Алгебра 8 Макарычев. Поурочные планы
Алгебра 8 Макарычев. Поурочные планы. Подробное поурочное планирование по алгебре для 8 класса общеобразовательных учреждений. Пособие ориентировано на работу с базовым учебником: Макарычев Ю.Н., Миндюк Н.Г. и др. Алгебра. 8 класс. М.: Просвещение. Ознакомительная версия. При постоянном использовании необходимо купить книгу: Александр Рурукин: Алгебра. 8 класс.Поурочные разработки к учебнику Ю. Н. Макарычева и др. ФГОС. Цитаты из пособия использованы в учебных целях.
Алгебра 8 Макарычев. Поурочные планы
Глава I. РАЦИОНАЛЬНЫЕ ДРОБИ (23 ч)
- 1. Рациональные дроби и их свойства (5 ч)
Уроки 1, 2. Рациональные выражения.
Уроки 3-5. Основное свойство дроби. Сокращение дробей.
- 2. Сумма и разность дробей (7 ч)
Уроки 6-8. Сложение и вычитание дробей с одинаковыми знаменателями.
Уроки 9-11. Сложение и вычитание дробей с разными знаменателями.
Урок 12. Контрольная работа № 1 по теме «Сумма и разность дробей».
- 3. Произведение и частное дробей (11ч)
Уроки 13-15. Умножение дробей. Возведение дроби в степень.
Уроки 16, 17. Деление дробей.
Уроки 18-20. Преобразование рациональных выражений.
Уроки 21, 22. Функция у = k/x и ее график.
Урок 23. Контрольная работа № 2 по теме «Рациональные дроби».
Факультативный урок. Метод неопределенных коэффициентов.
Факультативный урок. Задачи на рациональные дроби.
Факультативный урок. Деление многочленов.
Факультативный урок. Дробно-линейная функция и ее график.
Факультативный урок. Графики функций, содержащих модуль.
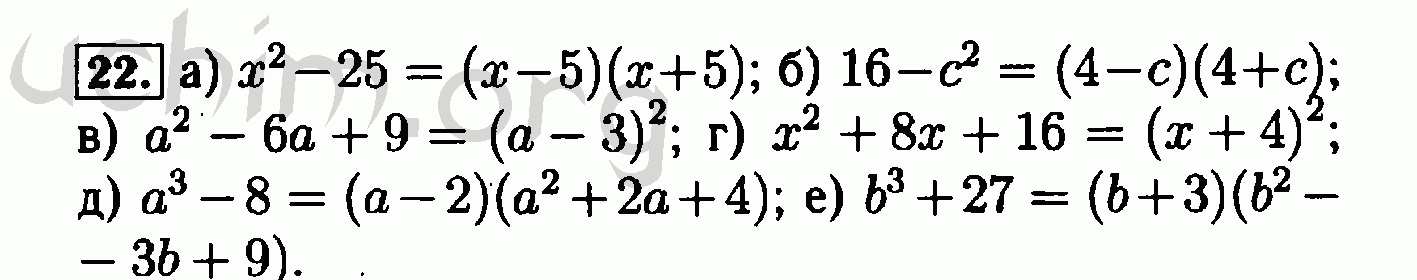
Факультативный урок. Зачетная работа по теме «Рациональные дроби и их свойства».
Глава II. КВАДРАТНЫЕ КОРНИ (19 ч)
- 4.
Действительные числа (2 ч)
Урок 24. Рациональные числа.
Урок 25. Иррациональные числа
- 5. Арифметический квадратный корень (5 ч)
Урок 26. Квадратные корни. Арифметический квадратный корень.
Урок 27. Уравнение х2 = а.
Урок 28. Нахождение приближенных значений квадратного корня.
Уроки 29, 30. Функция у = √x и ее график
- 6. Свойства арифметического квадратного корня (4 ч)
Уроки 31, 32. Квадратный корень из произведения и дроби.
Урок 33. Квадратный корень из степени.
Урок 34. Контрольная работа № 3 по теме «Свойства квадратного арифметического корня»
- 7. Применение свойств арифметического квадратного корня (8 ч)
Уроки 35-37. Вынесение множителя из-под знака корня. Внесение множителя под знак корня.
Урок 42.
Контрольная работа № 4 по теме «Применение свойств квадратного корня»Факультативный урок. Натуральные числа. Делимость натуральных чисел.
Факультативный урок. Решение уравнений в целых числах.
Факультативный урок. Зачетная работа по теме «Квадратные корни»
Глава III. КВАДРАТНЫЕ УРАВНЕНИЯ (22 ч)
- 8. Квадратное уравнение и его корни (11ч)
Уроки 43, 44. Определение квадратного уравнения. Неполные квадратные уравнения.
Урок 45. Решение квадратных уравнений выделением квадрата двучлена.
Уроки 46, 47. Формула корней квадратного уравнения.
Уроки 48-50. Решение задач с помощью квадратных уравнений.
Уроки 51, 52. Теорема Виета.
Урок 53. Контрольная работа № 5 по теме «Квадратные уравнения»
- 9. Дробные рациональные уравнения (11ч)
Уроки 54-57. Решение дробных рациональных уравнений.
Уроки 58-60. Решение задач с помощью рациональных уравнений.
Уроки 61, 62. Графический способ решения уравнений. Уравнения с параметром.
Урок 63. Контрольная работа № 6 по теме «Квадратные уравнения. Дробные рациональные уравнения»
Факультативный урок. Решение некоторых уравнений высоких степеней и дробно-рациональных уравнений.
Факультативный урок. Зачетная работа по теме «Квадратные уравнения»
Глава IV. НЕРАВЕНСТВА (19 ч)
- 10. Числовые неравенства и их свойства (8 ч)
Уроки 64, 65. Сравнение чисел. Числовые неравенства.
Уроки 66, 67. Свойства числовых неравенств.
Уроки 68-70. Сложение и умножение числовых неравенств.
Урок 71. Погрешность и точность приближения.
- 11. Неравенства с одной переменной и их системы (11ч)
Урок 73. Пересечение и объединение множеств.
Урок 74. Числовые промежутки.
Уроки 75-78. Решение неравенств с одной переменной.
Уроки 79-82. Решение систем неравенств с одной переменной.
Урок 83. Контрольная работа № 8 по теме «Неравенства»
Факультативный урок. Решение более сложных неравенств.
Факультативный урок. Решение систем неравенств.
Факультативный урок. Зачетная работа по теме «Неравенства»
Глава V. СТЕПЕНЬ С ЦЕЛЫМ ПОКАЗАТЕЛЕМ.
ЭЛЕМЕНТЫ СТАТИСТИКИ (11 ч)
- 12. Степень с целым показателем и ее свойства (7 ч)
Уроки 84, 85. Определение степени с целым отрицательным показателем.
Уроки 86, 87. Свойства степени с целым показателем.
Урок 90. Контрольная работа № 9 по теме «Степень с целым показателем»
- 13. Элементы статистики (4 ч)
Уроки 91, 92. Сбор и группировка статистических данных.
Уроки 93, 94. Наглядное представление статистической информации.
Факультативный урок. Зачетная работа по теме «Степень с целым показателем»
Повторение (6 ч)
Уроки 95, 96. Повторение темы «Рациональные дроби».
Урок 97. Повторение темы «Квадратные корни».
Урок 98. Повторение темы «Квадратные уравнения».
Урок 99. Повторение темы «Неравенства».
Урок 100. Повторение темы «Степень с целым показателем. Элементы статистики».
Урок 101. Итоговая контрольная работа.
Урок 102. Подведение итогов обучения
Пояснения к планированию:
I. Сообщение темы и цели урока (~ 1—2 мин). Учащимся кратко сообщают тему проводимого урока и цели, которые должны быть достигнуты: ознакомиться с новыми понятиями, сведениями, изучить способы решения типовых задач, отработать определенные навыки и т. д.
II. Повторение и закрепление пройденного материала (~ 15—18 мин) включает в себя ответы по домашнему заданию (5 мин) по теоретическим вопросам и разбор нерешенных задач.
Это может быть сделано либо учителем, либо кем-то из школьников (желательно добровольно). Эта часть урока включает в себя и контроль знаний (~ 10—12 мин). Поурочные контрольные материалы представлены в виде тестов, письменных опросов и самостоятельных работ.
Тесты используются при контроле сравнительного простого материала, не требующего серьезных теоретических знаний или сложных способов решения. В письменных опросах предусмотрены теоретические вопросы, связанные с основными понятиями, сведениями и приемами решения задач, а также решение задач.
В тексты самостоятельных работ включены более сложные задачи, требующие сравнительно серьезных усилий.
III. Работа по теме урока (~ 10—15 мин). С помощью примеров и наводящих вопросов рассматривается новая тема. При этом желательно максимально активизировать учащихся. Разумеется, изучение нового материала должно сопровождаться решением задач по теме (у доски, самостоятельно на месте и т. д.
почти для каждого урока приводятся творческие задания, которые требуют более высокой техники вычислений, отработанных навыков, логического мышления. В зависимости от уровня подготовки такие задачи могут быть использованы при работе в классе, в домашних заданиях, на факультативных занятиях.
В конце урока подводятся его итоги (~ 1—2 мин). Сообщается, какие цели урока достигнуты (что удалось сделать), проставляются оценки за ответы на уроке и за самостоятельную работу, записывается домашнее задание.
По прохождении темы предусмотрена контрольная работа, состоящая из заданий трех уровней сложности, которые определяются или учителем, или самим учащимся.
Также проводится (по возможности) и зачетная работа, в которую включено большее количество задач трех уровней сложности. Такая работа позволяет сравнить успехи учащихся в одинаковых условиях.
Представленный материал избыточен. Поэтому его можно использовать для дифференцированного обучения, факультативных занятий, проведения олимпиад и т.
д. Пособие будет полезно в первую очередь начинающим учителям, которые могут использовать целиком изложенные уроки. Опытные учителя могут пользоваться предложенным материалом, сообразуясь со своим опытом и планом. Разумеется, поурочные разработки являются ориентировочными и рассчитаны в основном на классы с высокой математической подготовкой.
Алгебра 8 Макарычев. Поурочные планы. Подробное поурочное планирование по алгебре для 8 класса общеобразовательных учреждений. Пособие ориентировано на работу с базовым учебником: Макарычев Ю.Н., Миндюк Н.Г. и др. Алгебра. 8 класс. М.: Просвещение.
Конспект урока по алгебре 8 класс «Решение дробно
Конспект урока по алгебре в 8 классе
с применением здоровьесберегающих технологий
Тема: «Решение дробно-рациональных уравнений»
Цели урока:
Учебная – формировать умение решать дробно-рациональные уравнения; закрепить навыки решения неполных квадратных уравнений, полных квадратных уравнений по формуле; проверить степень усвоения способа решения дробно-рациональных уравнений с помощью самостоятельной работы.
Развивающая – формировать и развивать навыки самостоятельной работы, навыки поиска решения, а также оценку и анализ готового решения.
Воспитательная – воспитание у учащихся внимания и аккуратности при оформлении решения, способствовать формированию навыков умственной деятельности, расширение знаний учащихся о психических особенностях организмов.
Тип урока: урок решения задач.
Оборудование: доска; учебник «Алгебра. 8 класс» под ред. Макарычев Ю.Н., Москва, «Просвещение», 2014 г.; рабочие тетради; двойные листы; карточки с самостоятельной работой.
Ход урока
Актуализация знаний.
Учитель: Сегодня на уроке мы будем накапливать опыт по решению дробно-рациональных уравнений, а попутно я познакомлю вас с некоторыми психическими особенностями человеческого организма.
Устная работа
№1. Решите уравнение
№2. Вычислите: ,
№3. Сократите дробь: , ,
№4. Какое из уравнений является дробно-рациональным: , ?
№5. Каков план решения дробно-рационального уравнения?
Решение задач
Решаем письменно №597(в). Ответ: 3.
Учитель: К полученному корню прибавьте число 11 и вы узнаете время наибольшего утомления: 3+11 = 14 (ч).
Работоспособность человека во время бодрствования изменяется волнообразно. Поэтому у человека в день два пика наибольшей трудоспособности и один наибольшего утомления.
Работоспособность начинает снижаться в 13 часов и к 14 часам её уже невозможно компенсировать волевым усилием. Какой сделаем вывод?
Самостоятельная работапо карточкам на 10-12 минут (выполняется на двойных листочках). См. Приложение.
Учитель: Решите уравнения, из букв, соответствующим правильным ответам, составьте слово, и вы узнаете, какой враг оказывает на организм разрушающее действие, сравнимое с курением.
Кто найдет ключевое слово, поднимет руку.
(Ключевое слово: I вариант – шум, II вариант – гам.)
Учитель: Акустические раздражения, подобно яду, накапливаются в организме, все сильнее угнетают нервную систему. Реакция на шум выражается в повышенной возбудимости и раздражительности. Люди, подвергающиеся постоянному воздействию шума, часто становятся трудными в общении. Шум приводит к появлению систематических головных болей, понижению слуховых функций и всегда к потере работоспособности.
Итоги урока
Какие уравнения называются дробно-рациональными?
Каков план его решения?
А какой вывод хочется сделать, узнав о вреде шума?
Домашнее задание
№605(а, г), №606(а, г), №608(а)
Приложение
__________________________________________________________________
Самостоятельная работа.
I вариант
Решите уравнение:
2 | 3 | -2 |
Г | В | Ш |
5 | -4 | 3 |
У | О | А |
-6 | -8 | 1 |
Л | М | Р |
б) ,
в) ,
Ключевое слово:________________________________________________________________________
Самостоятельная работа.
II вариант
Решите уравнение:
4 | 2 | -4 |
В | Г | Ш |
-1 | 4 | 5 |
М | У | А |
-9 | -8 | 9 |
М | Р | Л |
б) ,
в) ,
Ключевое слово:________________________________________________________________________
Гдз 8 клас геометрія а.
п.єршова в.в.голобородько о.ф.крижановський с.в.єршов
Скачать гдз 8 клас геометрія а.п.єршова в.в.голобородько о.ф.крижановський с.в.єршов fb2
В мире геометрии вы уже не ощущаете себя чужими: в седьмом классе вы познакомились со многими выдающимися событиями в истории ее развития, начали осваивать ее язык и овладевать ее законами.
Но геометрию неспроста считают удивительной — вечно нова и непредсказуема, она открывает свои бесценные сокровища лишь тому, кто проникся ее духом и стремится не останавливаться на достигнутом. А. П. Ершова, В. В. Голобородько, А. Ф. Крижанов-ский.— Харьков: Веста: Издательство «Ранок».— — с.: ил.), а также приводятся соответствующие задачи для повторения, которые подготовят вас к восприятию новой темы. ГДЗ 8 класс Геометрія В. В. Голобородько, О. Ф. Крижановський, С.
В. Єршов, А. П. Єршова. Главная. ГДЗ для классов. Готовые домашние задания 8 класс. Геометрія. Загрузи свое задание и получай пополнение мобильного! как это сделать!?.
ГДЗ по Алгебре, геометрия за 8 класс Самостоятельные и контрольные работы Ершова, Голобородько.
Авторы: А.П. Ершова, В.В. Голобородько, А.С. Ершова. Издательство: Илекса Тип книги: Самостоятельные и контрольные работы. Особое волнение вызывают слова, когда учитель говорит, что ждёт тех учеников, которые дружат с алгеброй. Что подстерегает тех кому она дается с большими потугами. Надо перелопатить кучу задачников, чтобы как-то подготовиться к предстоящим экзаменам.
Затрачивая, при этом много личного времени, это не всегда оправданно. Можно решать множество примеров и задач, а на контрольн. Данное пособие содержит решебник (ГДЗ) самостоятельные и контрольные работы, геометрия по Алгебре за 8 класс.
Автора: А.П. Ершова, В.В. Голобородько, А.С. Ершова Издательство: Илекса. Полные и подробные ответы к упражнениям на Гитем. Алгебра. Самостоятельные работы. С А1 А2 Б1 Б2 В1 В2. С А1 А2 Б1 Б2 В1 В2.
С А1 А2 Б1 Б2 В1 В2. С А1 А2 Б1 Б2 В1 В2. С В1 В2. Ершова А.П., Голобородько В.
В., Крижановский А.Ф. М.: — с. Тетрадь-конспект содержит все основные теоретические сведения — определения, аксиомы, теоремы и следствия из них — курса геометрии 8 класса (по учебнику Л.С.Атанасяна и др.).
Опорные задачи содержат важные свойства геометрических фигур, не выраженные в теоремах. Типовые задачи описывают простейшие и более сложные геометрические ситуации, наиболее часто встречающиеся в тематических проверочных работах.
Полезные задачи описывают дополнительные свойства изучаемых геометрических фигур. Ко всему материалу приведены чертежи, после.
А.П. Єршова, В.В. Голобородько, О.П. Крижановський, С.В. Єршов. рік. Переглянути підручник до цього ГДЗ. Восьмий клас геометрії познайомить учнів із багатьма новими теоремами, аксіомами та фігурами. Діти навчаться розв’язувати задачі із чотирикутниками, подібними трикутниками, многокутниками і прямокутними трикутниками.
Допомагатиме їм у цьому посібник із готовими домашніми завданнями із геометрії 8 клас А.
П. Єршова. Зрозуміло, що просто переписати вирішення завдань не дасть ніякої користі, адже головне навчитися самостійно їх виконувати. ГДЗ Геометрія 8 клас Єршова — відповіді до підручника Деталі.
Категорія: Гдз з математики, алгебри та геометрії. Автор: Super User. Готові домашні завдання до підручника: Мова: українська Автор: Єршова А. П., Голобородько В. В., Крижановський О. Ф. Відповіді згідно нової прогами Видавництво: Ранок Рік видання: Сторінки гдз: Старе гдз. Геометрия 8 класс Ершова на русском. Язык обучения Русский. Автор А. П. Ершова, В. В. Голобородько, А. Ф. Крижановский, С. В. Ершов.
В мире геометрии вы уже не ощущаете себя чужими: в седьмом классе вы познакомились со многими важными этапами ее развития 23290.ru Учебник Геометрия 8 класс Ершова. Скачать бесплатно. Название учебника: Геометрия 8 класс. Автор: А.П.Єршова, В.В.Голобородько, О.Ф.Крижановський, С.В.Єршов • Видавництво: «Ан Гро Плюс» • Рік видання: • Сторінок: • Формат файлу: pdf.
23290.ru Учебник Геометрія 8 класс А.
П. Єршова, В.В. Голобородько Восьмой класс и геометрия. В восьмом классе учеников ждут огромные параграфы с новой информацией.
Похожее:
▶▷▶ гдз от путина решебник по алгебре 8 класс мордкович
▶▷▶ гдз от путина решебник по алгебре 8 класс мордкович| Интерфейс | Русский/Английский |
| Тип лицензия | Free |
| Кол-во просмотров | 257 |
| Кол-во загрузок | 132 раз |
| Обновление: | 02-12-2018 |
гдз от путина решебник по алгебре 8 класс мордкович — Yahoo Search Results Yahoo Web Search Sign in Mail Go to Mail» data-nosubject=»[No Subject]» data-timestamp=’short’ Help Account Info Yahoo Home Settings Home News Mail Finance Tumblr Weather Sports Messenger Settings Want more to discover? Make Yahoo Your Home Page See breaking news more every time you open your browser Add it now No Thanks Yahoo Search query Web Images Video News Local Answers Shopping Recipes Sports Finance Dictionary More Anytime Past day Past week Past month Anytime Get beautiful photos on every new browser window Download ГДЗ по алгебре для 8 класс от Путина gdzputinaru 8 класс Заходите, не пожалеете! Тут отличные гдз по Алгебре для 8 класса от Путина Очень удобный интерфейс ГДЗ решебник по алгебре 8 класс Мордкович gdzputinaco 8 класс Алгебра Здесь представлены ответы к учебнику по алгебре 8 класс Мордкович ФГОС Вы можете смотреть и читать гдз онлайн (без скачивания) с компьютера и мобильных устройств ГДЗ и Решебник по Алгебре за 8 класс от Путина gdzputinaorg 8 класс ГДЗ по Алгебре за 8 класс отличный помощник в учебном процессе В нем Вы найдете готовые ответы на все упражнения онлайн и доступен с любого устройства Гдз От Путина Решебник По Алгебре 8 Класс Мордкович — Image Results More Гдз От Путина Решебник По Алгебре 8 Класс Мордкович images ГДЗ по алгебре для 8 класса от Путина gdzotputinaru 8 класс В таких ситуациях на помощь приходят ГДЗ за 8 класс по алгебре Решебник — это такой универсальный помощник для подготовки к урокам, который служит в качестве пособия подсказок ГДЗ от Путина 8 класс алгебра gdz-putinainfo/ 8 -klass/algebra- 8 Cached ГДЗ от Путина 8 класс алгебра решебники учебников и рабочих тетрадей по алгебре за 8 класс онлайн Данные гдз книг и тетрадей помогут вам проверить выполненное домашние задание ГДЗ по алгебре 8 класс Мордкович — онлайн решебник uchimorg/gdz/po-algebre- 8 -klass-mordkovich Cached Всё для учебы » ГДЗ бесплатно » ГДЗ по алгебре 8 класс Мордкович — онлайн решебник Чтобы добавить страницу в закладки, нажмите Ctrl+D ГДЗ по алгебре 7 класс Мордкович ( Решебник задачника) gdzputinainfo/reshebniki/7-klass/algebra/ Cached Решебник задачника части 2 по алгебре 7 класс Мордкович Курс алгебры за 7 класс отличается достаточной сложностью ГДЗ по Алгебре за 7 класс Задачник АГ Мордкович Базовый уровень gdz-putinacom/klass-7/algebra/mordkovich Cached Решебник по Алгебре Задачник Базовый уровень для 7 класса, авторы учебника : АГ Мордкович на 2017-2018 год ГДЗ по Алгебре за 9 класс Задачник АГ Мордкович , ЛА gdz-putinacom/klass-9/algebra/mordkovich Cached Готовые домашние задания и решебник по алгебре за 9 класс к задачнику авторов АГ Мордкович , ЛА Александрова, ТН Мишустина, ЕЕ Тульчинская Алгебра в 9 классе не легка в понимании и ГДЗ по алгебре 7 класс Мордкович задачник — решебник онлайн gdz-onlinecom/7-klass/algebra/mordkovich Cached ГДЗ и решебник по алгебре за 7 класс Мордкович , Александрова, Мишустина, Тульчинская — ответы к задчнику 2 чать онлайн Promotional Results For You Free Download | Mozilla Firefox ® Web Browser wwwmozillaorg Download Firefox — the faster, smarter, easier way to browse the web and all of Yahoo 1 2 3 4 5 Next 75,600 results Settings Help Suggestions Privacy (Updated) Terms (Updated) Advertise About ads About this page Powered by Bing™
- Александрова
- Тульчинская ответына вопросы из учебника Нет никаких сомнений
- что как раз необходимо для восьмиклассников Скептики довольно часто обвиняют сторонников применения подобных решебников в лени и неудовлетворительном отношении к учебному процессу Алгебра не всем дается легко Для кого то это сплошные муки Именно поэтому схема подготовки уроков в домашних условиях с помощью ГДЗ по алгебре для учеников 8 -х классов достаточно эффективна Ребенок уже идет в школу с выполненным заданием и при этом знает свои слабые места
Тульчинская ЕЕ
что нужно не бездумно списывать
- Александрова
- Мишустина
- Мишустина
Яндекс Яндекс Найти Поиск Поиск Картинки Видео Карты Маркет Новости ТВ онлайн Знатоки Коллекции Музыка Переводчик Диск Почта Все Ещё Дополнительная информация о запросе Показаны результаты для Нижнего Новгорода Москва 1 Гдз по Алгебре Задачник за 8 класс , авторы Мордкович GdzPutinacom › Гдз за 8 класс › Алгебра › Алгебра 8 класс Задачник авторы Сохранённая копия Показать ещё с сайта Пожаловаться Информация о сайте Готовые домашние задания и решебник по алгебре за 8 класс (к задачнику), авторов АГ Мордкович , ЛА Этим пособием рекомендовано пользоваться при затруднении в выполнении заданий из учебника алгебра 8 класс автора Читать ещё Готовые домашние задания и решебник по алгебре за 8 класс (к задачнику), авторов АГ Мордкович , ЛА Александрова, ТН Мишустина, ЕЕ Тульчинская, на 2015-2016 учебный год Этим пособием рекомендовано пользоваться при затруднении в выполнении заданий из учебника алгебра 8 класс автора Мордкович Нужно знать, что нельзя использовать данное пособие для бездумного списывания, это не позволит усвоить материал на должном уровне Нужно пытаться сделать все самостоятельно, если достаточно долго не получается решить то или иное задание, можно подсмотреть способ решения ГДЗ к контрольным работам по Скрыть 2 ГДЗ по алгебре для 8 класса Задачник Мордкович АГ GdzPutinaru › po-algebre/8-klass/mordkovich Сохранённая копия Показать ещё с сайта Пожаловаться Информация о сайте ГДЗ по алгебре 8 класс Задачник Мордкович АГ Базовый уровень авторы: Мордкович АГ, Александрова ЛА Ищите материал для второй части задачника 2016 года по алгебре Тогда вы попали по адресу Ведь Мордкович АГ Читать ещё ГДЗ по алгебре 8 класс Задачник Мордкович АГ Базовый уровень авторы: Мордкович АГ, Александрова ЛА, Тульчинская ЕЕ, Мишустина ТН Ищите материал для второй части задачника 2016 года по алгебре Тогда вы попали по адресу Ведь Мордкович АГ предоставил разбор всех задач и примеров в своем решебнике 8 класса В двух частях сборника ГДЗ по алгебре за 8 класс Мордкович разобраны все задания из учебника Эта часть книги разделана на тридцать шесть тематических глав В них решаются все задания из параграфов по алгебраическим дробям, свойствам функции, квадратным уравнениям Скрыть 3 Решебник и ГДЗ по Алгебре за 8 класс Задачник, авторы gdz-putinanet › 8-klass-algebra-mordkovich Сохранённая копия Показать ещё с сайта Пожаловаться Информация о сайте Решебник задач и ГДЗ по Алгебре 8 класс Мордкович АГ, Александрова ЛА, Тульчинская ЕЕ, Мишустина ТН Базовый уровень Использование этого учебного издания значительно облегчит самостоятельное выполнение учеником домашних уроков Для успешной работы с решебником ученику стоит Читать ещё Решебник задач и ГДЗ по Алгебре 8 класс Мордкович АГ, Александрова ЛА, Тульчинская ЕЕ, Мишустина ТН Базовый уровень ГДЗ Алгебра 8 класс Мордкович АГ ГДЗ по Алгебре 8 класс Задачник Базовый уровень авторы: Мордкович АГ, Александрова ЛА, Тульчинская ЕЕ, Мишустина ТН Алгебра не простой предмет, тем более в 8 классе Использование этого учебного издания значительно облегчит самостоятельное выполнение учеником домашних уроков Для успешной работы с решебником ученику стоит придерживаться ряда следующих рекомендаций: — найти нужный номер и приступить к решению задачи; — сверить результат с решением в решебнике Скрыть 4 ГДЗ по алгебре за 8 класс Мордкович , решебник gdzputinainfo › Решебники › 8 класс › Алгебра › Мордкович Сохранённая копия Показать ещё с сайта Пожаловаться Информация о сайте ГДЗ по Алгебре 8 класс : Мордкович АГ Авторы: Алгебра 8 класс Часть 2 Задачник для учащихся общеобразовательных учреждений / АГ Мордкович и др Читать ещё ГДЗ по Алгебре 8 класс : Мордкович АГ Авторы: Алгебра 8 класс Часть 2 Задачник для учащихся общеобразовательных учреждений / АГ Мордкович и др — 12-е издание — Мнемозина, 2010-2013г Перейти к описанию Поиск в решебнике Структура решебника Задание на повторение 1 2 3 4 5 6 7 8 9 10 11 12 13 14 15 16 17 18 19 20 21 22 23 24 25 26 27 28 29 30 31 32 33 34 35 36 37 38 Скрыть 5 ГДЗ от Путина по алгебре 8 класс Мордкович ФГОС Gdz-Putinacc › 8 класс › Алгебра › mordkovichhtml Сохранённая копия Показать ещё с сайта Пожаловаться Информация о сайте Если вы по каким-либо причинам не может сами выполнит домашнее задание , то ваш выбор — ГДЗ по алгебре 8 класс Мордкович Это поможет решить любое уравнение Проверить правильность решения и тд Это возможно благодаря тому, что для всего этого не нужно что-то качать Все доступно онлайн Читать ещё Если вы по каким-либо причинам не может сами выполнит домашнее задание , то ваш выбор — ГДЗ по алгебре 8 класс Мордкович Это поможет решить любое уравнение Проверить правильность решения и тд Это возможно благодаря тому, что для всего этого не нужно что-то качать Все доступно онлайн 11 12 13 14 15 16 17 1 8 19 110 111 112 113 114 115 116 117 118 119 120 121 122 124 125 126 128 129 130 131 132 133 Скрыть 6 Скачать гдз или решебник по алгебре 8 класс в один клик eurokiorg › gdz/ru/algebra/8_klass Сохранённая копия Показать ещё с сайта Пожаловаться Информация о сайте Решебник по алгебре за 8 класс это то, что как раз необходимо для восьмиклассников Алгебра не всем дается легко Для кого то это сплошные муки Именно поэтому схема подготовки уроков в домашних условиях с помощью ГДЗ по алгебре для учеников 8 -х классов достаточно эффективна Читать ещё Решебник по алгебре за 8 класс это то, что как раз необходимо для восьмиклассников Скептики довольно часто обвиняют сторонников применения подобных решебников в лени и неудовлетворительном отношении к учебному процессу Алгебра не всем дается легко Для кого то это сплошные муки Именно поэтому схема подготовки уроков в домашних условиях с помощью ГДЗ по алгебре для учеников 8 -х классов достаточно эффективна Ребенок уже идет в школу с выполненным заданием и при этом знает свои слабые места, что позволяет именно на них сконцентрировать свои усилия в процессе изучения материала Скрыть 7 Решебник по алгебре за 8 класс Задачник Мордкович GDZguru › reshebniki/8-klass/algebra/mordkovich/ Сохранённая копия Показать ещё с сайта Пожаловаться Информация о сайте ГДЗ : Онлайн готовые домашние задания Задачник по алгебре ФГОС за 8 класс , автор Мордкович АГ, Александрова ЛА, спиши решения и ответы на ГДЗ гуру ГДЗ к дидактическим материалам за 8 класс Попов МА можно скачать здесь ГДЗ : Онлайн готовые домашние задания Задачник по алгебре ФГОС за Читать ещё ГДЗ : Онлайн готовые домашние задания Задачник по алгебре ФГОС за 8 класс , автор Мордкович АГ, Александрова ЛА, спиши решения и ответы на ГДЗ гуру ГДЗ к дидактическим материалам за 8 класс Попов МА можно скачать здесь ГДЗ : Онлайн готовые домашние задания Задачник по алгебре ФГОС за 8 класс , автор Мордкович АГ, Александрова ЛА, спиши решения и ответы на ГДЗ гуру Повторение 1 Скрыть 8 ГДЗ по алгебре 8 класс Мордкович — онлайн решебник uchimorg › gdz/po-algebre-8-klass-mordkovich Сохранённая копия Показать ещё с сайта Пожаловаться Информация о сайте Тут можно абсолютно бесплатно использовать решебник ( ГДЗ ) для учебника по алгебре Мордкович за 8 -й класс Пособие предназначено для родителей Всегда помните, что нужно не бездумно списывать, это не прибавляет знаний, а стоит пытаться решать задачи самостоятельно (спиши, только когда не Читать ещё Тут можно абсолютно бесплатно использовать решебник ( ГДЗ ) для учебника по алгебре Мордкович за 8 -й класс Пособие предназначено для родителей Всегда помните, что нужно не бездумно списывать, это не прибавляет знаний, а стоит пытаться решать задачи самостоятельно (спиши, только когда не получается сделать достаточно долгое время) Авторы: АГ Мордкович , ТН Мишустина, ЕЕТульчинская Мнемозина Издание поделено на параграфы Скрыть 9 ГДЗ по алгебре 8 класс Мордкович задчник — решебник gdz-onlinecom › 8 класс › Алгебра › Решебник онлайн Сохранённая копия Показать ещё с сайта Пожаловаться Информация о сайте ГДЗ и решебник по алгебре за 8 класс Мордкович , Александрова, Мишустина, Тульчинская ответына вопросы из учебника Нет никаких сомнений, что с помощью гдз по алгебре 8 класс Мордкович любой школьник сможет решить сложные математические задачи и уравнения При этом решебник по алгебре Читать ещё ГДЗ и решебник по алгебре за 8 класс Мордкович , Александрова, Мишустина, Тульчинская ответына вопросы из учебника Нет никаких сомнений, что с помощью гдз по алгебре 8 класс Мордкович любой школьник сможет решить сложные математические задачи и уравнения При этом решебник по алгебре за 8 класс Мордкович задачник наполнен множеством типичных примеров, что позволит ребенку быстро разобраться в непонятной теме, когда возникнет такая необходимость Подобная схема выполнения домашних заданий достаточно эффективна, поскольку школьник перестанет ломать голову над тем, как смотреть или списать ответы Скрыть 10 ГДЗ решебник по алгебре 8 класс Мордкович GdzPutinaco › 8-klass…reshebnik…algebre…mordkovich/ Сохранённая копия Показать ещё с сайта Пожаловаться Информация о сайте Новые уникальные готовые домашние задания от Путина Здесь представлены ответы к учебнику по алгебре 8 класс Мордкович ФГОС Вы можете смотреть и читать гдз онлайн (без скачивания) с компьютера и мобильных устройств Быстрый поиск НАЙТИ Решебник на обновлении Другие решебники Читать ещё Новые уникальные готовые домашние задания от Путина НАЙТИ Классы 1-4 класс Английский язык Информатика Истоки Здесь представлены ответы к учебнику по алгебре 8 класс Мордкович ФГОС Вы можете смотреть и читать гдз онлайн (без скачивания) с компьютера и мобильных устройств Быстрый поиск НАЙТИ Решебник на обновлении Другие решебники ГДЗ решебник по алгебре 8 класс тесты Мордкович Тульчинская ГДЗ решебник по алгебре 8 класс рабочая тетрадь Журавлев Перепелкина к учебнику Никольского Скрыть Вместе с « гдз от путина решебник по алгебре 8 класс мордкович » ищут: гдз от путина решебник по алгебре 8 класс дорофеев гдз от путина решебник 11 класс гдз от путина лучшие решебники решебник математика 5 класс мерзляк полонский якир фгос гдз от путина гдз решебник от путина по геометрии 7 класс атанасян математика 4 класс моро 1 часть учебник ответы решебник гдз от путина гдз по русскому языку 8 класс решебник от путина гдз решебник от путина по химии 8 класс рудзитис решебник гдз от путина решебник по математике 6 класс мерзляк гдз от путина 1 2 3 4 5 дальше Браузер Ускоряет загрузку файлов при медленном соединении 0+ Установить
Гдз алгебра 8 клас корнес бабенко
Скачать гдз алгебра 8 клас корнес бабенко doc
Геометрия и алгебра решебник 8 класс корнес бабенко.
Гдз по английскому языку класс биболетова денисенко трубанева. Ершова Математика восьмого класса состоит из алгебры и геометрии. Зошит для контрольних і самостійних робіт для. Решебник (ГДЗ) Геометрія 8 клас С.П. Бабенко ( рік) Зошит. Авторы: С.П. Бабенко. Год: |. Класс: 8 |. Предмет: Геометрія |. + Самостійні роботи. Просто с ГДЗ даже на уроке.
Если впереди урок геометрии и предстоит писать контрольную, то нужно подстраховаться и проверить свои ответы перед сдачей вместе с ГДЗ Геометрія 8 клас С.П. Бабенко Зошит. Это можно будет сделать не вставая из-за парты. Заходите на портал со своих смартфонов. ГДЗ(дүж) по урокам, решенные задания по алгебре за 8 класс. ba-community.ru 2 класс 5 класс 6 класс 7 класс 8 класс 9 класс 10 класс 11 класс Все учебники.
Математика. 2 класс. 5 класс. 6 класс. Алгебра. 7 класс. 8 класс. ГДЗ (решебники) — подробные готовые домашние задания Алгебра 8 класс. Проблематика изучения алгебры в 8 классе. Каждый ученик сталкивается с индивидуальной проблемой, которая мешает ему справиться с заданиями алгебры.
Давайте быстро рассмотрим некоторые из проблем, которые заставляют учащимся обращаться к ГДЗ онлайн.
Плохое знание темы: многие школьники говорят, что им трудно справляться с заданиями по алгебре, потому что они не имеют адекватного понимания темы. Причины этого варьируются от одного человека к другому. Ответы тетрадь контрольные Геометрия 8 класс Бабенко новая программа. Смотреть ГДЗ (решебник) онлайн Как работать с решебником к тетради по геометрии 8 класс Бабенко Ответы к тетради (ГДЗ) издательства Ранок, разделены по номерам самостоятельных (СР) и контрольных работ (КР), а так же разделены на 1 и 2 варианты.
Выбрав нужную СР или КР, вы выбираете нужный вариант и номер задания.
ГДЗ (решебники) — подробные готовые домашние задания Алгебра 8 класс. Проблематика изучения алгебры в 8 классе. Каждый ученик сталкивается с индивидуальной проблемой, которая мешает ему справиться с заданиями алгебры.
Давайте быстро рассмотрим некоторые из проблем, которые заставляют учащимся обращаться к ГДЗ онлайн.
Плохое знание темы: многие школьники говорят, что им трудно справляться с заданиями по алгебре, потому что они не имеют адекватного понимания темы. Причины этого варьируются от одного человека к другому. На нашем сайте Вы найдете решение до школьных заданий бесплатно.
Убедитесь на сколько хорошо Вы усвоили пройденный материал. Найти правильные решения и ответы еще никогда не было так просто. ГДЗ Алгебра 8 класс Макарычев, Миндюк, Нешков, Суворова. ГДЗ. Где найти бесплатные решебники Решебники для учебников 5кл Решебники для учебников 6кл Решебники для учебников 7кл ГДЗ для учебников 5кл по математике ГДЗ для учебников 6кл по математике ГДЗ для учебников 7кл по алгебре.
Мегаботан по Алгебре за 8 класс, к учебникам всех авторов на учебный год. Алгебра 8 класс Дидактические материалы Жохов В.И. Алгебра 8 класс Рабочая тетрадь Колягин Ю. М. Алгебра 8 класс Г.В. Дорофеев. Алгебра 8 класс А.Г. Мерзляк. Алгебра 8 класс Самостоятельные и контрольные работы А.П. Ершова. Алгебра 8 класс Г.
К. Муравин. Алгебра 8 класс С.М.
Никольский. Алгебра 8 класс Е.П. Кузнецова. Алгебра 8 класс Истер О.С. Алгебра 8 класс Бевз Г.П. Алгебра 8 класс Мерзляк А.Г. Алгебра 8 класс Сборник задач А.Г. Мерзляк.
fb2, fb2, doc, txtПохожее:
Решебник мордкович 8 клас — malina-kalina.ru
Скачать решебник мордкович 8 клас doc
Помочь ученику разобраться со сложной для него наукой поможет решебник к учебнику «Алгебра 8 класс Сборник задач Мордкович». Что можно найти в ГДЗ. Пособие разделено на шесть глав, причем в последней из них даются итоговые задания для повторения материала.
ГДЗ по алгебре 8 класс Мордкович имеет подробные примеры решений для всех задач из школьного курса.
Авторы предусмотрительно внесли по несколько путей нахождения ответа, которые содержат различные алгоритмы, чтобы ученики сами определились с нужным.
Что дает решебник. Алгебра 8 класс Мордкович. Алгебра 8 класс Мордкович. Задачи на повторение. 1 2 3 4 5 6 7 8 9 11 12 13 14 15 16 17 18 19 21 22 23 24 25 26 27 28 29 На этой странице размещены все ГДЗ к задачнику по алгебре за 8 класс авторов А.Г. Мордкович, Т.Н. Мишустина года издания. Все задания данного решебника подробно рассмотрены и решены авторами, ученикам остается только списывать и забыть о домашних заданиях!
Однако сайт «malina-kalina.ru» рекомендует списывать каждое задание с пониманием, чтобы при попадании похожих заданий и задач ученики сами смогли их решить. 8 класс. Самостоятельные работы. К учебникам А. Г. Мордковича, Н. П. Николаева / под ред. А. Г. Мордковича. Данный комплект адресован не специализированным математическим школам или классам с собственными авторскими программами, а обычным классам в общеобразовательных школах, если в таких классах есть возможность (и желание) изучать курс алгебры на более высоком уровне по сравнению с массовой школой.
У вас в руках третья книга комплекта — задачник. Готовые домашние задания и решебник по алгебре за 8 класс (к задачнику), авторов А.Г.
Мордкович, Л.А. Александрова, Т.Н. Мишустина, Е.Е. Тульчинская. Это ГДЗ рекомендовано пользоваться при затруднении в выполнении заданий из учебника (задачника) алгебра 8 класс автора Мордкович.
Нужно знать, что нельзя использовать данное пособие для бездумного списывания, это не позволит усвоить материал на должном уровне. Нужно пытаться сделать все самостоятельно, если достаточно долго не получается решить то или иное задание, можно подсмотреть способ решения.
Учебники для 8-го класса. Решебники за 8 класс > Алгебра > А.Г. Мордкович, Л.И. Звавич. Решебник (ГДЗ) Алгебра 8 класс А.Г. Мордкович, Л.И. Звавич ( год) Часть 2. Авторы: А.Г. Мордкович, Л.И. Звавич. Год: |. Класс: 8 |. Предмет: Алгебра |. Учебник: Алгебра 8 класс А.Г. Мордкович, Л.И. Звавич ( год) Часть 2. + Глава 1. АЛГЕБРАИЧЕСКИЕ ДРОБИ. На нашем сайте уже размещен и доступен для каждого школьника решебник Алгебра 8 класс А.
Г.
Мордкович, Л.И. Звавич Часть 2 года. Вы можете просмотреть его в режиме онлайн в любое удобное время. Это удобно и просто благодаря детально продуманной структуре портала. Решебник (ГДЗ) по Алгебре за 8 (восьмой) класс Учебник, Задачник авторы: Мордкович, Александрова, Тульчинская, Мишустина издательство Мнемозина, год, Базовый уровень, часть 1, 2. Авторы: Мордкович А.Г., Александрова Л.А., Тульчинская Е.Е., Мишустина Т.Н.. Издательство: Мнемозина Тип: Задачник, Базовый уровень.
ГДЗ по алгебре 8 класс Мордкович. авторы: Мордкович А.Г., Александрова Л.А., Тульчинская Е.Е., Мишустина Т.Н.. Результат любого дела зависит от применяемой методики. Приступая к приготовлению домашней работы, следует прежде всего четко уяснить, как вы собираетесь работать, чтобы получить хорошую оценку на уроке.
С этой точке зрения важно начало, о котором говорят, что хорошее начало — половина дела. Значит самое время воспользоваться решебником по алгебре за 8 класс автора Мордковича, который содержит в себе онлайн ответы к 2-м частям учебника.
Если вам круто помогли наши ответы или вам есть ч.
Похожее:
урок «Свойства арифметического квадратного корня» | План-конспект урока по алгебре (8 класс):
Муниципальное бюджетное общеобразовательное учреждение
«Верхнебузанская средняя общеобразовательная школа»
Урок алгебры в 8 классе по теме:
«Свойства арифметического квадратного корня»
Учитель: Умбетова Гузаль Зинураевна
29.01.2019 год
Тема урока: Свойства арифметического квадратного корня.
Цели урока: создать условия для:
- усвоения учащимися свойств квадратного корня из дроби и произведения; применения данных свойств для вычисления значений выражений, содержащих квадратные корни;
- развития логического мышления для сознательного восприятия учебного материала; устной и письменной речи учащихся; коммуникативных навыков учащихся
- воспитания положительного отношения к учебной деятельности; для повышения коммуникативной активности учащихся, формирование умения аргументировать свою точку зрения, разумно оценивать работу
Тип урока: открытие новых знаний
Формируемые результаты:
Предметные: формировать умение формулировать и применять свойства арифметического квадратного корня.
Личностные: формировать умение формулировать собственное мнение.
Метапредметные: формировать умение устанавливать причинно-следственные связи, строить логическое рассуждение, умозаключение и делать выводы.
Планируемые результаты: учащийся научится формулировать и применять свойства арифметического квадратного корня.
Оборудование: презентация, карточки к самостоятельной работе, жетоны красные, зелёные, жёлтые.
Ход урока
1. Организационный момент.
Здравствуйте, ребята! Сегодня у нас не совсем обычный урок, к нам пришли гости. Давайте, улыбнемся друг другу и начнем наш урок.
РЕЦЕПТ ПЯТЁРОК
Вот Вам рецепт для пятёрок,
Он очень хорош и недорог:
Сто граммов старанья
Советую взять,
Сто граммов вниманья
Туда подмешать,
Сто граммов терпенья
По капле вливать,
И Вы, без сомненья,
Получите «ПЯТЬ»!
2. Мотивация урока.
Однажды Сократ, окружённый учениками, поднимался к храму. Навстречу им спускалась известная афинская гетера.
“Вот ты гордишься своими учениками, Сократ, — улыбнулась она ему, — но стоит мне только легонько поманить их, как они покинут тебя и пойдут вслед за мной”. Мудрец же ответил так: “Да, но ты зовёшь их вниз, в тёплую весёлую долину, а я веду их вверх, к неприступным, чистым вершинам”.
И наш урок будет проходить под девизом: «Покоряет вершины тот, кто к ним стремится». Вершин на нашем уроке – 5, и каждый должен вложить свои усилия, чтобы покорить эти вершины. На ваших столах лежат оценочные листы, преодолевая вершину, отмечайте в нем свои достижения. Кто какой вершины достигнет, такую оценку за урок и получит.
3. Проверка домашнего задания.
Проверка домашнего задания осуществляется при помощи документ камеры.
Ребята, отгадайте загадку:
Он есть у дерева, цветка,
он есть у уравнений.
И знак особый — радикал,
С ним связан вне сомнений
Заданий многих он итог,
И с этим мы не спорим
Надеемся, что каждый смог
ответить: это…(корень)
— Итак, я думаю, вы поняли, о чем пойдет речь сегодня на уроке.
(Об арифметическом квадратном корне)
— Что вы знаете по этой теме? Давайте повторим.
4. АОЗ. (Первая вершина – «Актуализационная»)
Устный счет
- Найдите значение выражения:
а) б) в) ; г) 2 д)
— Что вам необходимо применить, чтобы выполнить это задание? (определение квадратного корня). Давайте сформулируем его. (Арифметическим квадратным корнем из числа а называют неотрицательное число, квадрат которого равен а)
Вывешиваем на доску
- Вычислите: а) б) в) г)
— Что использовали в этом задании? (основное свойство корня). Вывесить на доске.
— Итак, мы изучили… (… понятие арифметического квадратного корня, основное свойство арифметического корня.)
3. Вычислите
а) ; б) ; в); г) .
— Достаточно ли вам было знаний для выполнения данных заданий? (Нет)
— Что нам нужно узнать на уроке? Как решить примеры, в которых испытали затруднения.
— Как вы думаете, у арифметического квадратного корня только одно свойство? (нет, потому что мы только начали изучать эту тему, поэтому нам нужно изучить и другие свойства)
— Да, вы правы. Мы продолжим изучать свойства квадратного корня. И тема урока звучит… (Свойства арифметического квадратного корня)
— Откройте тетради. Запишите дату, классная работа, тема урока.
— Как вы думаете, каких целей вы должны достигнуть? (изучить новые свойства, тренировать себя в их применении при выполнении заданий)
Итак, тема нашего урока «Свойства арифметического квадратного свойства».
5. Открытие новых знаний. Вторая вершина – «Познавательная»
Давайте узнаем, какие еще знания нам нужны для покорения вершин!
Решение проблемной ситуации.
— Теперь мы готовы к нашей исследовательской работе: будем выводить новые формулы. Для этого надо выполнить задания. Выполнять его будем по группам. 1 ряд- 1 группа, 2 ряд- 2 группа, 3 ряд- 3 группа.
Задания раздаются на листах.
Ученики решают их и записывают ответы на листах. Результаты работы проецируются на доску с помощью документ камеры.
Приглашаем 1 группу, обсуждаем.
-Какой вывод можно сделать из ваших рассуждений?
,
— Кто может сформулировать правило вычисления квадратного корня из степени?
— Это правило справедливо для любых множителей?
— Запишите правило в общем виде, с помощью букв, учитывая при этом какие значения могут принимать подкоренные выражения.
Приглашаем 2 группу.
— В каких столбцах вычисления для вас были легкими?
— Объясните, почему? Чем вы пользовались при вычислениях?
— Почему во втором столбце вычисления было сделать труднее?
— Сравните подкоренные выражения во всех трех столбиках.
-А теперь запишем в буквенном виде.
— Кто может сформулировать правило вычисления квадратного корня из произведения?
— Это правило справедливо для любых множителей?
— Запишите правило в общем виде, с помощью букв, учитывая при этом какие значения могут принимать подкоренные выражения.
Приглашаем 3 группу.
— В каких столбцах вычисления для вас были легкими?
— Объясните, почему? Чем вы пользовались при вычислениях?
— Сравните выражения во всех трех столбиках.
-А теперь запишем в буквенном виде.
— Кто может сформулировать правило вычисления квадратного корня из дроби?
— Это правило справедливо для любых множителей?
— Запишите правило в общем виде, с помощью букв, учитывая при этом какие значения могут принимать подкоренные выражения.
Работа с учебником.
На стр. 126-127 учебника прочитайте текст, найдите правило и сравните с тем, которое вы сформулировали.
6. Первичная проверка понимания.
Дорешайте невыполненные задания.
1 человек пойдет решать на доске.
а) ; б) ; в); г) .
7. Первичное закрепление.
Третья вершина – «Историческая»
Всегда интересно знать имя ученого-математика, который ввел новое понятие, либо доказал теорему, либо придумал новый математический символ.
Выполнив задания, выясним имя и фамилию великого математика, который первым ввел знак корня.
Работа в парах. Найдите значение выражения
Закончили? Поставьте буквы около того примера, ответ которой соответствует этой букве
24 | 3 | 6 | 5 | 0,5 | 0,28 | |
д | е | т | к | р | а | н |
Рене Декарт
О ЗНАКЕ КОРНЯ. Начиная с 13 века итальянские и другие европейские математики обозначали корень латинским словом Radix (корень) или сокращенно Rх.
В 15 веке писали R212 вместо .
В 1626 году нидерландский математик А.Ширар ввел близкое к современному обозначение корня V. Если над этим знаком стояла цифра 2, то это означало корень квадратный.
Это обозначение стало вытеснять знак Rх. Однако долгое время писали V с горизонтальной чертой. Лишь в 1637 году Рене Декарт соединил знак корня с горизонтальной чертой, применив в своей “Геометрии” современный знак корня . Этот знак вошел во всеобщее употребление лишь в начале 18 века.
Знак корня был введен практической необходимостью, зная площадь людям в 16 веке нужно было вычислять сторону квадрата. Для этого был введен корень квадратный.
Рене Декарт (1596-1650) французский дворянин, Воин, математик, философ, физиолог, мыслитель. В 1637г ввел знак корня, которым пользуемся мы.
8. Физкультминутка
Привал (привал – остановка в пути для отдыха во время похода, путешествия и т. д.) Минутка здоровья.
Помни!
Мы смотрим телевизор часами, целый день сидим за компьютером без перерывов, разговариваем по сотовому телефону без остановки, а потом не можем понять, почему же у нас так сильно болит голова и мы так устали, что ничего не видим.
Помни! На компьютере рекомендуется работать не более минут, а потом необходима зарядка для глаз, по сотовым телефонам нужно разговаривать не более секунд, смотреть телевизор не более часов
Задача
Заботящийся о своём здоровье ученик должен правильно питаться.
В день можно съедать не более кг сладостей, дневная норма потребления хлеба составляет кг, сливочного масла кг. Сколько граммов сладостей, хлеба, сливочного масла может съедать в день ученик?
9. Четвёртая вершина – «Вычислительная»
Работа у доски. № 498 (нечетные)
10. Пятая вершина – «Самостоятельная»
1 вариант 1. Значение корня равно А) 0,54 Б) 5,4 В) 54 Г) 3,6 2. Найдите значение корня А) 1 Б) 2 В) Г) 3. Вычислите А) – 16 Б) 16 В) 256 Г) – 256 4. Найдите значения выражений 1) 2) 5. | 2 вариант 1. Значение корня равно А) 20 Б) 40 В) 0,4 Г) 4 2. Найдите значение корня А) 1 Б) 3 В) Г) 3. Вычислите А) – 25 Б) 25 В) 625 Г) – 2625 4. Найдите значения выражений 1) 2) 5. Упростите выражение , если х 0 |
Взаимопроверка по образцу. Не ошибается тот, кто ничего не делает. Не бойтесь ошибаться, бойтесь повторять ошибки.
Дополнительно стр. 130 №500 (1-3), 502 (1-4)
11. Итоги урока. Рефлексия.
И в завершение нашего урока я хочу рассказать вам еще одну притчу: «Шёл мудрец, а навстречу ему три человека, которые везли под горячим солнцем тележки с камнями для строительства храма. Мудрец остановился и задал каждому по вопросу. У первого спросил: «Что ты делал сегодня?» И тот с ухмылкой ответил, что целый день возил проклятые камни. У второго мудрец спросил: «А что ты делал сегодня?» и тот ответил: «А я добросовестно выполнял свою работу».
А третий улыбнулся, его лицо засветилось радостью и удовольствием. «А я принимал участие в строительстве храма»».
Кто работал как первый человек, поднимите зелёный жетон, кто просто выполнял свою работу – жёлтый жетон, кто принимал участие в строительстве храма – красный жетон.
А теперь, ребята, посмотрите, какой вершины вы достигли на уроке? Кто достиг 5,4,3 вершины? Кто не мог преодолеть путь?
12. Домашнее задание
Повторить определение и свойства арифметического квадратного корня, п. 16
Решить № 499,501,503.
доп. № 523
Утечка в трубопроводе STEM: начало изучения алгебры
Хотя более 8000 округов предлагали доступ к алгебре I, почти в 90 процентах округов менее
Половина из 8 -х классников была зачислена на курс. Мы также видим различия в зачислении по
штат с Миннесотой и Пенсильванией,
например, выделение штатов с широким охватом. Учить
больше о том, как государства сосредотачиваются на алгебре I.
Мы знаем, что хорошее образование в области STEM — это путь к успешной карьере, и мы знаем, что потребность в STEM знания и навыки будут продолжать расти в будущем. [5] Изучение алгебры I до старшей школы, например, в 8-м классе -го -го, может подготовить учащихся к сильный фундамент STEM-образования и открывает двери для различных колледжей и вариантов карьеры.
Данные, исследуемые в этой истории, подчеркивают как успехи, так и области, в которых необходимо совершенствоваться, поскольку руководители школ, учителя и родители по всей стране работают над обеспечением равного доступа к качественному образованию в области STEM для всех ученики.
Сбор данных о гражданских правах
Данные, исследуемые в этой истории, взяты из Гражданских прав.
Сбор данных (CRDC).
С 1968 года Министерство образования США (ED) проводит CRDC для
собирать данные по ключевым вопросам образования и гражданских прав в государственных школах нашей страны. CRDC собирает
разнообразная информация, включая набор студентов, образовательные программы и услуги, большинство из которых
дезагрегированы по расе / этнической принадлежности, полу, ограниченному знанию английского языка и инвалидности.CRDC информирует
общая стратегия Управления по гражданским правам по управлению и обеспечению соблюдения законов о гражданских правах
за что отвечает. CRDC собирает только данные
из государственных школ и не включает данные из частных
школы. Чтобы напрямую загрузить файлы данных CRDC, щелкните здесь (34 МБ).
Правила исключения данных
Данные, включенные в эту историю, могут немного отличаться от других опубликованных отчетов из-за определенных данных
решения.
Для целей этого анализа школы с неполными или несовместимыми значениями данных были
исключены следующим образом:
1. Менее 1% школ были исключены из всех анализов, поскольку они предоставили противоречивые данные для Алгебра I зачислен в тот же класс.
2. Еще 6% школ, в которых обучались 8 -х -х учеников, были исключены из всех учащихся. анализы из-за отсутствия данных о зачислении в 8 -й класс или 8 -й класс Алгебра I количество зачисленных превышает общий набор учащихся 8 -го класса .
3. Менее 10 школ были исключены из набора по результатам анализа урбанизации (местности) из-за отсутствия данные.
4. В школах с 8 -м классом записывается по алгебре I больше, чем в 8 -м классе .
набор как для мужской, так и для женской подгруппы (1% школ, обслуживающих учащихся 8-х классов)
исключены из набора по полу
анализ.
5. Школы с 8 -м классом посещают алгебру I больше, чем 8 -й класс . набор по крайней мере для одной подгруппы расы / этнической принадлежности (16% школ, обслуживающих 8 -й класс студенты) были исключены из набора анализом расы / этнической принадлежности.
Список литературы
[3] Нунан, Р.(2017). STEM вакансии: Обновление 2017. Вашингтон, округ Колумбия: Офис главного экономиста по экономике и статистике Администрация, Министерство торговли США.
[5] Нунан Р.
(2017). STEM
вакансии: Обновление 2017. Вашингтон, округ Колумбия: Офис главного экономиста по экономике и статистике
Администрация,
U.S. Министерство торговли.
Планы уроков алгебры для восьмого класса, домашние задания, викторины
Планы уроков алгебры для восьмого класса, домашние задания, викториныВосьмой класс по алгебре
-
- Восьмой класс
Девятый класс, Десятый класс еще 2…, девятый класс, десятый класс - 16,598 Просмотры
- 1 Любимый
Решите и изобразите многоступенчатые неравенства
Элисса Миллер из Египетской старшей школы
Местоположение: Неравенство
Цель: Учащиеся научатся решать и изобразить многоступенчатые неравенства на числовой прямой.

- Восьмой класс
Девятый класс, Десятый класс еще 2 …, Девятый класс, Десятый класс
- Восьмой класс
-
- Пятый класс
Шестой класс, Седьмой класс, Восьмой класс, Девятый класс, Десятый класс, Одиннадцатый класс, Двенадцатый класс еще 7 …, Шестой класс, Седьмой класс, Восьмой класс, Девятый класс, Десятый класс, Одиннадцатый класс, Двенадцатый класс - 3,066 Просмотры
Перепишите сценарий империализма: международная помощь, изменение в процентах
Анке аль-Батаина из подготовительной школы для руководителей
Место: Переписать сценарий империализма
Задача: Студенты будут использовать процентное увеличение и уменьшение для сравнения экономик колонизирующих и колонизированных стран
- Пятый класс
Шестой класс, Седьмой класс, Восьмой класс, Девятый класс, Десятый класс, Одиннадцатый класс, Двенадцатый класс Еще 7.
.., Шестой класс, Седьмой класс, Восьмой класс, Девятый класс, Десятый класс, Одиннадцатый класс, Двенадцатый класс
- Пятый класс
-
- Восьмой класс
Девятый класс, Десятый класс еще 2 …, Девятый класс, Десятый класс - 17,344 Просмотры
- 1 Любимый
Решить и изобразить неравенства
Элисса Миллер из Египетской старшей школы
Местоположение: Неравенство
Цель: Учащиеся научатся решать и изобразить неравенства на числовой прямой.

- Восьмой класс
Девятый класс, Десятый класс еще 2 …, Девятый класс, Десятый класс
- Восьмой класс
-
- Восьмой класс
Девятый класс, Десятый класс еще 2 …, Девятый класс, Десятый класс - 31,822 Просмотры
- 1 Любимый
Проблемы со словами неравенства
Элисса Миллер из Египетской старшей школы
Местоположение: Неравенство
Цель: Учащиеся смогут использовать информацию из словесной задачи для написания, решения и построения графиков неравенства.

- Восьмой класс
Девятый класс, Десятый класс еще 2 …, Девятый класс, Десятый класс
- Восьмой класс
-
- Пятый класс
Шестой класс, Седьмой класс, Восьмой класс, Девятый класс, Десятый класс, Одиннадцатый класс, Двенадцатый класс еще 7 …, Шестой класс, Седьмой класс, Восьмой класс, Девятый класс, Десятый класс, Одиннадцатый класс, Двенадцатый класс - 5,972 Просмотры
Перепишите сценарий империализма
Анке аль-Батаина из подготовительной школы для руководителей
Место: Проектное обучение для основных предметов Intervention
Описание: Студенты прочитают «Сердце тьмы», «Наблюдают за аватаром» и «Жизнь и долг», а также изучат историю европейского империализма.
Студенты поймут мотивацию…- Пятый класс
Шестой класс, Седьмой класс, Восьмой класс, Девятый класс, Десятый класс, Одиннадцатый класс, Двенадцатый класс еще 7 …, Шестой класс, Седьмой класс, Восьмой класс, Девятый класс, Десятый класс, Одиннадцатый класс, Двенадцатый класс
- Пятый класс
- Восьмой класс
Девятый класс, Десятый класс еще 2 …, Девятый класс, Десятый класс - 4,811 Просмотры
- 1 Любимый
Независимые проблемы со словами о неравенстве
Элисса Миллер из Египетской старшей школы
Местоположение: Неравенство
Задача: Учащиеся смогут использовать информацию из словесной задачи для написания, решения и построения графиков неравенства
- Восьмой класс
Девятый класс, Десятый класс еще 2.
.., девятый класс, десятый класс
- Восьмой класс
Большая идея: Студенты концептуализируют процесс решения линейного уравнения, представляя переменные и константы конфетами.
Ресурсы (18)
Размышления (1)
Избранное (347)
- Восьмой класс
Девятый класс, Десятый класс еще 2.
.., девятый класс, десятый класс - 2,168 Просмотры
Полиномиальный пинг-понг
Элисса Миллер из Египетской старшей школы
Расположение: полиномы
Цель: Студенты будут практиковаться в использовании свойства распределения для умножения одночленов.
- Восьмой класс
Девятый класс, Десятый класс еще 2 …, Девятый класс, Десятый класс
- Восьмой класс
- Восьмой класс
Девятый, десятый, одиннадцатый, двенадцатый класс, подготовка к колледжу.
Еще 5 …, девятый класс, десятый класс, одиннадцатый класс, двенадцатый класс, подготовка к колледжу. - 7,931 Просмотры
«Я» в эволюции: биологическая индивидуальность
Анке аль-Батаина из подготовительной школы для руководителей
Место проведения: I vs.Мы: Индивидуализм и коллективизм, Продай свое мировоззрение
Цель: Учащиеся понимают, как генетические вариации приводят к индивидуальности внутри популяций.
- Восьмой класс
Девятый, десятый, одиннадцатый, двенадцатый класс, подготовка к колледжу. Еще 5 …, девятый класс, десятый класс, одиннадцатый класс, двенадцатый класс, подготовка к колледжу.
- Восьмой класс
- Восьмой класс
Девятый, десятый, одиннадцатый, двенадцатый класс, подготовка к колледжу.Еще 5 …, девятый класс, десятый класс, одиннадцатый класс, двенадцатый класс, подготовка к колледжу. - 2,633 Просмотры
Как «продать» мировоззрение
Анке аль-Батаина из подготовительной школы для руководителей
Место проведения: I vs.Мы: Индивидуализм и коллективизм, Продай свое мировоззрение
Цель: Учащиеся используют модели из корпоративного, политического и межличностного мира, чтобы развить убедительную «высоту» индивидуализма или коллективизма.

- Восьмой класс
Девятый, десятый, одиннадцатый, двенадцатый класс, подготовка к колледжу. Еще 5 …, девятый класс, десятый класс, одиннадцатый класс, двенадцатый класс, подготовка к колледжу.
- Восьмой класс
- Пятый класс
Шестой класс, седьмой класс, восьмой класс, девятый класс, десятый класс, одиннадцатый класс, двенадцатый класс, подготовка к колледжу. Еще 8 …, шестой класс, седьмой класс, восьмой класс, девятый класс, десятый класс, одиннадцатый класс, двенадцатый класс, подготовка к колледжу. - 4,699 Просмотры
Подставка под переменные для неизвестных
Анке аль-Батаина из подготовительной школы для руководителей
Расположение: одно- и двухшаговые уравнения
Задача: Студенты переведут слова в алгебраические уравнения.
Студенты поймут, как слова соотносятся с известными и неизвестными, переменными, константами и операциями…- Пятый класс
Шестой класс, седьмой класс, восьмой класс, девятый класс, десятый класс, одиннадцатый класс, двенадцатый класс, подготовка к колледжу.Еще 8 …, шестой класс, седьмой класс, восьмой класс, девятый класс, десятый класс, одиннадцатый класс, двенадцатый класс, подготовка к колледжу.
- Пятый класс
- Восьмой класс
Девятый класс, Десятый класс еще 2 …, Девятый класс, Десятый класс - 14,260 Просмотры
- 1 Любимый
Правила экспоненты
Элисса Миллер из Египетской старшей школы
Расположение: Экспоненты
Задача: Учащиеся смогут распознать, когда использовать соответствующее свойство экспоненты.

- Восьмой класс
Девятый класс, Десятый класс еще 2 …, Девятый класс, Десятый класс
- Восьмой класс
- Восьмой класс
- 4,711 Просмотры
- 2 Избранное
- Восьмой класс
Девятый, десятый, одиннадцатый, двенадцатый класс, подготовка к колледжу.Еще 5 …, девятый класс, десятый класс, одиннадцатый класс, двенадцатый класс, подготовка к колледжу.
- 3,861 Просмотры
Гимн I: Индивидуализм
Анке аль-Батаина из подготовительной школы для руководителей
Место проведения: I vs.Мы: Индивидуализм и коллективизм, Продай свое мировоззрение
Цель: Учащиеся прочитают и поймут графическую версию романа Айн Рэнд «Гимн», поместив ее в идеологический спектр и соотнося с концепцией о…
- Восьмой класс
Девятый, десятый, одиннадцатый, двенадцатый класс, подготовка к колледжу. Еще 5 …, девятый класс, десятый класс, одиннадцатый класс, двенадцатый класс, подготовка к колледжу.
- Восьмой класс
- Пятый класс
Шестой класс, Седьмой класс, Восьмой класс, Девятый класс, Десятый класс, Одиннадцатый класс, Двенадцатый класс еще 7 .
.., Шестой класс, Седьмой класс, Восьмой класс, Девятый класс, Десятый класс, Одиннадцатый класс, Двенадцатый класс - 2,429 Просмотры
- 3 Избранное
Создайте и управляйте страной
Анке аль-Батаина из подготовительной школы для руководителей
Место: Проектное обучение для основных предметов Intervention
Описание: Студенты создают воображаемую страну и принимают решения о том, как ею управлять.
- Пятый класс
Шестой класс, Седьмой класс, Восьмой класс, Девятый класс, Десятый класс, Одиннадцатый класс, Двенадцатый класс еще 7 .
.., Шестой класс, Седьмой класс, Восьмой класс, Девятый класс, Десятый класс, Одиннадцатый класс, Двенадцатый класс
- Пятый класс
Что-то пошло не так.Смотрите подробности для получения дополнительной информации
Слишком сложная или подходящая задача? — East Greenwich News
В декабре разочарование родителей по поводу восьмого класса алгебры I в средней школе Коула всплыло в социальных сетях, где среди упомянутых тем были опасения по поводу уровня сложности, размера класса и необходимости дополнительного обучения. Между тем администраторы спорят, в то время как класс строгий, почти две трети учеников получили в первой четверти пятёрку или четверть, и ни один ученик не получил плохую оценку.
В 7 и 8 классах ученики изучают математику 7 и 8 или более высокий уровень. Учащиеся, получившие высшие оценки и получившие рекомендацию учителя (или от которых отказались их родители), имеют право пройти ускоренную математику 7, которая включает в себя всю математику 7 плюс часть математики 8, и восьмой класс по алгебре I, которая включает остальную часть математики 8.
и вся алгебра I.
«Я сказал своему сыну, что в этом классе четверка — это здорово — это сложно!» написал один из родителей на странице EG Parents for Excellence в Facebook.«… Он находится в более напряженном состоянии, чем я когда-либо видел. Я просто хочу быть уверенным, что он правильно усваивает материал. Кроме того … дети, получившие пятерки … как они адаптируются и перейдут к более сложной математике в HS? Разве они не изучают основы алгебры? Я думаю, самая большая проблема — это слишком быстрый темп ».
Другой родитель поставил под сомнение размер класса: «Моя дочь изучает ускоренную математику… и испытывает трудности — больше, чем в любом предыдущем учебном году. Я согласен с тем, что [Коул директор] миссисМейер сказал, что перейти на алгебру сложно, но мне ясно, что здесь играют и другие факторы. Лично я борюсь с тем, что в классе моей дочери 31 ученик. Как любой ученик может привлечь необходимое внимание в классе такого размера? »
По словам Мейерса, в математических классах более высокого уровня обучается 106 восьмиклассников, что составляет чуть более половины от общего числа восьмиклассников (210) в этом году.
«Алгебра I — это более строгий, чем любой курс, который студенты прошли к этому моменту. Он требует от студентов концептуального подхода к математике, решения проблем и развития умственных способностей, ведущих к продуктивному обучению», — сказал факультет математики. Председатель Патриция Дюлак в служебной записке для прессы.
Что касается того, следует ли разрешить родителям отказываться от своего ребенка, директор Мейер сказала, что это выбор семьи, но она сказала, что тот факт, что этот курс является сложным, не должен быть причиной, чтобы его избегать, особенно в средней школе.
«Почему бы нам не открыть все возможности для детей, особенно в этом юном возрасте? Они молоды, учатся, развиваются — почему бы не бросить им вызов? » она сказала. «Многие из определяющих документов для среднего школьного образования говорят о создании всех возможностей для средних школьников.
Это резко контрастирует с годами назад, когда Коул учился в неполной средней школе.
В те годы, вспоминал Мейер, в каждом классе предлагалось пять различных уровней математики. По ее словам, для студентов, окончивших самый низкий уровень математики, это может стать самоисполняющимся пророчеством, а низкие ожидания приводят к низким результатам.
Успех студентов — признак того, что курс подходит, — сказали Мейер и Дюлак. В первом квартале 25 процентов учеников восьмого класса по алгебре получили в классе пятерку, еще 33 процента получили четверку, а 34 процента — C.Восемь студентов (7,5%) получили по курсу оценку D. Никто не подвел.
«Действительно, стоит отметить твердую четверку в такой работе», — сказал Мейер. «Это нормально для детей, когда они борются и борются с такими занятиями».
Почти каждый студент Восточного Гринвича изучает алгебру I, сказал Дюлак. Вопрос в том, когда.
«Это не тот случай, когда лучшие / более умные ученики изучают алгебру I в средней школе, а не в старшей. Когда студент изучает алгебру, я полагаюсь на способности к развитию, а не на когнитивные способности », — сказала она.
Но одна из причин выбрать Алгебру I в Коул — это то, что в расписании ученика будет место, чтобы заниматься математикой в старшей школе, не удваиваясь на уроках математики в какой-то момент. Конечно, поступая так, они фактически удваиваются в средней школе.
Есть некоторая помощь для студентов, которые испытывают трудности: учителя задерживаются допоздна один или два раза в неделю, чтобы встретиться со студентами. Но некоторые родители говорят, что слишком много учеников нуждаются в помощи. Некоторые нашли помощь со стороны.
И недавно некоторые ученики создали группу по изучению математиков для компьютерных фанатов по вторникам после школы, чтобы ученики могли работать вместе и помогать друг другу.
Постскриптум: Патриция Дулак, кафедра математики, сказала, что ни один класс не превышает 30 учеников из-за договорного ограничения на количество учеников в классе.
«Есть четыре восьмых класса алгебры I со следующими наборами: 23, 25, 29 и 29», — сказала она по электронной почте.
Она сказала, что родители не разрешили посещать занятия 12 процентов учеников.
Подпишитесь на информационный бюллетень EG News здесь . Вы можете лайкнуть нас на Facebook здесь или подписаться на нас в Twitter (@egreenwichnews) здесь .
И, если вам нравится то, что вы читаете, рассмотрите возможность поддержки East Greenwich News , нажав здесь .
Цените новости, которые вы получаете здесь, в East Greenwich News? Вы можете поддержать его, став спонсором или сделав пожертвование! Особый стимул: пожертвований, полученных до 31 декабря 2020 г., будут сопоставлены Институтом новостей для некоммерческих организаций. Мы освобождены от уплаты налогов согласно 501 (c) (3) и стремимся сохранить в Ист-Гринвиче хорошо информированное сообщество, но нам нужна поддержка читателей! Нажмите на кнопку «Пожертвовать» ниже или отправьте чек в EG News, проспект 18.
, East Greenwich, RI 02818. Спасибо.
Учебная программа по математике для 8-х классов | Time4Learning
Посмотреть демонстрационные ролики нашего урока!Эффективное преподавание математики в 8-м классе поможет вашим ученикам усовершенствовать свои алгебраические рассуждения для решения многомерных линейных уравнений, использования функций и анализа многомерных фигур. По мере того, как ваш ребенок прогрессирует в течение года, его уверенность в себе и способность учиться будут расти, что сделает его более подготовленным к старшей школе.
Если вы хотите узнать больше, следующая информация предоставит ценную информацию о том, какие шаги вы должны предпринять для достижения целей и задач вашего ученика по математике в 8-м классе и чем может помочь наша учебная программа по математике для 8-го класса.
Какую математику должен знать восьмиклассник?
Программа по математике для 8-го класса должна охватывать все направления математики, а не только арифметику.
Основными направлениями математики в учебной программе 8-го класса являются определение чисел и операции, алгебра, геометрия и пространственное восприятие, измерения, анализ данных и вероятность. Хотя эти направления математики могут вас удивить, все они являются критически важными уроками для учебной программы по математике в 8-м классе.
Эти навыки не только улучшат их беглость в математике, но и помогут развить математические факты, концепции и стратегии, которые они усвоили в прошлом, что сделает будущий успех более достижимым.Вот некоторые вещи, которые восьмиклассники должны знать по математике:
- Свойства параллельности, перпендикулярности и симметрии для решения реальных задач.
- Перевод словесных выражений и уравнений в алгебраические выражения и уравнения.
- Подстановка рациональных чисел в выражения с показателями степени и радикалами.
- Теорема Пифагора для решения реальных проблем.
- Интерпретация круговых, линейных, столбчатых, гистограмм, диаграмм «стебель-лист» и «прямоугольник и усы»
- Решение реальных проблем с рациональными числами (включая целые, десятичные и дроби).

Узнайте больше об учебной программе Time4Learning по математике для восьмого класса, ознакомившись с ее объемом и последовательностью, а также с планами уроков математики для 8-го класса.
Задачи по математике для 8-х классов
Ниже приводится общий список некоторых целей обучения математике, которые должны достичь восьмиклассники:
- Определите рациональные и иррациональные числа и опишите их значения.
- Вычислить и приблизить главные квадратные корни.
- Определяет и выполняет преобразования (отражение, перемещение, вращение и растяжение) фигуры на координатной плоскости.
- Решайте задачи с двумя переменными, используя линейные неравенства.
- Определять и различать разные типы методов отбора проб.
- Используйте технологию для определения среднего, медианного значения, режима и диапазона набора реальных данных.
Почему стоит выбрать программу Time4Learning для восьмого класса по математике на дому
Наша учебная программа по математике для 8-го класса может использоваться как основная программа домашнего обучения или как дополнение к другим учебным программам и / или школе.
Слово «команда» важно, потому что наша интерактивная программа выступает в роли партнера вашего ребенка, ведущего к овладению сложными математическими концепциями.Тысячи семей по всей стране доверяют Time4Learning, чтобы помочь студентам изучить и овладеть навыками и концепциями, необходимыми для достижения успеха.
Ниже приводится еще больше причин, по которым семьи выбирают Time4Learning для своих восьмиклассников.
В качестве полной учебной программы
| В качестве дополнения
|
Дополнительные ресурсы домашнего образования для 8-х классов
Репетитор по математике 8, Справка и практика в Интернете
Не видите, что вам нужно?
Не волнуйтесь, попробуйте поискать по всем нашим темам
Искать по всему StudyPugWhat Do You Learn in Math 8?
Изучая математику в 8-м классе, вы изучите научную систему обозначений и способы их преобразования в числа (и наоборот).Вы узнаете различные аспекты потребительской математики, такие как налоги, скидки и чаевые, а в алгебре 8-го класса вы будете решать уравнения с одной переменной, используя плитки для решения полиномов.
Кроме того, вы продолжите изучать темы, которые вам преподавали в 6 и 7 классах, такие как теорема Пифагора, преобразования, вероятность и многое другое.
Если это звучит сложно, мы предлагаем помощь по всем темам, затронутым в ваших уроках математики 8. StudyPug берет общие математические задачи для 8-го класса и разбивает их так, чтобы их было легче понять.Если вы пропустили урок в школе, вы можете найти ту же тему на нашем веб-сайте и увлечься. Выбирайте уроки, которые вам нужны, пропускайте ненужные вам материалы и учитесь в своем собственном темпе, никогда больше не отставая.
Наш контент будет охватывать ту же информацию, которая содержится в любом современном учебнике по математике для 8-х классов, например, «Большие идеи» по математике, математике, математике, общей математике для 8-го класса и математике для 8-го класса для чайников.
Независимо от того, изучаете ли вы математику Common Core в 8-м классе, TEKS (STAAR) в 8-м классе, EOG в 8-м классе или в 8-м классе по математике Regents, наши простые практические руководства найдут нужное вам содержание.
Как я могу выучить математику в 8 классе?
Чтобы изучать математику, вам нужно уделять внимание в классе и делать заметки по математике. Слушайте своего учителя и избегайте отвлекающих факторов, таких как телефоны и друзья. Если вы обнаружите, что что-то не понимаете во время урока, попросите учителя о помощи. Нет ничего плохого в том, чтобы взять на себя ответственность за свое обучение, просьба о помощи принесет вам большую пользу в изучении предоставляемого контента.
Лично мы считаем, что лучший способ выучить математику 8 — это делать это.Вот почему наши обучающие видео по математике содержат простые практические советы, которые можно применять дома, чтобы развить ваше понимание. Возьмите в привычку практиковать то, чему вас учили в классе, и используйте наши видеоуроки, чтобы упростить процесс и найти еще более эффективные способы изучения математики 8.
Кроме того, не забудьте выполнить домашнее задание и поищите в Интернете бесплатные рабочие листы по математике для 8-го класса.
Математические навыки похожи на изучение языка или тренировку по спорту: чем больше времени вы потратите на тренировки, тем лучше вы станете.
Чтобы улучшить процесс обучения, используйте StudyPug в качестве дополнения к учебе. Если вы когда-либо выходите из класса неуверенно в какой-либо теме или сталкиваетесь с трудностями при выполнении домашнего задания, посетите наш веб-сайт. У нас есть богатая библиотека видеороликов по математике для 8-х классов, которые охватывают все аспекты учебной программы и содержат пошаговые примеры даже для самых сложных математических задач для 8-го класса. Многие студенты обнаруживают, что они предпочитают наши простые видеоролики вместо традиционных учебников, поскольку они лучше справляются с передачей информации в более приятном и простом виде.
Кроме того, наши уроки математики 8 доступны круглосуточно и без выходных на мобильном устройстве, настольном компьютере или планшете. Их также можно приостанавливать, перематывать и перематывать вперед, чтобы вы могли узнать, когда вам удобно.
Как я могу сдать 8 по математике?
Чтобы сдать экзамен по математике 8 и получить хорошую оценку, вам необходимо разработать эффективную стратегию пересмотра, которая учитывала бы ваши слабые стороны и еще больше укрепляла бы ваше понимание основных принципов.
Когда придет время сдавать экзамен, вам нужно будет показать экзаменаторам, что вы понимаете, как решать математические задачи, помимо простого запоминания. Бесполезно просто запоминать формулу, если вы не можете объяснить, как она работает и когда ее использовать.
Чтобы помочь вам подготовиться к экзаменам, научиться управлять своим временем и оценить свои сильные и слабые стороны, пройдите пробные тесты с использованием прошлых работ. Эти документы не только дадут вам общее представление о том, чего ожидать от вашего собственного теста, но и позволят вам увидеть, в каких областях вы хорошо справляетесь, а в каких вам нужно улучшить.
Сядьте с тестовыми листами в условиях экзамена, убрав все отвлекающие факторы, такие как мобильные телефоны, планшеты и телевизоры.
Также не пользуйтесь Интернетом! Заполните бумагу в срок, а затем попросите кого-нибудь пометить ее за вас.
Используйте свои результаты тестов в качестве основы для пересмотра математики 8, уделяя особое внимание тем областям, в которых вы недостаточно успели. Во время пересмотра используйте StudyPug в качестве личного наставника по математике 8, чтобы помочь вам развить понимание. Наши материалы для подготовки к экзамену по математике в 8-м классе отлично справятся с разбивкой информации на небольшие куски, которые легче усвоить и сохранить.
Для начала мы предлагаем коллекцию бесплатных уроков математики для 8-х классов по следующим предметам:
■ \ blacksquare ■ Понимание систем счисления
■ \ blacksquare ■ Функции абсолютных значений
■ \ blacksquare ■ Сложение и вычитание Рациональные выражения
■ \ blacksquare ■ Использование экспонентов для описания чисел
■ \ blacksquare ■ Отношения
■ \ blacksquare ■ И многое другое
Просмотрите их все сегодня и узнайте, как StudyPug может помочь вам сдать экзамен по математике в 8-м классе!
Как мне стать лучше в 8-м классе по математике?
Если вы чувствуете, что могли бы лучше учиться в классе и хотели бы получить дополнительную помощь по математике в 8-м классе, вам следует регулярно посещать StudyPug и использовать наш контент для проверки, исправления, исправления.
Нельзя не подчеркнуть, что лучший способ выучить математику — это повторять. Чем больше вы пересматриваете и практикуете то, что вы узнали, тем больше у вас шансов сохранить эту информацию.
В StudyPug мы понимаем, что найти время на пересмотр и привыкнуть к учебе легче сказать, чем сделать, поэтому наш контент предлагается в виде коротких увлекательных видеороликов, к которым можно получить доступ дома или в дороге. Мы следим за тем, чтобы наш контент соответствовал вашему расписанию, чтобы мы могли предложить вам необходимую поддержку, когда она вам понадобится.
Думайте о нас как о вашей собственной виртуальной службе репетиторства по математике 8, предлагающей помощь 24/7 за небольшую часть стоимости частного репетитора.
Алгебра в 8 классе — это хорошо! Алгебра в 8 классе — это плохо! Выберите один, мистер канцлер.
Как и «Компьютерные науки для всех», «Алгебра для всех» — это инициатива Нью-Йорка, созданная еще до нашего нынешнего школьного ректора Ричарда Карранза.
По данным официального сайта nyc.gov:
С помощью алгебры для всех к 2022 году каждый ученик будет иметь доступ к алгебре в восьмом классе, полной алгебре не позднее чем в девятом классе, а в начальной и средней школе будет оказываться академическая поддержка, чтобы помочь большему количеству учеников подготовиться к алгебра в восьмом классе .
Предполагается, что алгебра в 8-м классе приведет к геометрии в 9-м, алгебре 2 в 10-м, предварительному исчислению в 11-м и математическому анализу в 12-м.
Каждый пресс-релиз, который сейчас рассылается канцелярией мэра Билла де Блазио, заканчивается стандартным абзацем, в котором говорится:
Инициативы «Справедливость и превосходство для всех» прокладывают путь к успеху в колледже и карьере для всех учащихся… (в том числе) «Алгебра для всех» для улучшения преподавания математики в начальной и средней школе .
![]()
Алгебра предположительно рассматривается как средство достижения вышеупомянутой справедливости и совершенства для всех.
Как ректор школы Нью-Йорка Ричард Карранза предположительно поддерживает инициативу «Алгебра для всех». Он тот, кто его реализует!
И все же, когда он был канцлером школьной системы Сан-Франциско, Карранса был столь же непреклонен в том, что путь к достижению равенства и совершенства для всех — это… избавиться от алгебры для всех восьмиклассников.
Родитель Bay Area пишет:
Прошлой ночью я не мог уснуть. Был так расстроен лицемерием, что лишил всех доступа к 8-й классной алгебре в Сан-Франциско, а затем рекламировал доступ для всех готовых в Нью-Йорке. Я согласен с его приоритетами, изложенными на сайте. Я просто поражаюсь, что обернулся. Пока мы остаемся с сумкой его творчества.
— Maya (@ mayak46) 3 июня 2019 г.
В защиту неоднозначной политики Карранса заявил, что его инициатива повысила результаты тестов для студентов из числа меньшинств и с низким доходом, в то время как результаты студентов из среднего класса остались стабильными.
Но, как я писал в ноябре прошлого года:
Конечно, не понизились оценки лучших студентов! Их проверяли на уже освоенном материале! Это все равно, что хвастаться, что школьники полностью убиты, прочитав отрывок из «Кот в шляпе»!
Не говоря уже о том, что, как мать, написавшая в Твиттере выше, и как многие родители, чьи дети ходят в «хорошие» школы Нью-Йорка, всегда есть частные уроки для тех привилегированных душ, которым не приходится полагаться исключительно на прихоти окружающих. система государственных школ.
Да, и NAACP также назвал Сан-Франциско самым худшим округом Калифорнии для чернокожих студентов и потребовал объявить чрезвычайное положение.
Но кто считает?
Те, кто читают меня регулярно, знают, что я стараюсь дать всем детям возможность продвигаться по всем предметам в их собственном темпе. Учащиеся должны иметь возможность изучать алгебру, когда они будут готовы. (Те, кто читал моего сына, с другой стороны, знают, что он не верит, что Алгебра 2 должна быть обязательным требованием для окончания учебы; я не только знаю, что все семьи не согласны с тем, что делает школу «хорошей», это происходит в собственном доме!)
Конечно, те, кто читает меня (или моего мужа) регулярно, также знают, что меня гораздо больше беспокоит то, что ученики — особенно бедные или цветные — в настоящее время далеко не готовы изучать алгебру в 8-м классе.Или 9-е. Или 12-е. Или поступите даже в общественный колледж, не нуждаясь в исправлении.
Я не скрывал своего несогласия с канцлером Каррансой по поводу школ SHSAT, программ для одаренных и талантливых, а также из его выбора поставщика для постоянно неработающего Родительского портала.
К тому же ты думаешь, я уже привык к его лицемерию. (Он не одинок в этом отношении.)
Но безразличие к алгебре в 8-м классе (он был за это, прежде чем он был против — или наоборот) беспокоит меня совершенно по-новому.
Что это означает, когда человек, который сделал равенство и превосходство центральным элементом своей образовательной программы — опережая учебный план, качество учителей, академические стандарты и т. Д., — говорит, что путь к достижению этого прямо противоположен тому, что он поддерживал, только несколькими годами ранее?
Здесь есть три возможности:
- Канцлер Карранса искренне изменил свое мнение по этому поводу, увидев результаты своего эксперимента в Сан-Франциско.Если это так, он заслуживает похвалы. Всем трудно признать свои ошибки. Было бы неплохо, если бы он сделал это публично, но, возможно, это все еще в работе.
- Канцлер Карранса не изменил своего мнения, но, как любой политический хакер, он подчиняется приказам сверху и повторяет линию партии.
Это вызывает большее беспокойство, потому что очень легко представить, как он говорит: «Да, Билл, конечно, Билл, все, что вы скажете, Билл, алгебра, безусловно, является ключом к справедливости и совершенству.А потом, в принципе, ничего с этим не делать. - Канцлеру Каррансе все равно. Как Гамильтон пел о двух первых кандидатах в президенты: «Джефферсон имеет свои убеждения, а Берр — нет». В этом случае Карранса был бы Бёрром, всегда проверяя, куда дует ветер общественного мнения. Он сделает и скажет все, что ему нужно, чтобы укрепить свою базу власти. «Меньше говори, больше улыбайся». И ничего по существу не делать.
Может быть, напишите в Твиттере себя в костюме мариачи.
Сможет ли Ричард Карранса преподать алгебру для всех? Он вообще намеревается? Поделитесь с нами вашими мыслями!
Нравится:
Нравится Загрузка …
Связанные
Создание релевантной алгебры — маневрирование средним
За годы преподавания у меня была возможность преподавать алгебру 1 в качестве курса на уровне для первокурсников 9-го класса и в качестве курса предварительной подготовки для учеников 8-го класса.
В то время как два возраста и настройки (средняя школа vs.старшая школа) различались, содержание осталось почти таким же. Как учитель математики, Алгебра 1 — это определение веселья! Для меня все элементы собраны вместе, и у вас есть возможность увидеть, как это «щелкнет» для ваших учеников. Некоторые студенты могут начать видеть несоответствие между алгеброй и «реальным миром» — задайте вопрос: «Когда мы собираемся это использовать?»
Они правы. Не все, что вы изучаете по Алгебре 1, напрямую повлияет на вашу карьеру — вы можете не графически отображать системы для определения решения, но вы можете сравнивать два разных сервиса и хотите знать, какой из них лучше.Алгебра 1 действительно учит вас рассуждать, абстрактно мыслить и применять навыки решения проблем. Итак, как мы, учителя, можем сделать алгебру актуальной?
Я также хочу отметить, что часто Алгебра 1 не является предметом шлюза; это привратник. Будущий успех в математике (и, возможно, в остальном образовании учащихся) зависит от успеха в основах алгебры.
Статистика неприятна тем, кто не справляется с Алгеброй 1. Делая ее более актуальной и показывая связь с реальным миром, учащиеся с большей вероятностью будут вовлечены и будут участвовать и, следовательно, с большей вероятностью добьются успеха!
1.Подключитесь к реальному миру
Мы все видели этот мем раньше. Реальные математические задачи могут быть немного глупыми. Я лично считаю, что чем это глупее, тем лучше. (Щелкните, чтобы узнать, как мне нравилось решать забавные задачи со словами в классе.)
Однако, когда мы можем подключиться с помощью алгебры для решения интересных, НАСТОЯЩИХ реальных проблем, которые происходят прямо сейчас, мы привлекаем студентов, которые иначе не были бы вовлечены. Это отличный веб-сайт с разными интересными задачами для студентов.Они отсортированы по классам, и я обнаружил, что щелкаю по каждому из них просто из чистого интереса к теме (а не по математике!).
Вот лишь несколько примеров —
2.
Адаптация учебной программы к интересам учащихся
Эта статья увлекательна. По сути, исследования показывают, что ученики более успешны в математике, когда учебная программа учитывает их личные интересы.
«В ходе исследования половина студентов выбрали одну из нескольких категорий, которые их интересовали — такие как музыка, фильмы, спорт, социальные сети — и получили учебный план алгебры, основанный на этих темах.Другая половина не получила персонализации на основе интересов … Уокингтон обнаружил, что студенты, получившие персонализацию на основе интересов, быстрее осваивают концепции ».
Позже в ходе исследования она удалила персонализацию на основе интересов, чтобы посмотреть, сохранились ли концепции с течением времени.
«Студенты, которые ранее получали персонализацию, даже если она исчезла, лучше справлялись и с этими более сложными задачами, — сказал Уокингтон».
А для студентов, которые уже боролись с алгеброй?
«Мы выбрали студентов, которые, казалось, испытывали наибольшие трудности в алгебре I, и мы обнаружили, что для этой подгруппы студентов, которые были далеко позади, персонализация была более эффективной », — сказал Уолкингтон.
”
3. Включите обучение на основе проектов
Когда учащиеся участвуют в процессе решения реальной проблемы или ответа на сложный вопрос, они берут на себя ответственность за свое обучение. Обучение на основе проектов поддерживает мои последние два пункта, но более того, оно делает актуальность темы более ощутимой, чем типичный рабочий лист. Организация информации, решение проблемы и представление решения сверстникам — это вещи, которые многим студентам необходимо уметь делать в реальном мире, даже если они не связаны с математикой.
4. Сосредоточьтесь на мышлении, а не только на процессе
Концептуальное обучение и процедурное обучение: слишком долго я был сосредоточен на том, чтобы сообщить, какие шаги следует предпринять для решения проблем, вместо того, чтобы заставлять студентов исследовать, какие шаги следует предпринять и ПОЧЕМУ эти шаги были предприняты. Возьмем решение систем уравнений. Для решения системной проблемы с помощью построения графиков, исключения или замены может быть МНОГО шагов, и МНОГИЕ студенты будут решать эти проблемы, не понимая, что представляют собой эти типы проблем.
Действительные числа (2 ч)
п.єршова в.в.голобородько о.ф.крижановський с.в.єршов
Упростите выражение , если х ≥ 0
.., Шестой класс, Седьмой класс, Восьмой класс, Девятый класс, Десятый класс, Одиннадцатый класс, Двенадцатый класс

Студенты поймут мотивацию…
.., девятый класс, десятый класс
.., девятый класс, десятый класс
Еще 5 …, девятый класс, десятый класс, одиннадцатый класс, двенадцатый класс, подготовка к колледжу.

Студенты поймут, как слова соотносятся с известными и неизвестными, переменными, константами и операциями…

.., Шестой класс, Седьмой класс, Восьмой класс, Девятый класс, Десятый класс, Одиннадцатый класс, Двенадцатый класс
.., Шестой класс, Седьмой класс, Восьмой класс, Девятый класс, Десятый класс, Одиннадцатый класс, Двенадцатый класс



Это вызывает большее беспокойство, потому что очень легко представить, как он говорит: «Да, Билл, конечно, Билл, все, что вы скажете, Билл, алгебра, безусловно, является ключом к справедливости и совершенству.А потом, в принципе, ничего с этим не делать.
Адаптация учебной программы к интересам учащихся