производстве мате используются только 3 вида (I. paraguariensis, I. angustifolia, I. amara), наиболее важным из которых является Ilex Paraguariensis.
Из-за широко распространенного генетического разнообразия семейства Ilex растение-мате может иметь белые или светло-фиолетовые стебли и толстые восковые листья с вмятинами или гладкими краями
Вкус
Считается, что количество ксантеновых алкалоидов в листьях мата напрямую связано с качеством почвы. Это влияет на вкус йерба мате, придавая ему более мягкий вкус. Этот вкус варьируется от региона к региону, почвы на юге Бразилии резко различаются по содержанию минералов, текстуре и органической массе. Тем не менее, культивируемый мат имеет тенденцию иметь более сильную горечь и, вероятно, более высокое содержание ксантенов. Местные деревья, которые растут в богатом азотом верхнем слое почвы сосновых лесов Паран, имеют более мягкую горечь и более сильный вкус листьев. Достижение их правильного баланса является секретом стабильного свежего вкуса йерба мате.
Размер и форма деревьев и листьев
Фактором, который характеризует размер и форму деревьев мате, является количество получаемого солнечного света.
В густом субтропическом лесу борьба за солнечный свет развила деревья так, что они имеют длинные стройные стволы с крупной облиственной верхушкой. Это относится к местным деревьям йерба мате, которые имеют более длинный ствол, достигающий 45 футов в высоту, чтобы достичь солнечного света. Культурные деревья обрезают, чтобы они раскинулись, создавая большие кусты, которые редко имеют большие стволы. Их тщательно собирают каждый сезон, чтобы сохранить кустообразную форму, что облегчает труд при сборе урожая. Листья также различаются по размеру и форме. Местные листья обычно меньше и темнее по цвету. Культурные листья крупнее, и иногда зазубренный край листа становится менее заметным.
Органическое выращивание мате
Одним из препятствий, с которым сталкивается культивируемый мате, являются сорняки. Использование гербицидов широко распространено на возделываемых территориях, что создает угрозу естественному балансу субтропических лесов и лугов. По этой причине мы также выбрали плантации мате, окруженные естественным лесом.
Это исключает любую возможность загрязнения. Международные органические правила соблюдаются на всех наших сертифицированных плантациях. Родной мате не сталкивается с такой проблемой, так как сорняки не растут в густом лесу. Большинство местных мате по умолчанию являются органическими. Тем не менее, у нас есть все наши родные области мате, и мы проводим добычу таким образом, чтобы не повредить другую растительность в лесу.
Copyright 2010 The Mate Factor. Информация и изображения на этой странице не могут быть воспроизведены в коммерческих целях без разрешения Mate Factor.
Примечание. Это описание соответствует мате йерба, выращенному и обработанному The Mate Factor. Yerba Mate, обработанный или выращенный другими компаниями, может не соответствовать тому же описанию.
Почему Mate Factor Yerba Mate настолько хорош?
Yerba Mate Nutrition
Сбор и переработка
Традиции и история
Тыква Йерба Мате
Ботаническое название: Ilex Paraguariensis (часть семейства остролистных)
Богатые минералы, содержащиеся в Йерба Мате, которые поддерживают обмен веществ и развитие.
- хром
- медь
- железо
- марганец
- калий
- цинк
Соединение | Биологическая активность |
Кофеин | Противораковое средство, средство против ожирения, антиоксидантное, противоопухолевое, мочегонное средство, стимулятор от 20 до 200 мг, стимулятор, ингибитор топоизомеразы-I 0,1 М, ингибитор топоизомеразы-II 99 мМ, сосудорасширяющее средство |
Хлорогеновая кислота | Антиоксидант IC 50 = 54,2 мкМ, обезболивающее, антиатеросклеротическое, антибактериальное, антидиабетическое, противоопухолевое, желчегонное |
Хлорофилл | Антибактериальный, противораковый |
Холин | Противодиабетическое, холинергическое, липотропное |
Никотиновая кислота | Холеретики, гипохолестеринемические от 1 до 6 г/день |
Пантотеновая кислота | Противоаллергическое от 100 до 500 мг/день, противоартритное от 500 до 2000 мг/день, против усталости |
Рутин | 50 = 30 ppm IC 50 = 120 мкМ, противоопухолевый, противоопухолевый промотор, противоязвенный, ингибитор цАМФ-фосфодиэстеразы, ингибитор топоизомеразы II IC 50 = 1 мкг/мл, сосудорасширяющее средство |
Таннин | Антиоксидант 1/3 кверцетин IC 50 = 1,44 мкг/мл, противоопухолевый, противоопухолевый промотор, ингибитор липоксигеназы, ингибитор МАО e |
Теобромин | ингибитор цАМФ IC 50 = 0,06 мг/мл, ингибитор цАМФ-фосфодиэстеразы, диуретик 300–600 мг/день, стимулятор, миорелаксант |
Теофиллин | ингибитор цАМФ IC 50 = 0,06 мг/мл, ингибитор цАМФ-фосфодиэстеразы, мочегонное, желчегонное, стимулятор, сосудорасширяющее средство, миорелаксант 100 мкМ |
Урсоловая кислота | Анальгетик, антиоксидант IC 50 = 10 мкМ, антипероксидант IC50 35 = 200 мкг/мл, ингибитор протеазы IC50 85 = 18 мкг/мл, ингибитор топоизомеразы II, противоаритмический, противораковый, противоальцгеймерный |
Больше антиоксидантов, чем в зеленом чае — Антиоксиданты в мате
Исследования показывают, что мате содержит больше антиоксидантов, чем зеленый чай.
Частично за это отвечает высокий уровень полифенолов, содержащихся в Йерба Мате. Полифенолы действуют так же, как 29.3 природных антиоксидантных фермента в организме, и считается, что они поддерживают эти естественные системы укрепления здоровья.
Высокая антиоксидантная ценность мате во многом обусловлена очень высоким уровнем кофеиловых производных, обнаруженных в мате по сравнению с другими растениями. К ним относятся кофейная кислота, хлорогеновая кислота, 3,4-дикафеоилхинная кислота, 3,5-дикафеоилхинная кислота и 4,5-дикафеоилхинная кислота.
Полифенолы в мате:
- Кофеиновая кислота
- Кофеин
- Производные кофеила
- Кофеоилшикимовая кислота
- Хлорогеновая кислота
- Ферулоилхиновая кислота
- Кемпферол
- Кверцетин
- Хинная кислота
- Рутин
- Теобромин
Энергетик для здоровья
Энергетический эффект Йерба Мате длится дольше, чем у традиционных напитков с кофеином, и, по мнению большинства, не имеет побочных эффектов, таких как дрожь, перепады настроения, зависимость и усталость после стимуляции.
Суть в том, что Йерба Мате дает вам энергию, которая действительно приносит удовольствие.
Yerba Mate содержит 3 ксантиновых алкалоида, работающих вместе с богатым набором питательных компонентов, создавая уникальный эффект здоровой энергии. Ксантинами являются кофеин, теобромин и теофиллин. В мате мало кофеина и теофиллина, но много теобромина, который оказывает меньшее влияние на нервную систему, чем кофеин. Существует гипотеза, что Yerba Mate содержит свой собственный уникальный ксантиновый алкалоид, который еще не был идентифицирован клинически.
Как ни странно, подавляющее большинство сообщило, что Йерба Мате не вызывает у них тех проблем со здоровьем, которые возникают от кофе. Многие, у кого были проблемы с кофеином и они хотели избавиться от него, находят Yerba Mate ответом, который они искали.
Йерба Мате и похудение
Считается, что Йерба Мате помогает похудеть и вызывает растущий интерес у тех, кто изучает борьбу с ожирением. Исследования указывают на то, что Yerba Mate потенциально влияет на метаболизм холестерина и задерживает кишечное всасывание пищевого жира.
Тучные мужчины и женщины, употребляющие чай мате, показали снижение дыхательного коэффициента (RQ), что указывает на усиление окисления жиров.
Исследование, проведенное в 1998 году в Университете Рио-Гранде, Бразилия, показало, что мате способен расслаблять сосуды артериального русла, что указывает на то, что он может снижать риск сердечных заболеваний так же, как красное вино. считается делать.
Термогенный эффект мате вызывает интерес как у исследователей, так и у тех, кто хочет похудеть.
Каталожные номера:
1 C.I. Хек и Э.Г. де Мехиа; Чай Yerba Mate (Ilex paraguariensis): всесторонний обзор химии, последствий для здоровья и технологических соображений., J. Food Science 17 октября 2007 г.; DOI 10.1111/j.1750-3841.2007.00535.x.
2 Филип Р., Лотито С.Б., Ферраро Г., Фрага К.Г. 2000. Антиоксидантная активность Ilex paraguariensis и родственных видов. Нутр Рез 20: 1437–46.
3 Bixby M, Spieler L, Menini T, Gugliucci A.
2005. Экстракты Ilex paraguariensis являются мощными ингибиторами нитрозативного стресса: сравнительное исследование зеленого чая и вина с использованием модели нитрования белков и цитотоксичности клеток млекопитающих. Науки о жизни 77: 345–5.
4 Муччилло Байш А.Л., Джонстон К.Б., Паганини Штейн Ф.Л. 1998. Эндотелийзависимая сосудорасширяющая активность водных экстрактов Ilex paraguariensis на брыжеечное артериальное русло крыс. Дж. Этнофармакол 60:133–9.
5 Martinet A, Hostettmann K, Schutz Y. 1999. Термогенные эффекты имеющихся в продаже растительных препаратов, направленных на лечение ожирения человека. Фитомедицина 6: 231–8.
6 Дикель М.Л., Рейтс С.М., Риттер М.Р. 2007. Растения, широко используемые для похудения в Порту-Алегри, Южная Бразилия. Дж. Этнофармакол 109:60–71.
7 Carini M, Facino RM, Aldini G, Calloni M, Colombo L. 1998. Характеристика фенольных антиоксидантов из мате (Ilex paraguayensis) с помощью жидкостной хроматографии, масс-спектрометрии и тандемной жидкостной хроматографии.
Быстрое общение в масс-спектрометрии 12: 1813–9..
Почему Mate Factor Yerba Mate настолько хорош?
Завод Йерба Мате
Сбор и переработка
Традиции и история
Тыква Йерба Мате
AmazonAmerican ExpressApple PayDiners ClubDiscoverMeta PayGoogle PayMastercardPayPalShop PayVenmoVisaВаша платежная информация надежно обрабатывается. Мы не храним данные кредитной карты и не имеем доступа к информации о вашей кредитной карте.
Страна
США
Почтовый индекс
Fresh Meat (TV Series 2011–2016)
Episode guide- Cast & crew
- User reviews
- Trivia
IMDbPro
- TV Series
- 2011–20162011–2016
- TV-MATV-MA
- 50m
Рейтинг IMDB
7,8/10
18K
Ваш рейтинг
Популярность
Play Trailer0: 41
1 Видео
61 Photo
Comedydrama
03
.
вот-вот вступит в самый захватывающий период их жизни, университет. Комедия о группе из шести студентов, которые собираются вступить в самый захватывающий период своей жизни, университет. Комедия о группе из шести студентов вот-вот вступит в самый захватывающий период их жизни, университет.
IMDb RATING
7.8/10
18K
YOUR RATING
POPULARITY
- Creators
- Jesse Armstrong
- Sam Bain
- Stars
- Zawe Ashton
- Greg McHugh
- Kimberley Nixon
- Создатели
- Джесси Армстронг
- Сэм Бейн
- Звезды
- Зави Эштон
- Грег МакХью
4 Кимбер
4
- 38User reviews
- 2Critic reviews
- Nominated for 3 BAFTA Awards
- 4 wins & 19 nominations total
Эпизоды30
Просмотреть серии
ТопС рейтингом
4 сезона
4321Посмотреть все
4 года
2016201320122019Посмотреть все
30020
Trailer 0:41
Watch Trailer: Season 4
Photos61
Top cast
Zawe Ashton
- Violet ‘Vod’ Nordstrom
Greg McHugh
- Howard McGregor
EPS • 2011–2016Kimberley Nixon
- Джози Джонс
- Кингсли Оуэн
Джек Уайтхолл
- Джонатан «Дж.П.» Pembersley
Фэй Марсей
- Candice Pelling
Hannah Britland
7 Episodes7 EPS • 2013Jack Fox
7 Episodes7 EPS • 2011–2013Robert Webb
5 Episodes5 EPS • 2011–2012AYD AYD HIPDA
5 EPESODES5 EPS • 2011–2012AYD AYDA
5 EPSODES5 EPS • 2011–2012AYD AYDA
5 EPSODES5 EPS.
• 2016Сара Стюарт
- Профессор Джин Шалес
Адам Гиллен
4 Эпизоды 4 EPS • 2011Джеймс Мусгрейв
4 Эпизоды4 EPS • 2011–2012Ronan Raftery
- Dylan Shales
- Создатели
- Jesse Armstrong
- Sam Bain
- All Cast & Cream .
- Соединения
, представленные в викторинге Big Fat of the Year (2011)
- sandycochrane-97758
- Oct 3, 2021
- Release date
- September 21, 2011 (United Kingdom)
- Country of origin
- United Kingdom
- Язык
- Английский
- Также известен как
- Свежее месо
- Места съемок
- Манчестер, Англия, Великобритания
- Production companies
- Lime Pictures
- Objective Productions
- See more company credits at IMDbPro
The Inbetweeners
Friday Night Dinner
Gavin & Stacey
White Gold
Outnumbered
Peep Show
Fresh Meat
The Inbetweeners
Little Britina
The Inwehyweers 2
Come Fly With Me
Сюжетная линия
Знаете ли вы
Пользователи.

Избранный обзор
5/
10
Джози — куча коричневых какашек
Ее персонаж портит все шоу. Я ненавижу ее. Было бы неплохо, если бы они убрали ее, сделали Орегон менее заурядным и сделали Кингсли немного интересным.
helpful•6
1
Details
Technical specs
- Runtime
50 minutes
- Color
- Sound mix
- Aspect ratio
- 16:9 HD
- HDTV 1080i
Новости по теме
Внесите свой вклад в эту страницу
Предложите отредактировать или добавить отсутствующий контент
Top Gap
Какой план сюжета на испанском языке для Fresh Meat (2011)?
Ответить
Еще для изучения
Недавно просмотренные
У вас нет недавно просмотренных страниц
TNA Board — свежие новые статьи ValleyScott — Fenêtre sur cour
Обзор: TNA Board — свежие новые статьи ValleyScottTweets
Новая сборка прямо здесь просто обеспечивает ненужные установленные — изнутри недостатки, которые блокируют дорогу, где найти что вы хотите иметь.
Полный, TNA Board не является вредоносным веб-сайтом. Он предоставляет всего понемногу, поэтому вы делаете это на страницах. Я не нашел сборку, в противном случае отдельные соединения на веб-сайте мне понравились, независимо от того, хотел ли я, чтобы каждый человек получал от них гораздо больше пользы, чем нам удается.
В мое личное время вы найдете достаточно классифицированных веб-сайтов и сопутствующих досок. Различные сайты, которые вы обязательно найдете Мы баловались во время этой новой статьи чатов. Тот, который приходит им в голову, — это последний TNABoard. TNA — это форум, в котором вы можете оценить женщин из общества, которые были идеей «команды». Как правило, я должен сообщить вам, что именно эти типы женщин предлагают с помощью пункта, известного как TNA, правильно, я думаю, вы также чисты, потому что используете веб-сайты, похожие на это, так или иначе.
Если вы типичный покупатель секс-работников и хотите заполучить свежие новые знакомства, отправляйтесь в самые разные города, если вы не можете заполучить свежие новости от других людей, далеких от TNA.
Панельное расследование, вы могли бы найти карьеру еще более полезной. нет, в большинстве случаев неэффективно иметь собственный отличный партнер, чтобы иметь эффективную находку на одно свидание, если вы разочарованы тем, что потратили это новое тесто.
TopEscortBabes
- Оказавшись здесь, вы получили несколько различных вариантов, которые отображаются на последней левой панели для выбора.
- Когда вы ищете товарища по ассоциации, вам следует избегать TNAboard.
- TNA Board использует безопасность SSL, которая обеспечивает безопасность профилей.
- Форумы для диалогов, списков и поиска недвижимости, и вы можете исследовать, чтобы найти самых лучших девушек.
- Существует ряд именно поэтому я рекомендации избегать использования свежего TNA комитета.
Крупные другие сайты, такие как, например, TnA Opinions и Intimate Opinions, охватывают почти все городские районы на You; для каждого места есть своя индивидуальная обратная связь с региональными покупателями, а также у вас есть тенденция к нечастой, приятельской рекламе.
В то время как такие, как, например, веб-сайты находятся за пределами страны, не все такие онлайн-сообщества тратят деньги на то, чтобы удовлетворять действительно что-то, что сделало новое состояние в Сиэтле, например руководство. В других местах, чтобы узнать больше Все из нас, мне стало приятно, так как я увидел солидное количество отзывов о продуктах. Орегон в настоящее время проводит большое исследование, включающее 38 100 человек, в то время как Нью-Йорк рассматривает подходящую группу из более чем 23 100 человек. Я думаю, это искренне заявить, что, хотя вы намерены хотеть веб-сайт. Любитель спота критически анализирует ваше внимание вдали от того, что вы делаете, TNA Board — это место для вас.
К преследованию элемента плюсов и минусов мы создадим информацию об определенных рисках, и вы получите преимущества веб-сайта, и вы сможете составить компанию; хотя нет, они не сразу ассоциируются с новейшим методом может стоить вам. По крайней мере, компания-компаньон присоединилась к группе TNA в штате Айдахо и группе TNA в штате Орегон.
В случае, если есть категория людей с любыми характеристиками или товарами, которые могут отображаться в профилях на HookupGeek, вам не нужно ссылаться на них на их веб-сайте HookupGeek. Другими словами, у HookupGeek нет никаких обязательств перед вашими вещами в новых объявлениях и вашими атрибутами, и вы можете продавать высокое качество продуктов.
Тем не менее, как только вы справитесь с текущей неудобной конструкцией интернет-страниц, вы сможете получить доступ к огромным базам данных по секс-группам, и вы сможете проанализировать кого угодно. В дополнение к этому, комитет TNA мог бы обеспечить высокое качество вдали от гаджетов, и вы можете позволить пользователям разрешить одному из многих поставщиков свежих помощников. У других есть дети, в противном случае плоские товарищи, поэтому тщательный контроль не будет достигнут, также не будет достигнут эффективный любитель панели TNA. Группа TNA Эверетт, Восточная Вашингтон, группа TNA Вашингтон, начало которой было помечено Орегон, Айдахо, Юта, Лас-Вегас, Вашингтон, Калифорния, Колорадо, Монтана, панель TNA Лас-Вегас, Аляска, США.
с., панель TNA Tacoma, Dying Area, панель TNA Portland, если вы не идете на восток; Наименьший уровень бизнеса по сопровождению фактически присоединен к комитету TNA в штате Айдахо, и вы будете участвовать в группе TNA в штате Орегон. TNA Board использует покрытие SSL, которое обеспечивает защиту ваших людей.
Итак, насколько честными и законными являются эти веб-сайты на самом деле? Какой тип информации вы можете ожидать от их веб-сайта? Что такое TNA Panel и что она производит?
Очень важно контролировать ситуацию, основываясь только на рекомендациях из этого нового профиля TNA Board. На самом деле, нам пришлось вводить много прямо здесь, чтобы страницы к программе (для каждой из этих новых страниц от поставщиков) легко открывались и открывались с использованием новейшего вида. Они показывают, что вы можете понять текущую ситуацию и потенциально можете оправдать отзывы людей, которые были перед вами, о конкретном человеке. Таким образом, выбирая услугу, вы можете рассчитывать на один из самых достоверных результатов.
Полициклические ароматические углеводороды как потенциальный источник канцерогенности мате
- Список журналов
- Рукописи авторов HHS
- PMC6443446
J Environ Sci Health C Environ Carcinog Ecotoxicol Rev. Авторская рукопись; доступно в PMC 20191 апреля.
Опубликовано в окончательной редакции как:
J Environ Sci Health C Environ Carcinog Ecotoxicol Rev. 2019; 37(1): 26–41.
Published online 2018 Dec 30. doi: 10.1080/105
PMCID: PMC6443446
NIHMSID: NIHMS1015809
PMID: 30596334
, a , b , b , c and a, d
Информация об авторе Информация об авторских правах и лицензии Отказ от ответственности
Употребление мате, настоя травы ilex paraguariensis , очень распространено в нескольких странах Южной Америки и связано с повышенным риском рака пищевода.
Этот повышенный риск может быть связан с тем, что мате пьют очень горячим, или с потенциально канцерогенными загрязнителями мате, такими как полициклические ароматические углеводороды (ПАУ). Листья мате часто сушат путем копчения, поэтому коммерческие образцы могут содержать большое количество ПАУ. Мы нашли 10 оригинальных статей, в которых измерялись ПАУ в коммерческих сухих образцах, и почти во всех были обнаружены очень высокие массовые доли. Большинство исследований обнаружили бензо[ a массовые доли ]пирена превышают 25 нг/г, а некоторые обнаруживают уровни до 600 нг/г. Однако канцерогенные ПАУ часто гидрофобны и не могут легко переходить в инфузии. В семи статьях изучались скорости передачи, и эти скорости варьировались от 1 до 50%, в зависимости от используемых методов. Рекомендуются дальнейшие тщательные исследования скорости передачи в ситуациях, имитирующих употребление мате в реальной жизни. Кроме того, рекомендуется дальнейшее изучение биологических индикаторов воздействия ПАУ, особенно в рандомизированных экспериментах, а также анализ ДНК из образцов опухолей пьющих мате.
Ключевые слова: мате, ПАУ, бенз(а)пирен, рак пищевода, горячие напитки мат или эрва мат . Листья собирают; сушка на солнце, копчение, традиционные дрова или современные технологии нагревания; нарезанный и измельченный в порошкообразную смесь, которую замачивают в горячей воде и подают с металлической соломинкой в качестве «горячего чая мате». Это традиционный способ приготовления и употребления чая мате, процесс заваривания можно повторять 10–15 раз. В настоящее время напитки мате в бутылках также широко доступны на рынке.
Мате является источником кофеина и широко употребляется в странах Южной Америки (Уругвай, Парагвай, Аргентина и некоторые районы Бразилии) вместо чая или кофе, иногда в больших количествах. Например, в Уругвае более 90% больных и контролей в исследовании потребляли мате. 1 Другое исследование, проведенное в Бразилии, показало, что среднее потребление мате составляет 1,8 л/день. 2 Тем не менее, литература о влиянии мате на здоровье не так обширна, как о чае или кофе.
3 Хотя в исследованиях на людях и животных было показано некоторое положительное влияние на уровень сахара в крови и профиль липидов 3 — что привело к рекламе мате как лечебного напитка — многочисленные исследования показали, что употребление мате связано с повышенным риском развития нескольких видов рака, особенно рак пищевода, 4–6 , а также рак легких и мочевого пузыря. 7 Связь мате с раком пищевода частично объясняется повторяющимся термическим повреждением слизистой оболочки пищевода; Международное агентство по изучению рака (IARC) классифицировало очень горячие напитки, такие как горячий настой мате, как вероятный канцероген (класс 2A). 8 Однако связь мате с другими видами рака, напр. рак легких и мочевого пузыря нельзя объяснить горячей температурой мате. Более высокий риск этих видов рака среди тех, кто пьет мате, потенциально может быть связан с искажающим эффектом употребления табака, поскольку те, кто пьет мате, с большей вероятностью будут курильщиками.
В качестве альтернативы, этот более высокий риск может быть связан с тем, что мате может содержать некоторые канцерогенные примеси, в частности полициклические ароматические углеводороды (ПАУ), такие как бензо[ a ]пирен (канцероген класса 1), бензо[ a ]антрацен (канцероген класса 2B), бензо[ b ]флуорантен (канцероген класса 2B) и хризен (канцероген класса 2B), которые повышают риск возникновения этих видов рака.
Несколько исследований действительно показали, что коммерчески приготовленные листья мате содержат значительное количество ПАУ. 9,10 Небольшое количество может накапливаться в необработанных зеленых листьях из-за загрязнения почвы и атмосферы. Большая часть ПАУ в высушенных листьях попадает в процессе обработки, особенно на стадиях бланширования (сапеко) и сушки копчением при коммерческом приготовлении. 11 Некоторые исследователи утверждают, что высокие концентрации ПАУ в листьях мате не приводят к высокому уровню воздействия канцерогенных ПАУ на потребителей: настои мате могут содержать незначительные количества ПАУ, поскольку канцерогенные ПАУ обычно гидрофобны.
Более тяжелые, более канцерогенные ПАУ (например, бензо[ a ]пирен) имеют очень низкую растворимость в воде и, как правило, не переходят из сухих листьев в настои. Однако в некоторых исследованиях утверждается, что многократное замачивание листьев, как это делается в повседневной жизни, приводит к высвобождению значительных количеств ПАУ. 10
Целью данной статьи является проведение обзора исследований, в которых измерялось содержание ПАУ в листьях мате и настоях мате, а также обсуждение: (1) содержит ли коммерческий сухой мате значительный уровень ПАУ; (2) имеют ли настои мате значительные уровни ПАУ; (3) в какой степени люди подвергаются воздействию ПАУ при употреблении собутыльника; (4) какие дополнительные исследования необходимо провести для дальнейшего изучения этой гипотезы; (5) как мате может быть более полезным напитком.
2.1. Поиск литературы
Мы провели систематический поиск статей, в которых измерялась концентрация ПАУ в листьях мате или настоях мате.
Поскольку общее количество таких статей было относительно небольшим, мы использовали широкие условия поиска, чтобы охватить все потенциальные статьи. Мы провели поиск в PubMed по терминам «(mate OR ilex paraguariensis ) И (ПАУ OR полициклический ароматический углеводород)», в результате чего было найдено 89 статей. Просмотрев заголовки и аннотации, мы нашли 19 потенциально релевантных статей. После ознакомления с полным текстом 19статей, мы нашли 13, в которых измеряли ПАУ, алкилированные ПАУ или нитро-ПАУ в листьях мате или чае мате. Мы провели поиск в Wiley Library и Science Direct, используя те же термины, что и в PubMed, но не нашли новых статей. Кроме того, мы просмотрели ссылки на выбранные статьи и нашли две новые статьи. Таким образом, всего в этот обзор было включено 15 статей.
2.2. Извлечение данных
Для сухого материала мы извлекли данные о типе Ilex paraguariensis исследованных (свежие листья или ветки, жареные или высушенные путем копчения), количество ПАУ, измеренное в каждом исследовании, методы экстракции и измерения, а также массовые доли (нанограммы на грамм, нг/г) общего содержания ПАУ и четырех полициклических ароматических соединений.
углеводороды с наибольшей вероятностью быть канцерогенными. Эти четыре ПАУ, также известные как ПАУ5, представляют собой бензо[ a ]пирен (B[ a ]P), бензо[ a ]антрацен (B[ a ]A), бензо[ b ] флуорантен (B[ a ]F) и хризен. 12 Для инфузий мы извлекли данные о граммах листьев и воды, использованных для эксперимента, соотношении воды и листьев, времени настаивания, температуре настаивания, а также концентрации (нг/мл) или количестве и проценте массовых долей ПАУ. переведены на инфузии. Если было измерено несколько образцов или один образец был измерен несколько раз, мы сообщаем средние значения.
обобщает данные 10 исследований, 9–11,13–19 , опубликованных в период с 1985 по 2018 год, в которых измерялись значения отдельных ПАУ в сухих листьях мате.
Таблица 1.
ПАУ в сухой массе.
| Автор (Год) | Аналитический метод | Мате -источник | Количество PAHS | Total PAH (диапазон NG/G) | 9086 PAH5 (ng/g).B[ a ]A (диапазон, нг/г) | B[ b ]F (диапазон, нг/г) | Хризен (диапазон, нг/г) | |||
|---|---|---|---|---|---|---|---|---|---|---|
| Тфуни (2018) 17 | КЕЧЕРС; | 3 CS | 4 | 946 (194–1795) | 946 | 208 (39–423) | 231 (41–434) | 177 (30–383) | 9209599599599599599599599599599599599599599599595959595959595959595959595992992995995995995995995995995995995995995995995995995995||
| HPLC-FLD | ||||||||||
| Rolle (2016) 14 | GC-MS | 1 CS | 8 | 4065 | 2073 | 603 | 507 | 519 | 444 | |
| Шульц (2014) 16 | GC-MS | 3 CS | 16 | 1967 (1600–2500) | 1036 | 273 (200–380) | 250 (200–310) | 193 (110–250) | 320 (260–420) | |
| Londo~no (2014) 13 | HPLC-FLD/DAD | 50 CS | 16 | 1664 (225–4450) | 145 | 26. 9 ( 1,3–125,2) | 28,7 (2,2–108,8) | 21,9 (1,7–85,3) | 67,6 (3,1–210,5) | |
| Golozar (2012) | GC-MS | 8 CS (2008) | 20 | 1500 (625–3710) | 227 | 1500 (625–3710). –206)53.7 (27.9–190) | 77.0 (30.5–271) | |||
| 3 CS (2010) | 1394 (808–1993) | 243 | 16. 4 (12.3–21) | 102 (84,8–122) | 71,3 (45,4–113) | 53,1 (11,3–112) | ||||
| 1 CS | 621 | 173 | 5.1 | 111 | 23.6 | 33.1 | ||||
| (не курят) | ||||||||||
| (не курят) | ||||||||||
| 18 CS | 16 | 506 (443–593) | 2. 5 | NP | 1.6 (1.23–1.91) | NP | 0.9 (0.65–1.13) | |||
| 6 fresh | 5758 (5336–6095) | 138 | NP | 32,5 (19,6–40,3) | 36,4 (15,1–60,5) | 69,3 (7,4–95,3) | ||||
| 6 -й частично, | 375 | |||||||||
6. 162) | 88.9 (81.2–93.1) | 120.3 (105–145) | ||||||||
| 6 dried | 8307 (7614–9001) | |||||||||
| Ziegenhals (2008) 18 | Быстрая ГХ-МСВР; | 8 ЧС | 16 | 1101 (326–2662) | 635 | 106. 5 (75.8–236.5) | 147.1 (83.6–374.6) | 105.2 (63.5–258.1) | 276.2 (125.7–746.3) | |
| GC-HRMS | ||||||||||
| Kamangar (2008) 10 | GC-MS | 8 CS | 21 | 1983 (536–2906) | 282 | 37.1 (8.03–53.3) | 72.8 (24.5–99.9) | 51 (21,4–76,3) | 121,4 (42,3–169) | |
| Schlemitz (1997) 19 | ЮФО; GC-MS | 2 CS | 16 | 7006 (6476–7536) | 2230 | 496 (225–542) | 154 (1,7–307) | 9091)154 (1,7–307) | ) | 154. –579) |
| Ruschenburg (1985) 15 | GC-MS | 5 CS | 1 | N/A | N/A | 80 a (24–461) | N /Д | Н/Д | Н/Д |
Открыть в отдельном окне
B[ a ]P: Бензо[ a ]пирен; B[ a ]A: Бензо[ a ]антрацен; B[b]F: Бензо[b]флуорантен; CS: коммерческий образец; ГХ-МС: газовая хроматография-масс-спектрометрия; ГХ-МСВР: газовая хроматография – масс-спектрометр высокого разрешения; ВЭЖХ-УФ: высокоэффективная жидкостная хроматография-УФ; НП: нет; Н/Д: Недоступно.
a Диапазон показан в документе, и рассчитано среднее значение.
3.1. Образцы мате
Материал, использованный для этих исследований, в основном представлял собой коммерческие образцы, приготовленные после сушки. В большинстве исследований измерялось несколько образцов либо одного коммерческого бренда, либо разных брендов. В одном исследовании 11 использовались свежие, сушеные и коммерческие марки. В другом исследовании 9 было 11 коммерческих образцов, приготовленных с использованием традиционных методов (включая, возможно, копчение), и один образец, высушенный без воздействия дыма.
3.2. Методы экстракции
Для оценки массовых долей в сухих листьях мате ПАУ экстрагировали, а затем переводили в раствор, который можно было вводить в измерительные приборы. Этот процесс включал три этапа: экстракцию, очистку и замену растворителя. Сухие листья часто разрезали на четыре части и измельчали в молотковой мельнице или подобном устройстве.
Поскольку ПАУ обладают высокой липофильностью, измельченные листья обрабатывали органическими растворителями для извлечения ПАУ. Наиболее распространенными растворителями, используемыми для этого процесса, были гексан, гексан/ацетон и дихлорметан, летучие и неполярные растворители с температурами кипения 50 и 70 ○C, которые легко удаляются с помощью роторного испарителя. Чаще всего использовали экстракцию ультразвуком в течение 15 или 30 мин при 30 или 60°С. 11,13,16,18 В качестве альтернативы для быстрой и автоматической экстракции ПАУ из сухих листьев мате использовалась жидкостная экстракция под давлением или ускоренная экстракция растворителем. 9,10,18 Экстракцию по Сокслету также использовали для тщательного извлечения ПАУ из мате. 14 Затем раствор экстракта подвергали фильтрации или центрифугированию для отделения раствора от остатков. Поскольку в неочищенном экстракте могут присутствовать другие растворимые органические вещества (примеси), образец, как правило, необходимо очищать, чтобы удалить или уменьшить помехи в дальнейшем хроматографическом анализе.
Для этой цели часто использовали твердофазную экстракцию кремнеземом с нормальной фазой (SPE). 9,13 Также использовали гель-проникающую хроматографию (ГПХ) с использованием Bio Beads S-X3. 18 Наконец, очищенный раствор концентрировали до небольшого объема для ГХ-анализа. Во избежание потери ПАУ с низкой температурой кипения при испарении следует избегать сухости (полного испарения растворителя). Замену растворителя проводили для приготовления раствора для ВЭЖХ-анализа.
3.3. Методы измерения
В нескольких исследованиях использовалась газовая хроматография-масс-спектрометрия (ГХ-МС), в то время как в других для измерения ПАУ использовались методы на основе высокоэффективной липидной хроматографии (ВЭЖХ). Помимо высокой липофильности, ПАУ представляют собой большой класс соединений, многие из которых являются изомерами с очень близкими коэффициентами распределения. Эти свойства затрудняют количественное и качественное измерение ПАУ. Хроматографическое разделение ПАУ требует использования колонки ВЭЖХ для ПАУ 11,20 или длинная колонка для ГХ.
10,16 Поскольку ПАУ активны в УФ-излучении, в некоторых исследованиях для обнаружения ПАУ в партнерах использовался УФ-детектор. 11 Однако, учитывая низкую концентрацию ПАУ и сложный фон в мате, а также низкую чувствительность и селективность этого метода, УФ-детектор обычно не используется для анализа ПАУ в мате. Масс-спектрометрия в сочетании с ВЭЖХ или ГХ обычно используется для обнаружения ПАУ. 11,13,14,16,18 Выбранный режим ионного монитора используется для уменьшения фоновых помех и повышения чувствительности обнаружения. Детекция флуоресценции (FLD) обладает высокой чувствительностью, которая подходит для обнаружения относительно низких концентраций ПАУ в мате. 20 Тщательно выбирая длины волн возбуждения и обнаружения, FLD может избирательно обнаруживать ПАУ, что приводит к более чистой базовой линии и меньшим требованиям к чистоте пробы. Хотя большинство ПАУ являются флуоресцентно активными, ПАУ без флуоресцентной активности, такие как нитро-ПАУ, перед анализом необходимо получить производные.
В качестве альтернативы Dusek et al. комбинированная экстракция по Сокслету, очистка ГПХ и ТФЭ, а также ГХ-МС/ХИ в качестве количественного метода для достижения специфичности и чувствительности обнаружения нитро-ПАУ. 21 Внутренние стандартные ссылки с использованием дейтерия или 13 изотопов C, меченных ПАУ, необходимы для достижения большей точности и извлечения для сложных анализов ПАУ.
Хотя методы выделения и измерения различаются в зависимости от исследования, технологии извлечения и измерения, используемые в этих исследованиях, должны приводить лишь к ограниченным вариациям уровня обнаруженных ПАУ. Таким образом, различия в аналитических методах не являются основной причиной различий, наблюдаемых в исследованиях.
3.4. Массовые доли ПАУ
Для каждого исследования рассчитывали и сообщали средние (или медианы) значения и диапазон массовых долей ПАУ, полученных из проб. В большинстве исследований измерялось от 4 до 21 типа ПАУ, поэтому общие массовые доли ПАУ несопоставимы между исследованиями.
Напротив, массовые доли B[ a ]P и PAh5 сопоставимы в разных исследованиях. Исследования обычно обнаруживали более 25 нг/г (и более 600 нг/г) B[ a ]P и более 150 нг/г PAh5 (до более 2200 нг/г) (). Эти цифры существенно превышают массовые доли, установленные Комиссией Европейского Союза для ПАх5, которые составляют 10–35 нг/г для различных пищевых продуктов. 22 Чтобы лучше представить эти цифры, при курении каждой сигареты в организм поступает около 10 нг B[ a ]P. 23,24 Следовательно, если предположить, что типичный пользователь потребляет 20 г мате в день и каждый грамм мате содержит 40 нг B[ a ]P, общее количество B[ a ]P в ежедневно потребляемый матэ будет составлять 800 нг, или эквивалентно 80 сигаретам (четырем пачкам сигарет). Однако только небольшая и незначительная часть этого количества может быть переведена в инфузию (см. следующий раздел).
Хотя средние массовые доли ПАУ были высокими, между образцами наблюдались существенные различия.
Например, в исследовании Kamangar et al. 10 на восьми коммерческих пробах массовая доля суммарных ПАУ колебалась по пробам от 536 до 2906 нг/г. Эти различия, скорее всего, связаны с различиями в методах сушки, поскольку большая часть ПАУ попадает в листья при сушке с использованием дыма. Исследование Vieira 11 выявило значительно более высокие уровни ПАУ в высушенных образцах, чем в свежих листьях. Очередное исследование Голозара 9 измерили массовые доли ПАУ в 11 традиционно приготовленных коммерческих образцах и сравнили их с образцом, который никогда не подвергался копчению. В этом исследовании 9 средняя массовая доля общих ПАУ в 11 традиционно приготовленных коммерческих образцах составила 1703 нг/г по сравнению с 621 нг/г для некопченого образца.
В дополнение к исследованиям, упомянутым выше, как минимум в трех работах оценивались массовые доли нитро-ПАУ в образцах мате. 19,21,25 Примечательно, что нитро-ПАУ обладают высокой мутагенной активностью.
В двух исследованиях все массовые доли нитро-ПАУ были ниже предела обнаружения методов ГХ-МС и двухмерной ГХ-МС. 21,25 Напротив, в одном исследовании 19 были обнаружены значительные количества нитро-ПАУ (таких как 1-нитропирен и 3-нитрофлуорантен), особенно в жареных листьях мате.
обобщает данные семи исследований, 10,15–17,20,26,27 , опубликованных в период с 1985 по 2018 год, в которых измерялось выделение ПАУ в инфузии.
Таблица 2.
Скорость перехода полициклических ароматических углеводородов в настои мате.
| Автор (год) | Dry Mate, количество воды, время инфузии | повторения | Результаты |
|---|---|---|---|
| TFOUNI 17 (2018) | 1,5 G Mate Infused с 200 млн. Моинарушением 9099 2 MATE BOUNING для 20092 MIT 20092 BOUNING | 2 MIT 20092 BOUNING | |
| Thea 20 (2016) | 50 г мате, растворенного в 30 мл 70 (горячего) или 4 C (холодного) H 2 O в течение 20 с, повторить для сбора 500 мл H 8 O | 16–17 раз | От 0,4 до 4,1 нг/г B[ a ]P в сухой массе переносили в горячие настои. Массовая доля B[ a ]P в сухих образцах не приводилась. Однако, если принять массовую долю 40 нг/г (полученную из других исследований), примерно от 1 до 10% B[ a ]P в пробах переводили в горячие настои. Перевод на холодные настои был в 3-4 раза ниже. |
| Schulz 16 (2014) | 20 г мате, растворить в 2 л кипящего H 2 O в течение 10 мин (или 30 мин) в инфузии были ниже предела обнаружения. При заваривании в течение 30 мин в настой переходило не более 0,50% ПАУ. | ||
| Камангар 10 (2008) | 5 г мате, заваривают 30 мл H 2 O при 80°C (в горячем состоянии) или 5°C (в холодном состоянии) в течение 5 мин; всего 12 раз | 12 раз | Примерно 9% B[ a ]P перешло в настой после первого добавления воды. За 12 инфузий было перенесено почти 50%. Принципиальной разницы между переводами на горячие и холодные инфузии не было.![]() |
| Zuin 27 (2005) | 1 г мате, настоянный на 100 мл кипящей H 2 O в течение 5 мин | Однократно | Приблизительно 1–2 нг B[ a ]P на грамм сухого материала вводили в настой. Предполагая, что сухие образцы содержали 40 нг/г B[ a ]P, мы можем оценить скорость переноса в 2,5–5%. |
| Камарго 26 (2002) | 25 г мате, настоянные на 500 мл кипящей H 2 O в течение 5 мин | Однократно | Незначительные количества ПАУ вводили в инфузии. |
| Ruschenburg 15 (1985) | 15 г мате, растворенного в 1000 мл воды | Однократно | Приблизительно 2–10% B[ a]P было переведено в раствор 900.![]() |
Открыть в отдельном окне
ПАУ: полициклический ароматический углеводород; B[ a ]P: Бензо[ a ]пирен.
4.1. Методы приготовления инфузий
Методы приготовления инфузий существенно различались в исследованиях (), что может быть важным источником различий в результатах. Исследование Лин и соавт. 28 обнаружил несколько факторов, которые были связаны с процентной долей ПАУ, перенесенных в настои: более низкое соотношение листьев и воды приводило к более высокой доле переноса; когда воду поливали листья в первый раз, переносился относительно большой процент, но при втором или третьем добавлении воды перенос был уменьшающимся; мытье чая перед завариванием, естественно, приводило к снижению переноса ПАУ; покрытие настоев позволяло большему количеству ПАУ, особенно летучих, оставаться в настое. Некоторые из этих факторов существенно различались в разных исследованиях. Например, соотношение листьев и воды в разных исследованиях варьировалось от 1 до 17 г/100 мл.
Точно так же время инфузии варьировалось от 20 секунд до 30 минут. Возможно, наиболее важным источником вариаций было количество раз, когда сухие образцы поливались водой. Некоторые исследования делали настои путем погружения сухого мате в большое количество кипящей воды только один раз, аналогично чаю. 16,26,27 Напротив, два отчета пытались имитировать способ приготовления и употребления мате в повседневной жизни, 10,20 который неоднократно добавлял небольшое количество горячей или холодной воды в коммерческий сухой мате и позволял товарищ погружается на короткое время. Температура настоев также варьировала. В двух исследованиях измерялись выбросы ПАУ как в горячие, так и в холодные растворы, 10,20 , а в других — нет.
В некоторых исследованиях инфузионный раствор фильтровали, 16,26,27 , а в других не фильтровалась 10,20 перед обратной экстракцией ПАУ разделением гексаном, циклогексаном или толуолом. Метод сорбционной экстракции на мешалке (SBSE) с использованием бруска, покрытого полидиметилсилоксаном, для поглощения ПАУ с более высоким извлечением, также применялся для извлечения ПАУ из настоев.
27
4.2. Методы измерения
После обратной экстракции и очистки измерения ПАУ проводились с использованием методов, аналогичных описанным для образцов сухого мате. Фактические концентрации ПАУ, обнаруженные в инфузиях, обычно очень низкие. Таким образом, внутренние стандарты, обычно меченные изотопами ПАУ, добавляются для повышения точности обнаружения.
4.3. Скорость переноса ПАУ в инфузии
показывает характеристики исследований, в которых пытались количественно определить либо концентрации ПАУ, либо их переход из сухого материала в инфузии. В таблице показаны граммы мате и объемы использованной воды, время инфузии, использовались ли холодные и горячие инфузии, а также измерялось ли в исследовании перенос после однократного или многократного добавления воды.
Из-за значительных различий в методах результаты несопоставимы. В то время как некоторые исследования предполагают, что количество ПАУ, перенесенных в инфузии, является значительным, другие обнаружили, что эти количества являются низкими или даже незначительными.
Исследование Камангара 10 обнаружили очень высокую скорость передачи. В этом исследовании исследователи добавили 30 мл раствора к 5 г коммерческих листьев мате, дали листьям настояться в течение 5 минут при температуре 5 или 80 °C, отбросили настой и измерили содержание ПАУ, а затем добавили еще воды листья. Этот процесс был сделан, чтобы имитировать употребление мате в реальной жизни, при котором вода добавляется к листьям, выпивается, а затем добавляется еще вода. В то время как 9% B[ a ]P было высвобождено при первой инфузии, в последней инфузии было высвобождено только 2%. Исследователи подсчитали, что в течение 12 вливаний примерно 50% общего B[ a ]P было передано. Аналогичные количества были выпущены в холодные настои. Таким образом, температура воды, по-видимому, не имеет значения. Если предположить, что скорость переноса 50% верна, потребление 20 г мате в день вливает в организм столько же B[ a ]P, сколько курение двух пачек сигарет в день, что может привести к значительному увеличению риска рака.
Исследование Thea et al. 20 также имитировали реальные жизненные ситуации. Как показано в , в исследовании Теи только примерно 1–10% B[ a ]P было передано. Если предположить, что наилучшая оценка составляет 5%, то количество B[ a ]P, введенное в организм при употреблении 20 г мате в день, эквивалентно выкуриванию всего четырех сигарет, что связано лишь с умеренным увеличением в риске рака. Количество, выделившееся в холодные настои, было в несколько раз меньше, чем в горячие настои. Хотя два исследования Камангара и Теи имеют некоторые методологические сходства, они также имеют существенные различия. Например, Камангар и др. 10 позволил листьям настояться в течение 5 минут, в то время как Thea et al. 20 разрешено только 20 секунд замачивания. В исследовании Камангара 5 г мате растворялись в 30 мл воды, а в исследовании Теи гораздо больше мате (50 г) растворялось в том же количестве воды. Очевидно, что различия в методах лечения привели к совершенно разным результатам.
За исключением Kamangar и Thea, в других исследованиях сухие образцы обычно замачивали водой только один раз. В исследовании Рушенбурга 15 было перенесено 2–10% B[ a ]P в сухом материале. Исследования Tfouni 17 и Schulz, 16 , которые оба обнаружили очень высокое количество ПАУ в сухом мате, обнаружили незначительное количество ПАУ в настоях.
Некоторые оценки переноса ПАУ в мате можно получить из исследований других напитков, таких как чай и кофе. Duedahl-Olesen и коллеги 29 показали, что в готовом к употреблению чае и кофе было обнаружено до 2 и 14% PAh5 соответственно. По их оценкам, потребление чая и кофе было причиной примерно 29% от общего воздействия Pah5 на датских потребителей. Точно так же Лин и соавт. 30 показали, что в зависимости от продолжительности заваривания чая в чайных заварках обнаруживалось около 3–8% от общего количества ПАУ в образцах сухого чая.
Воздействие ПАУ на человека при питье мате зависит как минимум от пяти факторов: массовой доли ПАУ в сухом материале, переноса ПАУ из сухого материала в настои, массы мате, используемой для приготовления напитков, объема Напитки мате, потребляемые каждым человеком, и всасывание в организм через напиток.
этой статьи ясно видно, что мате промышленной сушки имеет значительные массовые доли ПАУ, а масса и объем потребляемого мате для многих потребителей достаточно велики. Как обсуждалось ранее, ежедневное потребление 20 г мате с 800 нг B[9]0014 a ]P, в 1 л воды не редкость. Что менее известно, так это процент ПАУ, перешедших в инфузии. Как обсуждалось в разделе 4.3 этой статьи, скорости переноса существенно различаются в разных исследованиях, от 1% (8 нг B[ a ]P) до 50% (400 нг B[ a ]P), в зависимости от способ добычи. Эти цифры могут быть выше или ниже в реальных жизненных ситуациях. Высвобождение ПАУ в виде взвеси вместе с мелкими липидными частицами или с измельченным мате в настоях, проходящих через фильтры при домашнем приготовлении, может привести к увеличению количества ПАУ, попадающих в организм в реальной жизни.
Эти уровни могут восприниматься как представляющие угрозу для здоровья человека, если сравнивать их с уровнями ПАУ, полученными при курении сигарет, но относительно низкими по сравнению с теми, которые вызывают рак у животных.
Как обсуждалось ранее, люди получают примерно 10 нг B[ a ]P с каждой сигареты. Однако абсорбция B[ a ]P при вдыхании может отличаться от таковой при питье, и, таким образом, это сравнение может быть не совсем оправданным. Поэтому безопасные уровни в напитках в идеале должны определяться в эпидемиологических исследованиях. Но, к сожалению, безопасные уровни воздействия B[ a ]P и другие потенциально канцерогенные ПАУ в напитках не были определены с использованием эпидемиологических данных у людей. На основании исследований на крысах Kroese et al. 31 предположил, что воздействие 5 нг B[ a ]P на кг массы тела в день (350 нг/день для человека весом 70 кг) является «практически безопасным» для человека. Аналогичным образом, расчеты Окару и его коллег, 32 , основанные на исследованиях, проведенных на мышах, с использованием метода предела экспозиции, показывают, что любое воздействие на человека <7 нг/кг (490 нг/день для человека весом 70 кг) B[ a ]P вряд ли вызовет рак пищеварительного тракта.
Лимиты, установленные регулирующими органами, близки к этим цифрам. Агентство по охране окружающей среды США (USEPA) установило ограничение в 200 нг/л, 33 , а Всемирная организация здравоохранения установила максимальное значение в 700 нг/л для безопасных уровней B[ a ]P. 34 Только при переводе в размере 50% количество напитков может превышать некоторые лимиты. Но кто-то может возразить, что экстраполяция исследований на животных на человека далеко не идеальна, и эти количества все еще могут быть опасными. Кроме того, Kroese et al. 31 предполагают, что исследования на животных с B[ a ]P могут не отражать общую канцерогенность всех ПАУ. Эти авторы предполагают, что B[ a ]P может составлять лишь 10% всей канцерогенности всех потребляемых ПАУ, и поэтому истинные безопасные уровни B[ a ]P могут составлять всего 0,5 нг/кг. (35 нг на человека весом 70 кг). Если это последнее предположение верно, то скорость передачи даже 5% может представлять риск.
Хотя данные о том, достаточно ли ПАУ выбрасывается в инфузии, чтобы представлять угрозу, неубедительны, измерение метаболитов ПАУ в образцах мочи тех, кто пьет пару, предполагает, что воздействие действительно может быть ощутимым. Фагундес и др. 35 обнаружил прямую корреляцию между концентрацией в моче 1-гидроксипиренглюкуронида (1-OHPG), метаболита ПАУ, и потреблением мате. Концентрация 1-OHPG в моче была в четыре раза выше у людей, потреблявших более 1000 мл мате в день, по сравнению с теми, кто пил менее 100 мл в день. Фактически, у курильщиков мате, которые не курили сигареты, в моче было столько же 1-OHPG, сколько у курильщиков, которые не пили мате. Другими словами, употребление мате было связано с таким же количеством 1-OHPG в моче, как и курение сигарет. Недавнее исследование 244 взрослых 36 подтвердил эти результаты: недавнее употребление мате было связано с более высокими концентрациями в моче нескольких метаболитов ПАУ в зависимости от дозы, а сумма концентраций метаболитов фенантрена в моче была одинаковой или выше среди тех, кто пьет мате, но не курит.
чем у курильщиков, не пьющих мате. Примечательно, что концентрации 1-OHPG оказались очень высокими в образцах мочи жителей регионов Ирана и Китая, где очень высок уровень заболеваемости раком пищевода. 37,38
Будущие исследования должны включать сочетание химических анализов количества ПАУ в сухом мате и настоях при различных условиях, измерение биомаркеров воздействия ПАУ в биологических образцах от тех, кто пьет мате, и исследования мутаций ДНК в опухолях мате пьющие.
6.1. Химический анализ
Несмотря на то, что было опубликовано не менее 10 исследований по массовой доле ПАУ в сухих листьях мате, сравнительно мало исследований посвящено тщательному изучению массовой доли ПАУ на разных стадиях сушки. Повторение такого исследования будет полезно, особенно в контролируемых условиях, когда некоторые образцы прокуриваются, а некоторые нет. Что еще более важно, предыдущие исследования по измерению ПАУ в инфузиях неубедительны, основная проблема заключается в том, что измерения могут не отражать концентрации и потребление в реальной жизни.
Необходимы тщательные исследования, имитирующие реальные концентрации ПАУ, попадающие в инфузии.
6.2. Измерение биомаркеров воздействия мате
Дальнейшие исследования 1-OHPG и других метаболитов ПАУ в образцах мочи лиц, употребляющих мате, представляют интерес, особенно в контролируемых условиях. Например, можно измерить метаболиты мочи при воздействии ПАУ в перекрестном исследовании, когда некоторые участники пьют мате в течение нескольких дней, а участники контрольной группы нет, а затем переключают питье мате двух групп и повторяют измерения. Эти измерения должны показать, подвергаются ли потребители мате воздействию значительных количеств ПАУ.
6.3. Исследования мутаций ДНК в опухолях у тех, кто пьет самок
Воздействие B[ a ]P вызывает характерных мутаций P53 у людей. Целесообразно собирать образцы тканей, особенно опухолей пищевода, легких и мочевого пузыря, у тех, кто не курит, некурящих партнеров, чтобы искать такие мутации.
Мате потребляется в больших количествах в Южной Америке, а также становится все более популярным в других регионах мира. Поэтому очень важно оценить пользу для здоровья и вред от употребления мате. Хотя есть данные нескольких эпидемиологических исследований, показывающих, что употребление мате связано с более высоким риском рака пищевода и, возможно, других видов рака, пока неясно, связано ли это повышенное риск только с термической травмой или также с потреблением ПАУ через питье. приятель.
Текущая литература неадекватна для определения того, получает ли человек достаточно большое количество канцерогенных ПАУ, чтобы увеличить риск развития рака. В частности, недостаточно данных о ПАУ, растворенных в настоях. Поэтому необходимы дальнейшие исследования настоев мате, определение биомаркеров воздействия ПАУ у тех, кто пьет мате, и исследования ДНК опухолей у тех, кто пьет мате. Последние исследования предоставляют более прямые данные о людях, которые заменят исследования на животных.
Если любители мате подвержены более высокому риску различных видов рака, безопасный уровень B[ a ]P и другие PAh5 в напитках, возможно, потребуется заменить. Тем временем производителям можно посоветовать сушить листья мате, используя методы, отличные от копчения, а потребителям можно посоветовать пить мате в умеренных количествах и при несколько более низких температурах.
Работа, представленная в этой публикации, частично поддерживалась Национальным институтом здравоохранения США, номер награды UL1 GM118973.
Заявление о раскрытии информации
Авторы заявляют об отсутствии финансовых интересов или других конфликтов интересов.
1. Де Стефани Э., Муньос Н., Эстев Дж., Васалло А., Виктора К.Г., Тойхманн С. Употребление мате, алкоголь, табак, диета и рак пищевода в Уругвае. Рак Рез 1990;50(2): 426–431. [PubMed] [Google Scholar]
2. Victora CG, Muñoz N, Day NE, Barcelos LB, Peccin DA, Braga NM. Горячие напитки и рак пищевода на юге Бразилии: исследование случай-контроль.
Int J Рак
1987 год; 39(6):710–716. doi: 10.1002/ijc.29103
[PubMed] [CrossRef] [Google Scholar]
3. Bracesco N, Sanchez AG, Contreras V, Menini T, Gugliucci A. Последние достижения в исследовании Ilex paraguariensis: мини-обзор. J Этнофармакол 2011;136(3):378–384. doi: 10.1016/j.jep.2010.06.032 [PubMed] [CrossRef] [Google Scholar]
4. Андрици Дж., Эслик Г.Д. Потребление мате и риск развития плоскоклеточного рака пищевода: метаанализ. дис пищевод 2013;26(8):807–816. doi: 10.1111/j.1442-2050.2012.01393.x [PubMed] [CrossRef] [Google Scholar]
5. De Stefani E, Correa P, Fierro L, Fontham E, Chen V, Zavala D. Черный табак, матовый е, и рак мочевого пузыря. Исследование случай-контроль из Уругвая. Рак Рез 1991;67(2):536–540. [PubMed] [Google Scholar]
6. Lubin JH, De Stefani E, Abnet CC, et al.
Пьянство мате и плоскоклеточный рак пищевода в Южной Америке: объединенные результаты двух крупных многоцентровых исследований случай-контроль.
Рак эпидемиол биомаркеры Prev
2014;23(1):107–116.
дои: 10.1158/1055-9965.ЭПИ-13-0796. [Бесплатная статья PMC] [PubMed] [CrossRef] [Google Scholar]
7. De Stefani E, Moore M, Aune D, et al. Потребление матэ и риск развития рака: многоцентровое исследование случай-контроль в Уругвае. Азиатский Pac J Рак Предыдущий 2011;12(4): 1089–1093. [PubMed] [Google Scholar]
8. Loomis D, Guyton KZ, Grosse Y, et al. Канцерогенность употребления кофе, мате и очень горячих напитков. Ланцет Онкол 2016;17(7):877–878. doi: 10.1016/S1470-2045(16)30239-X. [PubMed] [CrossRef] [Академия Google]
9. Голозар А., Фагундес Р.Б., Этемади А. и соавт. Значительные колебания концентрации канцерогенных полициклических ароматических углеводородов в образцах йерба мате в зависимости от марки, партии и метода обработки. Экологические научные технологии 2012;46(24):13488–13493. дои: 10.1021/es303494s. [Бесплатная статья PMC] [PubMed] [CrossRef] [Google Scholar]
10. Kamangar F, Schantz MM, Abnet CC, Fagundes RB, Dawsey SM. Высокий уровень канцерогенных полициклических ароматических углеводородов в мате.
Рак эпидемиол биомаркеры Prev
2008;17(5):1262–1268. дои: 10.1158/1055-9965.ЭПИ-08-0025. [PubMed] [CrossRef] [Google Scholar]
11. Виейра М.А., Маращин М., Роварис А.А. и соавт. Наличие полициклических ароматических углеводородов на всех стадиях переработки эрвамата (Ilex paraguariensis). Пищевая добавка Contam Часть A 2010;27(6):776–782. дои: 10.1080/19440041003587310. [PubMed] [CrossRef] [Google Scholar]
12. Martena MJ, Grutters MMP, De Groot HN, Konings EJM, Rietjens IMCM. Мониторинг полициклических ароматических углеводородов (ПАУ) в пищевых добавках, содержащих растительные вещества и другие ингредиенты, на голландском рынке. Пищевая добавка Contam Часть A 2011;28(7):925–942. дои: 10.1080/19440049.2011.569573. [PubMed] [CrossRef] [Google Scholar]
13. Londono VAG, Reynoso M, Resnik S. Полициклические ароматические углеводороды (ПАУ) в мате (Ilex paraguariensis) с аргентинского рынка.
Пищевая добавка Contam Часть B
2014;7(4):247–253. дои: 10.1080/19393210.2014.
14. Rolle F, Pennecchi F, Perini S, Sega M. Метрологическая прослеживаемость измерений полициклических ароматических углеводородов (ПАУ) в зеленом чае и мате. Измерение 2017;98: 290–299. doi: 10.1016/j.measurement.2016.03.009. [CrossRef] [Google Scholar]
15. Ruschenburg U Содержание бенз[а]пирена в кофе и некоторых других пищевых продуктах. 11e Colloq Sci Int Sur Cafe Париж: Международная научная ассоциация кафе; 1985 год; 205–212. [Google Scholar]
16. Schulz CM, Fritz H, Ruthenschror A. Присутствие 15 х 1 полициклических ароматических углеводородов (ПАУ) приоритета ЕС в различных видах чая (Camellia sinensis) и травяных настоях. Пищевая добавка Contam Часть A 2014;31(10):1723–1735. дои: 10.1080/19440049.2014.952785. [PubMed] [CrossRef] [Google Scholar]
17. Tfouni SAV, Reis RM, Kamikata K, Gomes FML, Morgano MA, Furlani RPZ. Полициклические ароматические углеводороды в чаях с использованием QuEChERS и HPLC-FLD.
Пищевая добавка Contam Часть B
2018;11(2):146–152. дои: 10.1080/19393210.2018.1440638. [PubMed] [CrossRef] [Google Scholar]
18. Ziegenhals K, Jira W, Speer K. Полициклические ароматические углеводороды (ПАУ) в различных сортах чая. Евр Фуд Рез Технол 2008;228(1):83–91. [Академия Google]
19. Шлемиц С., Пфаннхаузер В. Сверхкритическая флюидная экстракция мононитрованных полициклических ароматических углеводородов из чая – корреляция с концентрацией ПАУ. Z Fu€r Леб-Форш А 1997;205(4):305–310. doi: 10.1007/s002170050170. [CrossRef] [Google Scholar]
20. Теа А.Е., Феррейра Д., Брумовский Л.А., Шмалько М.Е. Полициклические ароматические углеводороды (ПАУ) в традиционных настоях йерба мате (Ilex paraguariensis St. Hil) (мате и терере). Пищевой контроль 2016;60:215–220. doi: 10.1016/j.foodcont.2015.07.046. [Перекрестная ссылка] [Академия Google]
21. Дусек Б., Хайслова Дж., Коцоурек В. Определение нитрованных полициклических ароматических углеводородов и их предшественников в биотических матрицах.
J Хроматогр A
2002; 982(1): 127–143. doi: 10.1016/S0021-9673(02)01340-7. [PubMed] [CrossRef] [Google Scholar]
22. Zelinkova Z, Wenzl T. Присутствие 16 EPA ПАУ в пищевых продуктах – обзор. Полицикл Аромат Компд 2015;35(2–4):248–284. дои: 10.1080/10406638.2014.
0. [Бесплатная статья PMC] [PubMed] [CrossRef] [Google Scholar]23. Kaiserman MJ, Rickert WS. Канцерогены в табачном дыме: бенз[а]пирен из канадских сигарет и сигаретного табака. Am J Общественное здравоохранение 1992;82(7):1023–1026. [Бесплатная статья PMC] [PubMed] [Google Scholar]
24. Swauger JE, Steichen TJ, Murphy PA, Kinsler S. Анализ основного химического состава дыма образцов сигаретного рынка США, приобретенных в период с 1995 по 2000 год. Регул Токсикол Фармакол 2002;35(2):142–156. doi: 10.1006/rtph.2001.1521. [PubMed] [CrossRef] [Google Scholar]
25. Purcaro G, Tranchida PQ, Jacques RA, et al.
Характеристика летучей фракции мате (Ilex paraguariensis) с использованием комплексной твердофазной микроэкстракции 2-D GC-MS.
J Sep Sci
2009 г.enc Tecnol Aliment
2002;22(1): 49–53. doi: 10.1590/S0101-20612002000100009. [CrossRef] [Google Scholar]
27. Зуин В.Г., Монтеро Л., Бауэр С., Попп П. Сорбционная экстракция с мешалкой и высокоэффективная жидкостная хроматография-флуоресцентное обнаружение для определения полициклических ароматических углеводородов в чае мате. J Хроматогр A 2005; 109: 2–10. doi: 10.1016/j.chroma.2005.07.057. [PubMed] [CrossRef] [Google Scholar]
28. Lin D, Zhu L, Luo L. Факторы, влияющие на перенос полициклических ароматических углеводородов из заваренного чая в чайный настой. J Agric Food Chem 2006;54(12):4350–4354. дои: 10.1021/jf060189Дж. [PubMed] [CrossRef] [Google Scholar]
29. Дуедал-Олесен Л., Наваратнам М.А., Джула Дж., Дженсен А.Х. ПАУ в некоторых марках чая и кофе. Полицикл Аромат Компд 2015;35(1):74–90. doi: 10.1080/10406638.2014.
4 [CrossRef] [Google Scholar] 30. Lin D, Tu Y, Zhu L. Концентрации и риск для здоровья полициклических ароматических углеводородов в чае.
Пищевой химический токсик
2005;43(1):41–48. doi: 10.1016/j.fct.2004.08.010. [PubMed] [CrossRef] [Google Scholar]
31. Kroese E, Muller J, Mohn G, Dortant P, Wester P. Опухолегенные эффекты у крыс Wistar, которым перорально вводили бензо[а]пирен в течение двух лет (исследования через зонд): последствия для рисков рака человека, связанных с пероральным воздействием полициклических ароматических углеводородов ГЕРОЙ: Исследования в области здравоохранения и окружающей среды. https://hero.epa.gov/hero/index.cfm/reference/details/reference_id/1012032. Опубликовано 15 марта 2009 г.. По состоянию на 9 сентября 2016 г.
32. Окару А.О., Руллманн А., Фарах А., Гонсалес де Мехиа Э., Стерн М.К., Лахенмайер Д.В. Сравнительная оценка риска развития рака пищевода при употреблении горячих напитков (кофе, мате и чай): предел воздействия ПАУ по сравнению с очень горячими температурами. BMC Рак 2018;18(236). doi: 10.1186/s12885-018-4060-z. [Бесплатная статья PMC] [PubMed] [CrossRef] [Google Scholar]
33.
Агентство по охране окружающей среды США. Национальные правила первичной питьевой воды
https://www.epa.gov/sites/production/files/2016-06/documents/npwdr_complete_table.pdf. Опубликовано в мае 2009 г..
По состоянию на 7 июля 2017 г.
34. Всемирная организация здравоохранения. Руководство по качеству питьевой воды, четвертое издание. 2011 http://www.who.int/water_sanitation_health/publications/2011/dwq_guidelines/en/. По состоянию на 7 июля 2017 г.
35. Fagundes RB, Abnet CC, Strickland PT, et al. Более высокий уровень 1-гидроксипиренглюкуронида (1-OHPG) в моче связан с воздействием табачного дыма и употреблением мате у здоровых людей из Риу-Гранди-ду-Сул, Бразилия. BMC Рак 2006; 6:139. дои: 10.1186/1471-2407-6-139. [Бесплатная статья PMC] [PubMed] [CrossRef] [Google Scholar]
36. Lopes AB, Metzdorf M, Metzdorf L, et al.
Концентрация метаболитов полициклических ароматических углеводородов в моче у любителей мате в Риу-Гранди-ду-Сул, Бразилия.
Рак эпидемиол биомаркеры Prev
2018;27(3):331–337.
doi: 10.1158/1055-9965.EPI-17-0773. [Бесплатная статья PMC] [PubMed] [CrossRef] [Google Scholar]
37. Kamangar F, Strickland PT, Pourshams A, et al. Высокое воздействие полициклических ароматических углеводородов может способствовать высокому риску рака пищевода на северо-востоке Ирана. Противораковый Рез 2005;25(1Б):425–428. [PubMed] [Академия Google]
38. Roth MJ, Qiao Y, Rothman N, et al. Высокие концентрации 1-гидроксипиренглюкуронида в моче в Линьсяне, Китай, в районе высокого риска развития плоскоклеточного рака пищевода. Биомаркеры 2001;6(5):381–386. дои: 10.1080/13547500110044780. [PubMed] [CrossRef] [Академия Google]
Combo Mix Verdeflor Yerba Mate с травами, 500 г / 1,1 фунта (6 упаковок)
Вердефлор
(пока отзывов нет) Написать рецензию
Verdeflor
Комбинированная смесь Verdeflor Yerba Mate с травами, 500 г / 1,1 фунта (6 упаковок)
Рейтинг Обязательно Выберите рейтинг1 звезда (худший)2 звезды3 звезды (средний)4 звезды5 звезд (лучший)
Имя
Тема отзыва Обязательно
комментариев Обязательно
- Вес:
- 3,00 сом
- Подарочная упаковка:
- Доступны опции
В настоящее время:
39 долларов США.
99 и право на БЕСПЛАТНАЯ доставка
Сейчас в наличии — заказывайте в ближайшее время
Временно нет в наличии
Часто покупают вместе:
- Описание
Описание
Полная смесь Yerba Mate от Verdeflor с пищеварительными травами. В упаковке 6 пакетиков по 500 г, каждый из которых содержит уникальную смесь йербы и трав. В упаковке:
1 x verdeflor menta / mint
1 x verdeflor cedron / lemon verbena
1 x verdeflor hierbas serranas / Highland Herbs
1 x verdeflor naranja / Orange
1 x verdeflor peperina / verdeflor naranja / roster
1 x verdeflor peperina / verdeflor / verno
1.
Boldo
Идеально подходит для тех, кто считает обычные йербы слишком крепкими или хочет придать своим товарищам дополнительный аромат.
Посмотреть всеЗакрыть
- сопутствующие товары
- Клиенты также просмотрели
Сопутствующие товары
В корзину
Быстрый просмотр
Verdeflor Yerba Mate w/Boldo, 500 г / 1,1 фунта
Вердефлор
В настоящее время: 7,12 долларов США и право на БЕСПЛАТНАЯ доставка
АРОМАТИЗИРОВАННЫЙ ЙЕРБА МАТЭ — Йерба Мате со смесью высокогорных трав, включая больдо. ГАРАНТИРОВАННОЕ КАЧЕСТВО — Один из лучших Yerba Mate, хорошее качество и свежий вкус.
СВЕЖИЙ И ЗДОРОВЫЙ — Травы, используемые в этом…
Ограниченная по времени сделка
В корзину
Быстрый просмотр
Verdeflor Yerba Mate со вкусом апельсина, 500 г / 1,1 фунта
Вердефлор
В настоящее время: 6,58 долларов США и право на БЕСПЛАТНАЯ доставка
Был: 7,12 доллара США
АРОМАТИЗИРОВАННЫЙ ЙЕРБА МАТЭ — Йерба Мате со смесью горных трав, включая травы со вкусом апельсина. ГАРАНТИРОВАННОЕ КАЧЕСТВО — Один из лучших Yerba Mate, хорошее качество и свежий вкус. СВЕЖИЙ И ЗДОРОВЫЙ — The…
Ограниченная по времени сделка
В корзину
Быстрый просмотр
Verdeflor Yerba Mate Mint, 500 г / 1,1 фунта
Вердефлор
В настоящее время: 4,98 доллара США и право на БЕСПЛАТНАЯ доставка
Был: 7,12 доллара США
АРОМАТИЗИРОВАННЫЙ ЙЕРБА МАТЭ — Йерба Мате со смесью высокогорных трав, включая мяту.
ГАРАНТИРОВАННОЕ КАЧЕСТВО — Один из лучших Yerba Mate, хорошее качество и свежий вкус.
СВЕЖИЙ И ЗДОРОВЫЙ — Травы, используемые в…
Клиенты также просмотрели
Предложение с ограниченным сроком действия
В корзину
Быстрый просмотр
Verdeflor Yerba Mate Mint, 500 г / 1,1 фунта
Вердефлор
В настоящее время: 4,98 доллара США и право на БЕСПЛАТНАЯ доставка
Был: 7,12 доллара США
АРОМАТИЗИРОВАННЫЙ ЙЕРБА МАТЭ — Йерба Мате со смесью высокогорных трав, включая мяту.
ГАРАНТИРОВАННОЕ КАЧЕСТВО — Один из лучших Yerba Mate, хорошее качество и свежий вкус.
СВЕЖИЙ И ЗДОРОВЫЙ — Травы, используемые в.
..
В корзину
Быстрый просмотр
CBSé Yerba Mate Hierbas Serranas (500 г / 1,1 фунта)
CBSé
В настоящее время: 6,98 долларов США и право на БЕСПЛАТНАЯ доставка
ДЕЛАЕТ ВАШ ДЕНЬ ЛУЧШЕ — Нет ничего лучше, чем свежий помощник, чтобы сделать ваш день ярче ИДЕАЛЬНАЯ КОМБИНАЦИЯ — Свежий и вкусный Йерба Мате с лучшими горными травами: Полео, мята,…
В корзину
Быстрый просмотр
Hepatalgina Natural After-Food Digestive с артишоком, больдо, Daucus Carota, экстрактом ментола, бутылка-капельница 45 мл / 1,52 унции
В настоящее время: 10,87 долларов США и право на БЕСПЛАТНАЯ доставка
Желчегонное, желчегонное.
СПОСОБ ПРИМЕНЕНИЯ: Капли: взрослым по 40 капель 3 раза в день до или после еды. Дети старше 6 лет: от 10 до 15 капель после еды. Таблетки, покрытые оболочкой: от 1 до 2 таблеток, покрытых оболочкой от 2 до 4 раз…
В корзину
Быстрый просмотр
Verdeflor Yerba Mate w/Boldo, 500 г / 1,1 фунта
Вердефлор
В настоящее время: 7,12 долларов США и право на БЕСПЛАТНАЯ доставка
АРОМАТИЗИРОВАННЫЙ ЙЕРБА МАТЭ — Йерба Мате со смесью высокогорных трав, включая больдо. ГАРАНТИРОВАННОЕ КАЧЕСТВО — Один из лучших Yerba Mate, хорошее качество и свежий вкус. СВЕЖИЙ И ЗДОРОВЫЙ — Травы, используемые в этом…
В корзину
Быстрый просмотр
Verdeflor Yerba Mate Hierbas Serranas Highland Herbs, 500 г / 1,1 фунта
Вердефлор
В настоящее время: 6,99 долларов США и право на БЕСПЛАТНАЯ доставка
АРОМАТНЫЙ ЙЕРБА МАТЭ — Йерба Мате со смесью высокогорных трав, включая мяту болотную, мяту, лимонную вербену и тимьян.
ГАРАНТИРОВАННОЕ КАЧЕСТВО — Один из лучших Yerba Mate, хорошее качество и свежий вкус. СВЕЖИЙ…
Спагетти со свежим томатным соусом
105 комментариев
Перейти к рецепту
«Чем вы зарабатываете на жизнь?» они спрашивают. Я никогда не знаю, как пройдет мой ответ или какие вопросы последуют. Чаще всего возникают вопросы: «Как вы к этому пришли?» и «Где вы берете свои рецепты?» Во время недавнего рейса я получил смелый вопрос: «Как вы на этом зарабатываете?!» с моего соседа по сиденью. Все прекрасные вопросы, заметьте.
У меня никогда не было хорошего ответа на вопрос об источнике рецепта. Как правило, рецепты представляют собой набор идей из ресторанных блюд, журналов, других блогов, кулинарных книг и предложений друзей и читателей. Иногда я просыпаюсь с идеями; иногда они всплывают у меня в голове, когда я открываю холодильник; иногда они приходят ко мне, когда я увлечен разговором во время счастливого часа. Я всегда стараюсь отдать должное там, где это необходимо.
Сегодняшний рецепт более прямолинеен — он из старого номера журнала Gourmet Magazine, который я всегда хотел попробовать, благодаря специальному выпуску Bon Appetit… с перекрестными ссылками на вегетарианскую кулинарную книгу America’s Test Kitchen и поиграл с оправдать мои ожидания. Это довольно просто для меня в эти дни.
У меня наконец-то появилась возможность попробовать его, когда я наткнулся на большие, сочные местные помидоры в Whole Foods. Я знал, что с ними делать, и открыл свои источники, когда вернулся домой. Тестовая кухня Америки хотела, чтобы я нарезал помидоры и оставил их мариноваться на срок до трех часов, но я был голоден до голода, и трехчасовое ожидание не годилось.
Вариант для гурманов предлагал натереть часть помидоров, чтобы получилась красивая и сочная мякоть, затем оставить смесь мариноваться на 10 минут. Намного лучше! Я смешала соус и дала ему постоять, а пока поставила кастрюлю с водой и сварила макароны. Оба источника предлагали просто смешать сырой томатный соус с горячей приготовленной пастой, но я подумал, что в таком состоянии он был слишком сырым, если хотите, слишком «что-пико-де-галло-делает-в-моей-пасте».
Я не был уверен, что паста достойна публикации в блоге, пока не попробовал разогретые остатки. Они были потрясающими. Я воспринял это как вдохновение и попытался просто приготовить свежий томатный соус, смешав макароны с небольшим количеством крахмалистой воды для варки. Это было как раз то, что нужно: помидоры получают немного тепла, а крахмалистая вода для варки превращает сырые помидоры в соус, который слегка покрывает спагетти.
Конечно, вкус этого рецепта почти полностью зависит от помидоров, которые вы используете, так что выбирайте хорошие. Вам нужны спелые, почти перезрелые помидоры. Вы можете, конечно, пропустить мое предложение разогреть соус и просто смешать его с теплой пастой для томатной пасты с итальянским вкусом.
Я всегда использую цельнозерновые макароны, чтобы получить больше белка и клетчатки, и макаронные изделия DeLallo, на 100% цельнозерновые, делают это без ущерба для вкуса и текстуры. (Вот почему я работаю с ними! Они лучшие!) И последнее, но не менее важное: я почувствовал, что пармезан добавил этому блюду немного индивидуальности, но проверьте мои заметки на наличие предложений по замене.
Давайте послушаем спелые летние помидоры!
Избыток томатов? Вот несколько рецептов томатов, которые их израсходуют:
- Салат капрезе «Семейная реликвия»
- Классический Пико де Галло
- Запеченные яйца на подушке из жареных помидоров черри
- Средиземноморский соус из томатов и феты
Печать
Спагетти со свежим томатным соусом
- Автор: Куки и Кейт
- Время подготовки: 15 минут
- Время приготовления: 10 минут
- Общее время: 25 минут
- Выход: от 2 до 4 порций 1x
- Категория: Блюдо
- Кухня: Итальянская
★★★★★
4.6 по 33 отзывам
Самый свежий рецепт томатного соуса, приготовленный из едва проваренных помидоров, базилика и приправ. Это простое будничное блюдо готовится в мгновение ока! Рецепт дает 2 большие (как в ресторане) порции или 4 более разумные порции.
Шкала
Ингредиенты
- 1 ½ фунта спелых помидоров
- 2 столовые ложки оливкового масла
- 1 столовая ложка свежевыжатого лимонного сока
- ½ чайной ложки соли
- ¼ чайной ложки сахара, опционально
- Свежемолотый черный перец по вкусу
- 1 очень маленький зубчик чеснока (или ½ среднего зубчика), выдавленный или измельченный
- ½ фунта цельнозерновых тонких спагетти или пасты с ангельскими волосами, ротини/фузилли или пенне
- Необязательно, но рекомендуется: ½ стакана свеженатертого пармезана
- ¼ чашки нарезанного свежего базилика
Инструкции
- Удалите и крупно нарежьте две трети помидоров.
Разрежьте оставшиеся помидоры пополам посередине и выбросьте жесткую верхнюю часть, где помидоры соприкасаются со стеблем, если она существует. Потрите срезанные стороны помидоров о большие отверстия терки, установленной в большой миске. Оставьте томатную мякоть в миске и выбросьте кожицу. - Добавьте в миску нарезанные помидоры, оливковое масло, лимонный сок, соль, сахар, несколько щепоток свежемолотого черного перца и прессованный чеснок. Хорошо смешать. Пусть смесь маринуется, пока вы готовите макароны.
- Доведите до кипения большую кастрюлю с подсоленной водой и отварите макароны до состояния al dente в соответствии с инструкцией на упаковке. Оставьте около чашки воды, в которой варилась паста, прежде чем сливать макароны.
- Слейте воду с макарон и сразу же верните их в кастрюлю. Влейте весь томатный соус и немного (около ¼ стакана) воды, в которой варилась паста. Готовьте на среднем огне в течение 1–2 минут, часто переворачивая (теперь аккуратно!), достаточно долго, чтобы помидоры немного размягчились, а крахмалистая томатная вода покрыла макароны.

- Снимите с огня и перемешайте (по желанию) с пармезаном и (обязательно) с базиликом. Подавать немедленно.
Примечания
Рецепт взят из Gourmet и The Complete Vegetarian Cookbook.
Сделайте блюдо веганским: Откажитесь от сыра пармезан. Вы можете компенсировать некоторый сырный вкус, слегка посыпав пищевыми дрожжами или, что еще лучше, веганским пармезаном.
Без глютена: Используйте твердую безглютеновую пасту, например, смесь кукурузы и лебеды.
▸ Информация о питании
Представленная информация является оценкой, полученной с помощью онлайн-калькулятора питания. Его не следует рассматривать как замену советам профессионального диетолога. Смотрите нашу полную информацию о питании здесь.
▸ Категории без молочных продуктов, легкие ужины в будние дни, без яиц, осень, итальянские, основные блюда, без орехов, рецепты, без сои, лето, веганский ▸ Ингредиенты базилик, пармезан, макароны, спагетти, помидоры
Кэтрин Тейлор
Любитель овощей.

?
Через сколько часов расстояние между ними будет равно 51 км?
Через 3 ч они встретились. С какой скоростью шел первый пешеход. Если второй шел со скоростью 4 км/ч?
Скорость одного из них 47 км/ч. найти скорость другого.
Скорость автомобилиста 52 км/ч. Через сколько часов автомобилист обгонит мотоциклиста на 48 км?
Скорость катера- 12 км/ч, а плота- 4 км/. Когда катер прибыл в пункт В, плот находится от него на расстоянии 24 км. Найти расстояние между А и В.
на сколько километров уменьшится расстояние между ними за 1ч, 2ч,3ч?
через 3ч вслед за ним из того же города отправился на мотороллере другой турист со скоростью 60 км/ч. На каком расстоянии от города II турист догонит I туриста?
Через сколько часов расстояние между ними будет 15 км?
Найти скорость II, если I за каждые 4ч проходил 304 км.
Из этих сел одновременно навстречу друг другу вышли два автобуса. Скорость I- 60 км/ч, II на 20 км/ч меньше. Через сколько часов они встретились и какое расстояние до встречи прошел каждый?
Этот низкотемпературный процесс защищает натуральные ферменты, содержащиеся в мате.
P (диапазон, нг/г)
9 ( 1,3–125,2)
4 (12.3–21)
5
162)
5 (75.8–236.5)
–579)
Моинарушением 9099 2 MATE BOUNING для 20092 MIT 20092 BOUNING
Перевод на холодные настои был в 3-4 раза ниже.

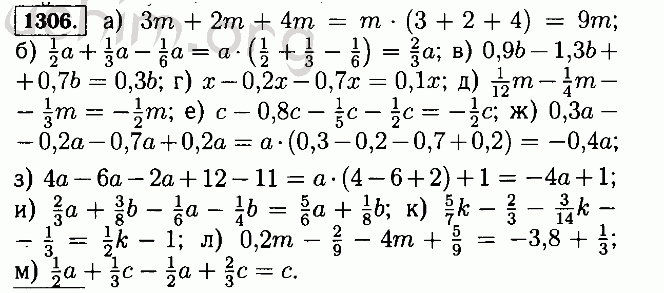
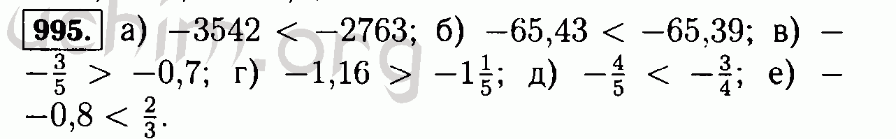
Разрежьте оставшиеся помидоры пополам посередине и выбросьте жесткую верхнюю часть, где помидоры соприкасаются со стеблем, если она существует. Потрите срезанные стороны помидоров о большие отверстия терки, установленной в большой миске. Оставьте томатную мякоть в миске и выбросьте кожицу.