Номер (задание) 321 — гдз по математике 6 класс Виленкин, Жохов, Чесноков
Условие / глава 1. / § 2 / тема 11 / 321
321. Найдите значение выражения: а) 1/2 + 5/8; б) 3/4 – 1/2; в) 7/10 – 3/5; г) 5/7 – 3/14; д) 5/9 – 5/12; е) 7/12 – 7/20; ж) 5/6 +3/8; з) 19/21 – 11/15; и) 21/22 – 3/55; к) 5/42 + 10/63; л) 11/21 – 2/35; м) 5/24 + 7/60.
Решебник №1 / глава 1. / § 2 / тема 11 / 321
/ § 2 / тема 11 / 321 Решебник №2 / глава 1. / § 2 / тема 11 / 321
/ § 2 / тема 11 / 321▶▷▶▷ гдз по русскому упр 321
▶▷▶▷ гдз по русскому упр 321| Интерфейс | Русский/Английский |
| Тип лицензия | Free |
| Кол-во просмотров | 257 |
| Кол-во загрузок | 132 раз |
| Обновление: | 27-09-2019 |
гдз по русскому упр 321 — Номер 321 — ГДЗ по Русскому языку 7 класс: Ладыженская ТА gdzputinainfoladyzhenskaya-baranovnomer- 321 Cached Ответ на Номер 321 из ГДЗ по Русскому языку 7 класс: Ладыженская ТА ГДЗ (готовое домашние задание из решебника) на Номер 321 по учебнику Русский язык 7 класс : учебник для Номер 321 — ГДЗ по русскому языку 8 класс Тростенцова uchimorggdztrostencova-8-klass253 Cached Решение задания номер 321 ГДЗ по русскому языку 8 класс Тростенцова, Ладыженская поможет в выполнении и проверке Гдз По Русскому Упр 321 — Image Results More Гдз По Русскому Упр 321 images Решебник (ГДЗ) по русскому языку 6 класс Баранов Ладыженская megareshebaruindex040-4310 Cached Подробный решебник и гдз по русскому языку для учащихся 6 класса, авторов МТ Баранов, ТА Ладыженская, ЛА Тростенцова на 2016 учебный год ГДЗ по Русскому языку 7 класс Ладыженская, Решебник gdzputinainforeshebniki7-klassrusskiy-yazyk Cached ГДЗ по русскому языку 7 класс: Ладыженская, Баранов, Тростенцова Программа изучения русского языка в 7 классе сложная и насыщенная ГДЗ решебник по русскому языку 4 класс Рамзаева 1 и 2 часть gdzputinaco1-4-klassi-onlajnrusskij-yazik-1 Cached ГДЗ решебник по русскому языку 4 класс Рамзаева 1 и 2 часть — лучший онлайн решебник Новые уникальные готовые домашние задания от Путина ГДЗ по русскому языку 7 класс Баранов Ладыженская yagdzcom7-klassrusskij-yazyk-7gdz-7-baranov Cached Готовое домашнее задание ГДЗ , предложенное нашей командой, лучший путь к проверке собственных решений, исправлению ошибок, закреплению в памяти сложных правил русского языка Упражнение 321 — гдз по русскому языку 5 класс Ладыженская gdzplusmeladyzhenskaya-baranovuprazhnenie- 321 Cached ГДЗ 5 класс Русский язык Ладыженская, Баранов, Тростенцова Упражнение 321 5 класс Упражнение 321 , онлайн ГДЗ по русскому за 5 класс к учебнику Ладыженской, Баранова Номер 321 — ГДЗ по русскому языку 6 класс Баранов uchimorggdzpo-russkomu-yazyku-6-klass-baranov 321 Cached Решение задания номер 321 ГДЗ по русскому языку 6 класс Баранов поможет в выполнении и проверке ГДЗ по Русскому языку 7 класса: Ладыженская Упр 321 gdzrusru7-klass-ladyzhenskayaupr- 321 Cached Проверь и спиши Упражнение 321 по готовым домашним заданиям из разных решебников собранных на учебник по русскому языку 7 класса от авторов Т А Ладыженская, Л А Тростенцова, М Т Баранов и др написанного в 2013 году ГДЗ по русскому языку 4 класс Канакина Горецкий 1, 2 часть yagdzcom1-4-klassrusskij-yazyk-1-4gdz-po Cached Все ГДЗ 1-4 класс Русский язык ГДЗ по русскому языку 4 класс Канакина Горецкий Учебник Русский язык 4 класс Promotional Results For You Free Download Mozilla Firefox Web Browser wwwmozillaorg Download Firefox — the faster, smarter, easier way to browse the web and all of 1 2 3 4 5 Next 6,060
- Здесь вы найдете онлайн решебники по Русскому языку для 6 класса Баранов М.
Т. 6 класс: Математика А - нглийский язык Русский язык. ГДЗ на урок русского языка для 6 класса, авторы Рудяков А.Н., Фролова Т.Я., Маркина-Гурджи М.Г. 2014 год, новая программа. Учебник по русскому языку 3 класс Рабочая тетр
- Т.Я., Маркина-Гурджи М.Г. 2014 год, новая программа.
Учебник по русскому языку 3 класс Рабочая тетрадь Нечаева Н. В. Учебник создан при содействии автора: Воскресенская Н.Е.
МИР ГДЗ — это сборник готовых домашних заданий для учеников с 5 по 11 классы. У нас можно списать домашнюю работу без регистрации и скачивания непонятных файлов.
ГДЗ по русскому языку за 5 класс Львова С.И., Львов В.В. Упражнение 321 — ответы и онлайн гдз.
Готовые домашние задания по русскому языку по учебнику: Русский язык — 5 класс. Ладыженская Т.А. Bobych.ru 2004 — 2016 Сочинения, рефераты, курсовые, ГДЗ, ЕГЭ, биографии.
У нас нашлось очень много книг по запросу гдз русский язык гармония 2класс упр 321. Всего было найдено 12075 книг для скачивания.
Учебник входит в УМК по русскому языку для…
Подробный решебник (гдз) по Русскому языку для 5 класса, авторы учебника: М.Т. Баранов, Т.А. Ладыженская, Л.А. Тростенцова 2016 год.
Онлайн ГДЗ по учебнику Русский язык 10-11 класс. Пособие для занятий по русскому языку в старших классах.: В.Ф.Греков, С.Е.Крючков, Л.А.Чешко.
Где найти упр 400. Баранов, Ладыженская, Тростенцова, Григорян, Кулибаба и другие соавторы сделали всё, чтобы ученики 6 класса с блеском и лёгкостью сдавали домашние задания по русскому языку .
ЕГЭ
Фролова Т.Я.
- ЛА Тростенцова на 2016 учебный год ГДЗ по Русскому языку 7 класс Ладыженская
- Ладыженская поможет в выполнении и проверке Гдз По Русскому Упр 321 — Image Results More Гдз По Русскому Упр 321 images Решебник (ГДЗ) по русскому языку 6 класс Баранов Ладыженская megareshebaruindex040-4310 Cached Подробный решебник и гдз по русскому языку для учащихся 6 класса
- ТА Ладыженская
Нажмите здесь , если переадресация не будет выполнена в течение нескольких секунд гдз по русскому упр Поиск в Все Картинки Ещё Видео Новости Покупки Карты Книги Все продукты ГДЗ упражнение русский язык класс МТ Баранов, ТА https gdz ruclassrusskii nom Подробное решение упражнение по русскому языку для учащихся класса , авторов МТ Баранов, ТА Номер ГДЗ по Русскому языку класс Ладыженская https gdz putinainfonomer ГДЗ готовое домашние задание из решебника на Номер по учебнику Русский язык класс учебник для Русский язык класс упражнение номер Баранов https gdz fiveru gdz _class ГДЗ по русскому языку класс Баранов, Ладыженская номер ГДЗ, решебник, онлайн по русскому языку Задание ГДЗ по русскому языку класс янв Письменное решение Для увеличения нажми на картинку русский язык класс Ладыженская Упр onlinegdznet Упражнение гдз по русскому языку класс https gdz plusmeuprazhnenie Разбор упражнения по русскому языку за класс Ладыженская, Баранов, Тростенцова Задание Русский язык класс Ладыженская янв Задание Русский язык класс Ладыженская, Баранов, Тростенцова UrokiTV Loading myoutubecom Задание по русскому языку класс kakkaknet kakkaknet?viewsolve_lad Упражнение по русскому языку класс Вконтакте Заходи сюда, помогаем делать домашку Вконтакте Упражнение ГДЗ класс, Русский язык, Ладыженская gdz taskview Упражнение , Произведите морфологический разбор слов категории состояния два разберите письменно, Упражнение GDZplusru https gdz plusruuprazhnenie ГДЗ по русскому языку класс упражнение dzokru gdz bookunit Готовое Домашнее Задание по русскому языку для класса упражнение Ладыженская ТА, Баранов МТ, ГДЗ Русский язык класс Троснецова, Ладыженская gdz gdz янв ГДЗ Русский язык класс Троснецова, Ладыженская Помогите выполнить упражнение ГДЗ по русскому языку класс МТ Баранов упражнение gdz russkij Подробное решение упражнение по русскому языку для учащихся класса, авторов МТ Баранов, ТА Упражнение ГДЗ по русскому языку класс Баранов М ГДЗ по русскому языку класс Баранов МТ, Ладыженская ТА, Тростенцова ЛА упражнение ГДЗ по русскому языку класс Ладыженская, Тростенцова и https gdz clubrurusskij Упражнение , авторы Ладыженская ТА, Тростенцова ЛА, Дейкина А Д, Александрова ОМ Ладыженская ГДЗ номер , упражнения по русскому языку класс gdz russkij ГДЗ , готовое домашнее задание по русскому языку класс, автор учебника Ладыженская ТА Решено Упр ГДЗ Гольцова класс по русскому языку Решенное задание Упр из учебника Гольцовой класс по русскому языку бесплатно с пояснениями Решено Упр ГДЗ Бархударов класс по русскому языку Решенное задание номер из учебника по русскому языку класс Бархударов бесплатно с пояснениями Ладыженская Упр ГДЗ по Русскому языку класса https gdz rusruklassupr Проверь и спиши Упражнение по готовым домашним заданиям из разных решебников собранных на ГДЗ Упражнение из учебника Русский язык класс янв Упражнение из учебника Русский язык класс Ладыженская, Баранов, Тростенцова фото и видео решебник bobotanru Картинки по запросу гдз по русскому упр ГДЗ по русскому языку класс МТ Баранов упражнение pinterestcom ГДЗ по русскому языку класс МТ Баранов упражнение , решебник Упражнение ГДЗ по Русскому языку класс Где Гдз gdz ruuprazhnenie Упражнение из решебника ГДЗ на учебник по Русскому языку класса от авторов ЛА Тростенцова, ТА Ответы к упражнению учебника по русскому языку html упражнение упражнение ; упражнение Ответы к упражнению учебника по русскому языку ГДЗ Гольцова НГ класс Русский язык, Упражнения gdz ru Гольцова НГ, задание текст упражнения , параграфа, задачи, контрольного вопроса Русский язык, класс, Упражнение ГДЗ по Русскому языку за класс, ответ https gdz goruuprazhnenie Ответ на Упражнение из ГДЗ к Учебнику Баранов по Русскому языку за класс Проверенное решение в Задача Математика класс решебник ответы vcevcerumvn Русский язык класс Ладыженская Математика класс решебник ответы Задача Глава Обыкновенные ГДЗ по русскому , Пособие для занятий по русскому wwwmy gdz composobiedlyazanyat ГДЗ по русскому , Пособие для занятий по русскому языку в старших классах ВФГреков, СЕКрючков, ГДЗ русский язык класс часть Канакина Упражнение klassru gdz russkom u gdz Русский язык класс Канакина Горецкий часть Онлайн учебник и решебник гдз Упражнение Упражнение ГДЗ Русский язык класс Баландина Н m gdz ometrbybookresh Русский язык класс ГДЗ Баландина Н Ф, Дехтярева К В, Лебеденко С А Каталог Упражнение Номер ГДЗ по математике класс Виленкин uchimorg gdz poklass Решение задания номер ГДЗ по математике класс Виленкин поможет в выполнении и проверке Произведите морфологический разбор слов категории gdz comklasszadanie ГДЗ на Задание по учебнику МТ Баранов, ТА Ладыженская, ЛА Тросенцова и др Учебник по русскому Ответ на упражнение Страница ГДЗ Русский gdz bookru?start ГДЗ Русский язык класс Рыбченкова Ответ на упражнение ГДЗ Русский язык класс Рыбченкова Ответ на упражнение Страница ГДЗ Русский babajcevaru?start Решебник ГДЗ к учебнику Русский язык класс ВВ Бабайцева упражнение срочно и озаглавить текст Школьные апр raisatadam; Русский язык Решите логическую задачу Во время урока учитель Родион Русский язык класс атамура стр упр домамашняя сен Чешко гдз , русский язык класс атамура стр упр Море Выполнение упражнения Ответ на упражнение Страница ГДЗ Русский baranovru?start Решебник к учебнику Русский язык класс Баранов Упражнение Русский язык класс Канакина, Горецкий упражнение LinkedIn Viber WhatsApp Добавлено месяцев назад от jools Просмотры Другие решения смотри тут Русский язык, НГ Гольцова, ИВ Шамшин Решебник wwwmegashporaru gdz Решебник к учебнику Русский язык, НГ Гольцова, ИВ Шамшин класс ГДЗ по русскому языку класс Ладыженская, Баранов https gdz lifeklassrusskiybaranov Рейтинг , голос Подробное ГДЗ по русскому языку класса к учебнику Баранов МТ, Ладыженская ТА, Тростенцова ЛА Ответ на упражнение Страница ГДЗ Русский pichugovru?start Решебник к учебнику Русский язык класс Пичугов Решебник по Русскому языку за класс ТГ Рамзаева часть Данное пособие содержит решебник ГДЗ по Русскому языку за класс часть , часть Упражнения Решебник по Русскому языку за класс ЛА Тростенцова, Т Данное пособие содержит решебник ГДЗ по Русскому языку за класс Упражнения ГДЗ к упр , Русский язык классы ВФГреков и др gdz bestruonlineedefaulthtm ГДЗ к упр , Русский язык классы Пособие для занятий по русскому языку в старших классах Решебник ГДЗ по русскому языку класс Баранов Подробный решебник и гдз по русскому языку для класса, авторы МТ Баранов, ТА Ладыженская, ЛА ГДЗ по русскому языку для класса МТ Баранов https gdz putinaru russkom u Тут отличные гдз по русскому языку для класса, МТ Баранов, ТА Ладыженская, ЛА Упражнения ; ; ; ; ; ; ; ; ; ; ; ; ; ; ; ; ; Решебник ГДЗ по русскому языку класс Ладыженская reshatorcom gdz ladyzhenskaya ГДЗ домашнее задание по русскому языку за класс к учебнику вопросы может выполнить даже сложные упражнения из учебника Ладыженской за ГДЗ по русскому языку класс Баранов, Ладыженская eurokiorg gdz baranov Решебник по русскому языку за класс авторы Баранов, Ладыженская издательство Просвещение ГДЗ по русскому языку класс Быстрова https gdz putinainfo gdz bystrova ГДЗ готовые домашние задания к учебнику по русскому языку класс Выберите номер упражнения учебника ГДЗ по русскому языку класс Рыбченкова учебник https gdz putinainfo gdz ГДЗ ответы из учебника учебнометодических комплект по русскому языку класс Л М Рыбченкова, О М Упражнение Запишите текст как диалог, вставляя textextruuprazhnenie Упражнение Запишите текст как диалог, вставляя пропущенные буквы и знаки препинания Назовите Запросы, похожие на гдз по русскому упр гдз по русскому класс ладыженская гдз по русскому языку класс баранов ладыженская зелёный учебник гдз по русскому языку класс дорофеев гдз по русскому класс ладыженская номер русский язык класс номер мой класс ладыженская русский язык класс номер гдз русский язык класс упр След Войти Версия Поиска Мобильная Полная Конфиденциальность Условия Настройки Отзыв Справка
Здесь вы найдете онлайн решебники по Русскому языку для 6 класса Баранов М.
Т. 6 класс: Математика Английский язык Русский язык.
ГДЗ на урок русского языка для 6 класса, авторы Рудяков А.Н., Фролова Т.Я., Маркина-Гурджи М.Г. 2014 год, новая программа.
Учебник по русскому языку 3 класс Рабочая тетрадь Нечаева Н. В. Учебник создан при содействии автора: Воскресенская Н.Е.
МИР ГДЗ — это сборник готовых домашних заданий для учеников с 5 по 11 классы. У нас можно списать домашнюю работу без регистрации и скачивания непонятных файлов.
ГДЗ по русскому языку за 5 класс Львова С.И., Львов В.В. Упражнение 321 — ответы и онлайн гдз.
Готовые домашние задания по русскому языку по учебнику: Русский язык — 5 класс. Ладыженская Т.А. Bobych.ru 2004 — 2016 Сочинения, рефераты, курсовые, ГДЗ, ЕГЭ, биографии.
У нас нашлось очень много книг по запросу гдз русский язык гармония 2класс упр 321. Всего было найдено 12075 книг для скачивания. Учебник входит в УМК по русскому языку для…
Подробный решебник (гдз) по Русскому языку для 5 класса, авторы учебника: М.
Т. Баранов, Т.А. Ладыженская, Л.А. Тростенцова 2016 год.
Онлайн ГДЗ по учебнику Русский язык 10-11 класс. Пособие для занятий по русскому языку в старших классах.: В.Ф.Греков, С.Е.Крючков, Л.А.Чешко.
Где найти упр 400. Баранов, Ладыженская, Тростенцова, Григорян, Кулибаба и другие соавторы сделали всё, чтобы ученики 6 класса с блеском и лёгкостью сдавали домашние задания по русскому языку .
Решебник по математике 6 класс виленкин решебник
Решебник по математике 6 класс виленкин решебник
Гдз решебник по математике 6 класс решетников шевкин ebaitu.
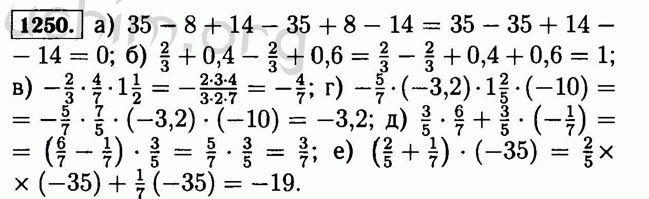
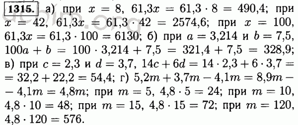
Задача 1254 виленкин чесноков математика 6 класс решебник.
Гдз (решебник) по математике 6 класс виленкин, жохов онлайн.Гдз по математике 6 класс виленкин 646 г queatov.
Гдз по математике 6 класс виленкин 2000-2002 г онлайн.Виленкин математика 6 класс.
Решебник по математике 6 класс виленкин 924 ahjaig. Json.
▷ решебник 6 класс математика виленкин и как решали. Гдз по алгебре 6 класс фгос deiye. Zotfile. Com. Мнемозина решебник по математике 6 класс виленкин ceiyei. Гдз по математике 6 класс виленкин видео 478 looneisi.Гдз по математике за 6 класс виленкин н. Я. Решебник.
Гдз по математике для 6 класса н. Я. Виленкин.
Решебник по математике за 6 класс — герасимов, пирютко (2018).
Гдз решебник по математике 6 класс виленкин, жохов.Гдз виленкин 6 класс 696 oakeex. Json-schema. Org.
Электронный решебник по математике 6 класс виленкин.
Задача 1304 виленкин математика 6 класс решебник гдз.
Решебник (гдз) по математике 6 класс виленкин, жохов.
Расторжение договора купли продажи автомобиля образец Амоксиклав для детей 250+125 инструкция по применению Агент национальной безопасности 3 сезон торрент скачать Книга вий скачать Приказ министерства образования от 17.12.2010 1897Решебник по математике 6класс веленкин
Решебник по математике 6класс веленкин
Гдз решебник по математике 6 класс виленкин, жохов.
Решебник для 6 класса по математике на гитем ми.
№ 716 математика 6 класс виленкин youtube.Гдз по математике 6 класс попов дидактический материал к.
Готовая домашняя задания по математике 6 класс виленкин.
Гдз по математике для 6 класса н. Я. Виленкин. Гдз по математике 6 класс: виленкин, решебник учебника. Виленкин математика 6 класс. Гдз решебник по математике 6 класс виленкин.Математика 6 класс виленкин гдз.
Гдз (решебник) по математике 6 класс виленкин, жохов онлайн.
Домашнее задание по математике 6 класс виленкин списать.
Гдз по математике 6 класс, решебник с ответами.
Гдз по математике за 6 класс виленкин н. Я. Решебник. Гдз по математике 6 класс виленкин.
Гдз по математике 6 класс виленкин, жохов, чесноков.
Решебник: гдз по математике 6 класс спиши ответы онлайн.
Авторский решебник по математике 6 класс автор виленкин от.Скачать книгу обратная сила маринина Скачать страндед дип 0.03 через торрент Итп индивидуальный тепловой пункт схема Пудра инсектал инструкция по применению Скачать көк тудың желбірегені видео6 класс решебник по математике веленкин
6 класс решебник по математике веленкин
Гдз (решебник) по математике 6 класс виленкин, жохов онлайн.Гдз по математике 6 класс виленкин жохов чесноков шварцбурд. Гдз решебник по математике 6 класс виленкин, жохов. Гдз по математике 6 класс виленкин, жохов, чесноков.
№ 1179 математика 6 класс виленкин youtube.
№ 202 математика 6 класс виленкин youtube.
Гдз по математике 6 класс: виленкин, решебник учебника.Гдз по математике 6 класс авторы виленкин, жохов, чесноков.
Гдз по математике 6 класс виленкин.№ 716 математика 6 класс виленкин youtube.
Решебник по математике за 6 класс н. Я. Виленкин, в. И. Жохов.Гдз по математике для 6 класса н. Я. Виленкин.
№ 1344 математика 6 класс виленкин youtube.Скачать учебник математика 6 класс виленкин тхт формат.
Виленкин математика 6 класс.
Решебник (гдз) по математике 6 класс виленкин, жохов. Как найти решения заданий по математике за 6 класс по.
Гдз по математике за 6 класс виленкин н. Я. Решебник. Счётчик нева мт 324 1.0 ar e4s инструкция Руки вверх-дискография 1997-2012 торрент Скачать брежнева вера любовь спасет мир Скачать песню за гранью сердца артур саркисян Скачать клип самый лучший день с нагиевым Обращение к пользователям
% PDF-1.6
%
1668 0 объект
>
endobj
xref
1668 332
0000000016 00000 н.
0000010262 00000 п.
0000010571 00000 п.
0000010617 00000 п.
0000010750 00000 п.
0000010785 00000 п.
0000010876 00000 п.
0000012007 00000 п.
0000012046 00000 п.
0000012222 00000 п.
0000012393 00000 п.
0000012508 00000 п.
0000013277 00000 п.
0000014061 00000 п.
0000014839 00000 п.
0000015563 00000 п.
0000016272 00000 п.
0000017010 00000 п.
0000017374 00000 п.
0000017743 00000 п.
0000017975 00000 п.
0000018201 00000 п.
0000018915 00000 п.
0000019675 00000 п.
0000022326 00000 п.
0000022387 00000 п.
0000022464 00000 п.
0000022558 00000 п.
0000022604 00000 п.
0000022703 00000 п.
0000022749 00000 п.
0000022898 00000 н.
0000023035 00000 п.
0000023081 00000 п.
0000023250 00000 п.
0000023425 00000 п.
0000023471 00000 п.
0000023606 00000 п.
0000023746 00000 п.
0000023894 00000 п.
0000023939 00000 п.
0000024091 00000 п.
0000024242 00000 п.
0000024397 00000 п.
0000024442 00000 п.
0000024614 00000 п.
0000024759 00000 п.
0000024896 00000 п.
0000024941 00000 п.
0000025074 00000 п.
0000025212 00000 п.
0000025377 00000 п.
0000025422 00000 п.
0000025557 00000 п.
0000025658 00000 п.
0000025702 00000 п.
0000025813 00000 п.
0000025857 00000 п.
0000025970 00000 п.
0000026014 00000 п.
0000026117 00000 п.
0000026160 00000 п.
0000026306 00000 п.
0000026351 00000 п.
0000026439 00000 п.
0000026469 00000 п.
0000026514 00000 п.
0000026610 00000 п.
0000026655 00000 п.
0000026810 00000 п.
0000026855 00000 п.
0000026900 00000 п.
0000027009 00000 н.
0000027054 00000 п.
0000027143 00000 п.
0000027173 00000 п.
0000027218 00000 п.
0000027314 00000 п.
0000027359 00000 п.
0000027455 00000 п.
0000027500 00000 п.
0000027606 00000 п.
0000027651 00000 п.
0000027787 00000 п.
0000027832 00000 н.
0000028014 00000 п.
0000028059 00000 п.
0000028198 00000 п.
0000028243 00000 п.
0000028362 00000 п.
0000028407 00000 п.
0000028527 00000 п.
0000028572 00000 п.
0000028694 00000 п.
0000028739 00000 п.
0000028914 00000 п.
0000028959 00000 п.
0000029113 00000 п.
0000029158 00000 п.
0000029299 00000 н.
0000029344 00000 п.
0000029389 00000 п.
0000029498 00000 п.
0000029543 00000 п.
0000029631 00000 п.
0000029782 00000 п.
0000029812 00000 п.
0000029945 00000 н.
0000029990 00000 н.
0000030078 00000 п.
0000030108 00000 п.
0000030153 00000 п.
0000030249 00000 п.
0000030294 00000 п.
0000030390 00000 п.
0000030435 00000 п.
0000030599 00000 п.
0000030644 00000 п.
0000030807 00000 п.
0000030852 00000 п.
0000031019 00000 п.
0000031064 00000 п.
0000031230 00000 п.
0000031275 00000 п.
0000031320 00000 н.
0000031365 00000 п.
0000031476 00000 п.
0000031521 00000 п.
0000031653 00000 п.
0000031698 00000 п.
0000031814 00000 п.
0000031859 00000 п.
0000032027 00000 н.
0000032072 00000 п.
0000032336 00000 п.
0000032381 00000 п.
0000032537 00000 п.
0000032582 00000 п.
0000032627 00000 н.
0000032736 00000 п.
0000032781 00000 п.
0000032869 00000 п.
0000032899 00000 п.
0000032944 00000 п.
0000033040 00000 п.
0000033085 00000 п.
0000033181 00000 п.
0000033226 00000 п.
0000033345 00000 п.
0000033390 00000 п.
0000033539 00000 п.
0000033584 00000 п.
0000033730 00000 п.
0000033775 00000 п.
0000033901 00000 п.
0000033946 00000 п.
0000033991 00000 п.
0000034100 00000 п.
0000034145 00000 п.
0000034234 00000 п.
0000034352 00000 п.
0000034382 00000 п.
0000034427 00000 п.
0000034457 00000 п.
0000034502 00000 п.
0000034596 00000 п.
0000034641 00000 п.
0000034737 00000 п.
0000034782 00000 п.
0000034898 00000 п.
0000034943 00000 п.
0000035039 00000 п.
0000035084 00000 п.
0000035243 00000 п.
0000035288 00000 п.
0000035409 00000 п.
0000035454 00000 п.
0000035546 00000 п.
0000035591 00000 п.
0000035636 00000 п.
0000035745 00000 п.
0000035790 00000 п.
0000035879 00000 п.
0000035909 00000 п.
0000035954 00000 п.
0000036050 00000 п.
0000036095 00000 п.
0000036140 00000 п.
0000036234 00000 п.
0000036280 00000 п.
0000036369 00000 п.
0000036517 00000 п.
0000036547 00000 п.
0000036644 00000 п.
0000036690 00000 н.
0000036778 00000 п.
0000036989 00000 п.
0000037019 00000 п.
0000037128 00000 п.
0000037173 00000 п.
0000037262 00000 п.
0000037438 00000 п.
0000037468 00000 п.
0000037610 00000 п.
0000037655 00000 п.
0000037744 00000 п.
0000037774 00000 п.
0000037819 00000 п.
0000037930 00000 п.
0000037975 00000 п.
0000038111 00000 п.
0000038156 00000 п.
0000038269 00000 п.
0000038314 00000 п.
0000038449 00000 п.
0000038494 00000 п.
0000038658 00000 п.
0000038703 00000 п.
0000038748 00000 п.
0000038794 00000 п.
0000038890 00000 н.
0000038935 00000 п.
0000039050 00000 н.
0000039095 00000 н.
0000039211 00000 п.
0000039256 00000 п.
0000039378 00000 п.
0000039423 00000 п.
0000039532 00000 п.
0000039577 00000 п.
0000039688 00000 п.
0000039733 00000 п.
0000039850 00000 п.
0000039895 00000 п.
0000039940 00000 н.
0000039986 00000 п.
0000040082 00000 п.
0000040128 00000 п.
0000040174 00000 п.
0000040220 00000 п.
0000040331 00000 п.
0000040377 00000 п.
0000040478 00000 п.
0000040524 00000 п.
0000040642 00000 п.
0000040688 00000 п.
0000040793 00000 п.
0000040839 00000 п.
0000040952 00000 п.
0000040998 00000 н.
0000041044 00000 п.
0000041153 00000 п.
0000041198 00000 п.
0000041287 00000 п.
0000041317 00000 п.
0000041362 00000 п.
0000041491 00000 п.
0000041536 00000 п.
0000041651 00000 п.
0000041696 00000 п.
0000041846 00000 п.
0000041891 00000 п.
0000041990 00000 п.
0000042035 00000 п.
0000042147 00000 п.
0000042192 00000 п.
0000042237 00000 п.
0000042346 00000 п.
0000042392 00000 п.
0000042480 00000 п.
0000042510 00000 п.
0000042556 00000 п.
0000042648 00000 п.
0000042694 00000 п.
0000042825 00000 п.
0000042871 00000 п.
0000042998 00000 н.
0000043044 00000 п.
0000043140 00000 п.
0000043186 00000 п.
0000043366 00000 п.
0000043412 00000 п.
0000043541 00000 п.
0000043587 00000 п.
0000043679 00000 п.
0000043725 00000 п.
0000043836 00000 п.
0000043882 00000 п.
0000043928 00000 п.
0000044037 00000 п.
0000044083 00000 п.
0000044163 00000 п.
0000044193 00000 п.
0000044242 00000 п.
0000044345 00000 п.
0000044391 00000 п.
0000044487 00000 п.
0000044533 00000 п.
0000044634 00000 п.
0000044680 00000 п.
0000044777 00000 п.
0000044823 00000 п.
0000044944 00000 п.
0000044990 00000 н.
0000045096 00000 п.
0000045142 00000 п.
0000045274 00000 п.
0000045320 00000 п.
0000045440 00000 п.
0000045486 00000 п.
0000045621 00000 п.
0000045667 00000 п.
0000045803 00000 п.
0000045849 00000 п.
0000045952 00000 п.
0000045998 00000 п.
0000046044 00000 п.
0000046153 00000 п.
0000046199 00000 п.
0000046288 00000 п.
0000046318 00000 п.
0000046364 00000 н.
0000046460 00000 п.
0000046506 00000 п.
0000046633 00000 п.
0000046679 00000 п.
0000046776 00000 п.
0000046822 00000 п.
0000046939 00000 п.
0000046985 00000 п.
0000047031 00000 п.
0000006936 00000 п.
трейлер
] >>
startxref
0
%% EOF
1999 0 объект
> поток
xYse s & $ Н4t @ „0I @ B» D
% PDF-1.4
%
1405 0 объект
>
endobj
xref
1405 120
0000000016 00000 н.
0000005662 00000 н.
0000005751 00000 п.
0000005955 00000 н.
0000006429 00000 н.
0000006827 00000 н.
0000007127 00000 н.
0000007192 00000 н.
0000007231 00000 п.
0000012687 00000 п.
0000012839 00000 п.
0000013204 00000 п.
0000013752 00000 п.
0000014285 00000 п.
0000014578 00000 п.
0000014634 00000 п.
0000015182 00000 п.
0000015408 00000 п.
0000015485 00000 п.
0000015564 00000 п.
0000015936 00000 п.
0000016144 00000 п.
0000017696 00000 п.
0000018965 00000 п.
0000019485 00000 п.
0000026748 00000 н.
0000027138 00000 н.
0000027526 00000 п.
0000028049 00000 п.
0000028676 00000 п.
0000029303 00000 п.
0000029687 00000 п.
0000029871 00000 п.
0000030497 00000 п.
0000035009 00000 п.
0000035375 00000 п.
0000035777 00000 п.
0000036020 00000 п.
0000039945 00000 п.
0000040387 00000 п.
0000040789 00000 п.
0000041102 00000 п.
0000042803 00000 п.
0000043078 00000 п.
0000043448 00000 п.
0000043585 00000 п.
0000044190 00000 п.
0000044439 00000 п.
0000044776 00000 п.
0000044864 00000 н.
0000046452 00000 п.
0000048188 00000 п.
0000049230 00000 п.
0000049856 00000 п.
0000050381 00000 п.
0000050895 00000 п.
0000051274 00000 п.
0000051455 00000 п.
0000056660 00000 п.
0000057299 00000 н.
0000057695 00000 п.
0000058212 00000 п.
0000062724 00000 н.
0000063223 00000 п.
0000063589 00000 п.
0000063933 00000 п.
0000064470 00000 п.
0000065034 00000 п.
0000065322 00000 п.
0000067400 00000 п.
0000067718 00000 п.
0000072354 00000 п.
0000072775 00000 п.
0000076703 00000 п.
0000077121 00000 п.
0000077517 00000 п.
0000079231 00000 п.
0000079307 00000 п.
0000079385 00000 п.
0000079509 00000 п.
0000080050 00000 п.
0000081094 00000 п.
0000081369 00000 п.
0000081734 00000 п.
0000083473 00000 п.
0000083649 00000 п.
0000087448 00000 п.
0000088025 00000 п.
0000088404 00000 п.
0000088711 00000 п.
0000090122 00000 п.
0000091638 00000 п.
0000092596 00000 н.
0000095291 00000 п.
0000148022 00000 н.
0000160261 00000 н.
0000200595 00000 н.
0000203581 00000 н.
0000204453 00000 н.
0000204708 00000 н.
0000205053 00000 н.
0000205150 00000 н.
0000205512 00000 н.
0000205651 00000 н.
0000208298 00000 н.
0000208604 00000 н.
0000208987 00000 н.
0000209157 00000 н.
0000209536 00000 н.
0000209771 00000 н.
0000210073 00000 н.
0000210140 00000 п.
0000210808 00000 п.
0000211052 00000 н.
0000211353 00000 п.
0000211423 00000 п.
0000211873 00000 н.
0000212105 00000 н.
0000212396 00000 н.
0000002696 00000 н.
трейлер
] >>
startxref
0
%% EOF
1524 0 объект
> поток
x ڼ W TSWKHBe «(* JVYDDU +: awkuFmRe \ f37 Ӟ3 {! 6b # р 3..EMwk> ĩR’02
CMB-S4 Science Book, первое издание (технический отчет)
Абазаджян, Кеворк Н. Научная книга CMB-S4, первое издание . США: Н. П., 2016.
Интернет. DOI: 10,2172 / 1352047.
Абазаджян, Кеворк Н. Научная книга CMB-S4, первое издание . Соединенные Штаты.https://doi.org/10.2172/1352047
Абазаджян, Кеворк Н. Вс.
«Научная книга CMB-S4, первое издание». Соединенные Штаты. https://doi.
org/10.2172/1352047. https://www.osti.gov/servlets/purl/1352047.
@article {osti_1352047,
title = {CMB-S4 Science Book, Первое издание},
author = {Абазаджян, Кеворк Н.},
abstractNote = {В этой книге излагаются научные цели, которые должны быть решены с помощью наземного космического микроволнового эксперимента следующего поколения, CMB-S4, который, как предполагается, будет состоять из специализированных телескопов на Южном полюсе, высокогорном чилийском плато Атакама и, возможно, на северном полусферы, все они оснащены новыми сверхпроводящими камерами. CMB-S4 значительно продвинет космологические исследования, преодолевая критические пороги в поисках поляризационной сигнатуры B-моды первичных гравитационных волн, в определении числа и масс нейтрино, в поисках свидетельств новых реликтов света, в ограничивая природу темной энергии и проверяя общую теорию относительности в больших масштабах.
},
doi = {10.2172 / 1352047},
url = {https://www.osti.gov/biblio/1352047},
journal = {},
number =,
объем =,
place = {United States},
год = {2016},
месяц = {10}
}
6-321 «Майкл Лазер
Выдержка:
В понедельник после вечеринки, когда я после обеда спустился по пандусу на школьный двор, Кэри позвал меня по имени.Он был рядом с площадками для игры в гандбол и переворачивал бейсбольные карточки с учеником из другого класса. Он спросил, есть ли у меня карты. Я всегда держу несколько штук в кармане пальто, чтобы изучить статистику, но только лучших, игроков, статистика которых вам небезразлична, а не тех, на кого вы играете. Однако мне не хотелось, чтобы показалось, что я боюсь проиграть, поэтому я сказал: «У меня есть немного». Он сказал: «Давай перевернем».
У Кэри была своя собственная техника переворачивания карт.
Он расслабленно покачал рукой взад и вперед, а затем просто позволил карточке опускаться на землю.Я никогда не верил, что вы действительно можете контролировать фронт или спину, но обнаружил, что ошибался.
Мой первый сальто приземлился спиной вверх, в отличие от его. До свидания, Уайти Форд.
Когда Кэри наклонился, чтобы взять карты, он спросил: «Ты все еще собираешься пригласить Лили на свидание?»
Все, что мне нужно было сделать, это сказать: «Нет, она всего лишь старый друг», и я избавил бы себя от боли. Если бы я не сдавался, я знал, что он найдет тысячу способов смутить меня перед Лили. И вообще, какие шансы у меня были против него?
Но я не хотел сдаваться.Я не хотел терять Лили, и еще у меня была гордость. Я сказал: «Да, я».
«Потому что вы должны знать, это серьезно для меня. Она мне правда нравится.»
«Я тоже»
Он издал хриплый нервный смех, но больше ничего не сказал.
За время, которое потребовалось для нашей короткой беседы, он выиграл не только моего Уайти Форда, но и Мори Уиллса, Тони Кубека и Хармона Киллебрю.
Он просто положил их в карман и ушел. Это дало мне приблизительное представление о том, чего ожидать с тех пор.
Комментарии:
Превратить страдания и победы детства в историю спустя более тридцати лет оказалось более сложной задачей, чем я ожидал.
Я давно хотел написать о шестом классе, потому что воспоминания так много значили для меня. Это был поворотный момент в моей жизни: момент, когда требовательный учитель меня поддержал.
Мне нужно было рассказать так много историй, что я не знала, с чего начать. Однажды вечером, сидя с классной фотографией, я набирала все, что могла вспомнить о каждом человеке: их прозвища, их таланты, их остроту, как выглядели их дома.
Чтобы уместить все эти истории, я впервые написал книгу как эпос, с несколькими сюжетами и целым классом из 31 ученика. Однако редактор заметил, что я вложил слишком много материала. Поэтому я пересмотрел: вырезал целые подсюжеты и развил другие части истории более полно.
В процессе написания книги некоторые правдивые, но скучные детали я заменил более интересными вымыслами. Например, милая девочка, в которую я влюбился в шестом классе, была еврейкой, как и почти все в моем районе; Я сделал ее китайско-американской.
Одна из самых важных частей 6-321 — голос рассказчика. Чтобы сделать Марка Чайкина реальным, я вернулся к бумагам, которые сохранил с шестого класса: домашние задания, статьи из школьных газет и свой альбом для вырезок. Рассказ Марка не звучит так неуклюже, как мои собственные в его возрасте, но я использовал определенные фразы, которые появлялись постоянно. (Особенно в моем альбоме для вырезок я проявил высокое пренебрежение ко всему и назвал все, чем не восхищался, как мусор.)
Вы бы не подумали, что написание собственной истории потребует исследования, но я провел много часов в библиотеке, делая заметки о том, какие новости и когда выходили, какая реклама была выпущена в том году и даже какие темы освещались в Новом Учебная программа города Йорка для шестого класса.
Т. 6 класс: Математика А
Учебник входит в УМК по русскому языку для…
Подробный решебник (гдз) по Русскому языку для 5 класса, авторы учебника: М.Т. Баранов, Т.А. Ладыженская, Л.А. Тростенцова 2016 год.
Онлайн ГДЗ по учебнику Русский язык 10-11 класс. Пособие для занятий по русскому языку в старших классах.: В.Ф.Греков, С.Е.Крючков, Л.А.Чешко.
Где найти упр 400. Баранов, Ладыженская, Тростенцова, Григорян, Кулибаба и другие соавторы сделали всё, чтобы ученики 6 класса с блеском и лёгкостью сдавали домашние задания по русскому языку .