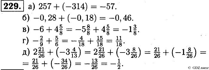
Номер №229 — ГДЗ по Математике 5 класс: Виленкин Н.Я.
войтирегистрация
- Ответкин
- Решебники
- 5 класс
- Математика
- Виленкин
- Номер №229
НАЗАД К СОДЕРЖАНИЮ
2013г.ВыбранВыбрать ГДЗ (готовое домашние задание из решебника) на Номер №229 по учебнику Математика. 5 класс : учебник для учащихся общеобразовательных учреждений / Н. Я. Виленкин, В. И. Жохов, А. С. Чесноков, С. И. Шварцбурд. — 31 издание 2013г.
2019г.ВыбранВыбрать
ГДЗ (готовое домашние задание из решебника) на Номер №229 по учебнику Математика. 5 класс : учебник для учащихся общеобразовательных организаций / Н. Я. Виленкин, В. И. Жохов, А.
С. Чесноков, С. И. Шварцбурд. — 37 издание 2019г.
Условие 20132019г.
Cменить на 2013 г.
Cменить на 2019 г.
Школьники трёх классов помогали в уборке картофеля. Один класс собрал 230 кг картофеля, другой — на 20 кг больше, чем первый, но оба класса собрали вместе на 40 кг меньше, чем третий класс. Сколько килограммов картофеля было собрано тремя классами?
Школьники трёх классов помогали в уборке картофеля. Один класс собрал 230 кг картофеля, другой — на 20 кг больше, чем первый, но оба класса собрали вместе на 40 кг меньше, чем третий класс. Сколько килограммов картофеля было собрано тремя классами?
Решение 1
Решение 1
Решение 2
Решение 2
Решение 3
Решение 3
ГДЗ по Математике 5 класс: Виленкин Н.
Я.
Издатель: Виленкин Н.Я. Жохов В.И. Чесноков А.С. Шварцбурд С.И. 2013/2019г.
ГДЗ по Математике 5 класс: Мерзляк А.Г.
Издатель: А.Г. Мерзляк, В.Б. Полонский, М.С. Якир. 2014-2018г.
ГДЗ по Математике 5 класс: Никольский С.М.
Издатель: С.М. Никольский, М.К, Потапов, Н.Н. Решетников А.В. Шевкин. 2015-2021г
ГДЗ по Математике 5 класс: Дорофеев Г.В.
Издатель: Г.В. Дорофеев, И.Ф. Шарыгин, С.Б. Суворова. 2017-2019г.
ГДЗ по Математике 5 класс: Зубарева, Мордкович
Издатель: И.И. Зубарева, А.Г. Мордкович. 2013-2019г.
Сообщить об ошибке
Выберите тип ошибки:
Решено неверно
Опечатка
Плохое качество картинки
Опишите подробнее
в каком месте ошибка
Ваше сообщение отправлено
и скоро будет рассмотрено
ОК, СПАСИБО
[email protected]
© OTVETKIN.
INFO
Классы
Предметы
Математика Алдамуратова 5 класс 2017 Упражнение 229 ГДЗ(дүж) решебник KZGDZ.COM
Глава II. ДЕЛИМОСТЬ НАТУРАЛЬНЫХ ЧИСЕЛ 2.5. Признаки делимости натуральных чисел на 3 и на 9 Упражнение 229
← Предыдущий Следующий →
Глава I. НАТУРАЛЬНЫЕ ЧИСЛА И НУЛЬ
1.1. Натуральные числа и нуль
Упражнение
134567891011121314151617
1.2. Координатный луч. Изображение натуральных чисел и числа нуль на координатном луче
Упражнение
18192021222324252627
1.3. Сравнение натуральных чисел. Двойное неравенство
Упражнение
282930313233343536373839
1.4. Сложение и вычитание натуральных чисел
Упражнение
4041424344454647484950
1.
5. Умножение и деление натуральных чисел. Основное свойство частногоУпражнение
5152535455565758596061
1.6. Свойства арифметических действий
Упражнение
6263646566676869707172
1.7. Арифметические действия над натуральными числами
Упражнение
73747576777879
1.8. Числовые выражения. Буквенные выражения
Упражнение
80
81828384858687888990
1.9. Упрощение выражений
Упражнение
919293949596979899100101102103
1.10. Уравнение
Упражнение
104105106107108109110111112113114115116117118119120121
1.11. Формулы. Вычисление по формулам
Упражнение
122123124125126127128129130131132133134135136137138139140
1.
12. Числовые последовательностиУпражнение
141142143144145146147148149150
Упражнения для повторения главы I
Упражнение
151152153154155156157158159160
161162163164165166
2.1. Делители натурального числа. Кратные натурального числа
Упражнение
167168169170171172173174175176177178179180181182183184185186187188
Глава II. ДЕЛИМОСТЬ НАТУРАЛЬНЫХ ЧИСЕЛ
2.2. Простые числа. Составные числа
Упражнение
189190191192193194195196197198199200
2.3. Основные свойства делимости
Упражнение
201202203204205206207208209210211212213214
2.4. Признаки делимости натуральных чисел на 2, 5 и 10
Упражнение
215216217218219220221222223224225226227
2.5. Признаки делимости натуральных чисел на 3 и на 9
Упражнение
228229230231232233234235236237238239
2.
6. Степень числаУпражнение
240
241242243244245246247248249250251252253254255256257258259260261262
2.7. Разложение составных чисел на простые множители
Упражнение
263264265266267268269270271272273274275
2.8. Наибольший общий делитель. Взаимно простые числа.
Упражнение
276277278279280281282283284285286287288290291292293294295
2.9. Наименьшее общее кратное
Упражнение
296297298299300301302303304305306307308309310311312313314315
Упражнения для повторения главы II
Упражнение
316317318319320321
322323324325326327
2.10. Движение по реке
Упражнение
328329330331332333334335336337338339340341342343344345346347348
Глава III.
ОБЫКНОВЕННЫЕ ДРОБИ И ДЕЙСТВИЯ НАД НИМИ3.1. Обыкновенная дробь. Чтение и запись обыкновенных дробей
Упражнение
349350351352353354355356357358359360361362363364365366367368369370371373374
3.2. Основное свойство дроби. Сокращение дробей
Упражнение
375376377378379380381382383384385386387388389390391392393394395
3.3. Правильные дроби. Неправильные дроби
Упражнение
396397398399400401402
403404405406407408409410411412413414
3.4. Смешанные числа
Упражнение
415416417418419420421422423424425426427428429430431432433434435436
3.5. Изображение обыкновенных дробей и смешанных чисел на координатном луче
Упражнение
437438439440441442443444445446447448449450451452453454455456
3.6. Приведение обыкновенных дробей и смешанных чисел к наименьшему общему знаменателю
Упражнение
457458459460461462463464465466467468469470471472473474475476477
3.
7. Сравнение обыкновенных дробей. Сравнение смешанных чиселУпражнение
478479480481482
483484485486487488489490491492493494495496497498499
3.8. Сложение и вычитание обыкновенных дробей
Упражнение
500501502503504506507508509510511512513514515516517518519520521522523524525526527528529530531
3.9. Сложение и вычитание смешанных чисел
Упражнение
532533534535536537538539540541542543544545546547548549550551552553554555556557558559
3.10. Аликвотные дроби
Упражнение
560561562563
564565566567568569570571572
3.11. Умножение обыкновенных дробей и смешанных чисел
Упражнение
573574575576577578579580581582583584585586587588589590591592593594595596597598599600601602
3.12.
Взаимно обратные числаУпражнение
603604605
3.13. Деление обыкновенных дробей и смешанных чисел
Упражнение
606607608609610611612613614615616617618619620621622623624625626627628629630631632633634635636637638639640641642643
644645646647648649650651652653654655656657658659660661662663664665
3.14. Нахождение дроби от числа. Нахождение числа по его дроби
Упражнение
666667668669670671672673674675676677678679680681682683684685686687688689690691692693
3.15. Задачи на совместную работу
Упражнение
694695696697698699700701702703704705706707708709710711712713714
Глава IV. ДЕСЯТИЧНЫЕ ДРОБИ. ДЕЙСТВИЯ НАД ДЕСЯТИЧНЫМИ ДРОБЯМИ
4.1. Десятичная дробь. Чтение и запись десятичных дробей.
Упражнение
715716717718719720721722723
724725726727728729730731732733734
4.
2. Перевод десятичной дроби в обыкновенную, обыкновенной дроби — в десятичнуюУпражнение
735736737738739740741742743744745746747748749750751752753754
4.3. Изображение десятичной дроби на координатном луче. Сравнение десятичных дробей
Упражнение
755756757758759760761762763764765766767768769770771772773774775776777
4.4. Сложение и вычитание десятичных дробей
Упражнение
778779780781782783784785786787788789790791792793794795796797798799800801802803
804805806807808809810
4.5. Умножение десятичной дроби на натуральное число
Упражнение
811812813814815816817818819820821822823824825826827828829830831832833834835836837838839840
4.6. Умножение десятичных дробей
Упражнение
841842843844845846847848849850851852853854855856857858859860861862863864865866867868869870871872
4.
7. Деление десятичной дроби на натуральное числоУпражнение
873874875876877878879880881882883
884885886887888889890891892893894895896897898899900901902903
4.8. Деление десятичной дроби на десятичную дробь
Упражнение
904905906907908909910911912913914915916917918919920921922923924925926927928929930931932933934
4.9. Умножение и деление десятичной дроби на 10, 100, 1000 и на 0,1; 0,01; 0,001;
Упражнение
935936937938939940941942943944945946947948949950951952953954955
4.10. Арифметические действия над обыкновенными и десятичными дробями.
Упражнение
956957958959960961962963
964965966967968969970971972973974975976977978979980981
4.11. Округление десятичных дробей
Упражнение
98298398498598698798898999099199299399499599699799899910001001100210031004
4.
12. Числовые последовательности, составленные из дробей.Упражнение
1005100610071008100910101011101210131014
Глава V. МНОЖЕСТВА
5.1. Множество. Элементы множества. Изображения множеств
Упражнение
101510161017101810191020102110221023102410251026102710281029103010311032
5.2. Подмножество
Упражнение
10331034103510361037103810391040104110421043
1044104510461047104810491050
5.3. Пересечение множеств. Объединение множеств
Упражнение
105110521053105410551056105710581059106010611062106310641065106610671068
5.4. Задачи на множества
Упражнение
1069107010711072107310741075107610771078107910801081108210831084
Глава VI. ПРОЦЕНТЫ
6.1. Проценты
Упражнение
10851086108710881089109010911092109310941095109610971098109911001101110211031104110511061107110811091110111111121113
6.
2. Нахождение процентов от данного числаУпражнение
1114111511161117111811191120112111221123
112411251126112711281129113011311132113311341135113611371138113911401141
6.3. Нахождение числа по его процентам
Упражнение
1142114311441145114611471148114911501151115211531154115511561157115811591160116111621163116411651166116711681169
Упражнения для повторения главы VI.
Упражнение
117011711172117311741175117611771178117911801181118211831184
Глава VII. УГЛЫ. МНОГОУГОЛЬНИКИ
7.1. Угол. Градусная мера угла Краткие сведения о градусе
Упражнение
118511861187118811891190119111921193119411951196119711981199
7.2. Транспортир. Измерение и построение углов
Упражнение
1200120112021203
120412051206120712081209121012111212121312141215
7.
3. Сравнение углов. Виды углов. Чертежный треугольникУпражнение
121612171218121912201221122212231224122512261227122812291230
7.4. Многоугольники
Упражнение
12311232123312341235123612371238123912401241124212431244124512461247
Упражнения для повторения главы VII
Упражнение
1248124912501251125212531254
Глава VIII. ДИАГРАММЫ
8.1. Окружность. Круг
Упражнение
125512561257125812591260126112621263126412651266126712681269127012711272127312741275
8.2 Круговой сектор
Упражнение
12761277127812791280128112821283
128412851286128712881289
8.3.Способы представления статистических данных. Столбчатые, линейные, круговые и графические диаграммы. Таблицы
Упражнение
129012911292129312941295129612971298129913001301
Глава IX.
РАЗВЕРТКИ ПРОСТРАНСТВЕННЫХ ФИГУР9.1. Прямоугольный параллелепипед и его развертка
Упражнение
13021303130413051306130713081309131013111312
9.2. Задачи на разрезание фигур Задачи на склеивание фигур
Упражнение
1313131413151316
Упражнения для повторения пройденного за год
1. Натуральные числа и нуль
Упражнение
13171318131913201321132213231324132513261327
2. Делимость натуральных чисел
Упражнение
1328132913301331133213331334
3. Обыкновенные дроби и действия над ними
Упражнение
133513361337133813391340134113421343
4. Десятичные дроби и действия над ними
Упражнение
1344134513461347134813491350
5. Множества
Упражнение
1351135213531354
6.
ПроцентыУпражнение
13551356135713581359
7. Углы. Многоугольники
Упражнение
136013611362
8. Диаграммы. Развертка прямоугольного параллелепипеда
Упражнение
1363
13641365
Множители числа 229 — Найти простые факторизации/Множители числа 229 229) и его простые множители равны 229.
- Все множители числа 229: 1 и 229
- Отрицательные коэффициенты 229: -1 и -229
- Простые множители числа 229: 229
- Прост-факторизация числа 229: 229 1
- Сумма коэффициентов 229: 230
| 1. | Какие множители числа 229? |
| 2. | Коэффициенты 229 с помощью простой факторизации |
3.![]() | Коэффициенты 229 в парах |
| 4. | Часто задаваемые вопросы о факторах 229 |
Что такое множители числа 229?
Делители числа 229 — это пары тех чисел, произведения которых дают 229. Эти факторы являются либо простыми числами, либо составными числами.
Как найти делители числа 229?
Чтобы найти делители числа 229, нам нужно найти список чисел, на которые число 229 делится без остатка.
- 229/1 = 229; следовательно, 1 является коэффициентом 229.
- 229/229 = 1; следовательно, 229 — это коэффициент 229.
Следовательно, множители 229 равны 1 229.
☛ Также проверьте:
- Коэффициенты 29 — Коэффициенты 29 равны 1, 29
- Множители 39 — Множители 39 равны 1, 3, 13, 39
- Коэффициенты 52 — Коэффициенты 52 равны 1, 2, 4, 13, 26, 52
- Коэффициенты 15 — Коэффициенты 15 равны 1, 3, 5, 15
- Множители 63 — Множители 63 равны 1, 3, 7, 9, 21, 63
Факторизация числа 229
Число 229 простое, поэтому его делителями являются только числа 1 и 229.
сам. Следовательно, у него есть только один простой делитель, которым является само число, т. е. 229.
Таким образом, разложение числа 229 на простые множители можно записать как 229 1 , где 229 — простое число.
Множители числа 229 в парах
Парные множители числа 229 — это пары чисел, которые при умножении дают произведение 229. Множители числа 229 в парах:
- 1 × 2229 = (1,229)
Отрицательные парные множители числа 229:
- -1 × -229 = (-1, -229)
ПРИМЕЧАНИЕ: Если (a, b) является парным множителем числа, то (b, a) также является парным множителем этого числа.
Коэффициенты 229 решенных примеров
Пример 1: Сколько множителей существует для числа 229?
Решение:
Делители числа 229 равны 1, 229. Следовательно, число 229 имеет 2 делителя.
Пример 2.
Найдите наименьшее общее кратное (НОК) и наибольший общий делитель (НОД) числа 229и 104. Решение:
Делители 229 равны 1, 229 и множители 104 равны 1, 2, 4, 8, 13, 26, 52, 104.
Следовательно, наименьшее общее кратное ( LCM) 229 и 104 равен 23816, а наибольший общий делитель (GCF) 229 и 104 равен 1.
Пример 3. Найдите, являются ли 196 и 229 делителями 229.
Решение:
При делении 229 на 196 остается остаток. Поэтому число 196 не является делителем 229. Все числа, кроме 196, являются делителями 229.
Пример 4: Найдите произведение всех множителей числа 229.
Решение:
Поскольку множители числа 229 равны 1 229. Следовательно, произведение множителей = 1 × 229 = 229,
перейти к слайдуперейти к слайдуперейти к слайдуперейти к слайду
Готовы увидеть мир глазами математика?
Математика лежит в основе всего, что мы делаем.
Наслаждайтесь решением реальных математических задач на живых уроках и станьте экспертом во всем.
Записаться на бесплатный пробный урок
перейти к слайдуперейти к слайдуперейти к слайдуперейти к слайдуперейти к слайду
Часто задаваемые вопросы о факторах числа 229
Что такое 9 факторов числа 22?
Множители числа 229 равны 1 229, а его отрицательные множители равны -1, -229.
Какова сумма множителей числа 229?
Поскольку все делители числа 229 равны 1, 229, следовательно, сумма его делителей равна 1 + 229 = 230.
Каковы простые делители числа 229??
Простой делитель числа 229 равен 229.
Каков наибольший общий делитель чисел 229 и 191?
Делители числа 229 равны 1 229, а делители числа 191 равны 1 191. У чисел 229 и 191 есть только один общий делитель, равный 1. Это означает, что числа 229 и 191 взаимно просты.
Следовательно, наибольший общий делитель (НОД) чисел 229 и 191 равен 1.
Каковы общие делители чисел 229 и 205?
Так как множители 229 равны 1, 229, а множители 205 равны 1, 5, 41, 205. Следовательно, 229и 205 имеют только один общий делитель, равный 1. Следовательно, числа 229 и 205 взаимно просты.
Ознакомьтесь с этими 50 задачами дня по математике для пятого класса
Начните свой ежедневный урок математики с задачи дня по математике для пятого класса — это отличный способ подготовить почву для обучения! Включите их в начале своего математического блока, чтобы укрепить уверенность, навыки критического мышления и обучающееся сообщество. Студенты привыкнут читать для понимания, а также определять ключевую информацию. Предложите учащимся записывать уравнения и рисовать картинки, чтобы объяснить свое мышление, так как это помогает им увидеть свет, когда они застряли!
Темы в этих математических задачах для пятого класса охватывают закономерности и разрядность, сложение и вычитание, умножение, деление, дроби, десятичные дроби, измерения и сравнения.
Хотите весь этот набор текстовых задач в одном простом документе? Получите бесплатный пакет Google Таблиц, отправив свой адрес электронной почты здесь. Все, что вам нужно сделать, это опубликовать одну из задач на доске или экране проектора. Тогда пусть дети взять его оттуда.
1. Три поезда подошли к станции в 15:00. В поезде Ментона было 2589 человек.пассажиры. В Рестонском поезде был 671 пассажир. В поезде Пирсон-Сити было 1024 пассажира. Сколько пассажиров было вместе?
2. В магазин Grow Up Farmer’s Market было доставлено 4 ящика лимонов. В одном ящике было 2100 лимонов. В двух других ящиках было 2010 лимонов. В последнем ящике было 1999 лимонов. Сколько лимонов было доставлено всего?
3. Ruffle Truffle Candy Компания получила заказ на 850 шоколадных трюфелей от кондитерской. Они также получили заказ на 7 309трюфели из продуктового магазина. Затем поступил еще один заказ на 3125 трюфелей из ресторана. Сколько трюфелей должна произвести фабрика, чтобы выполнить эти заказы?
4.
На полуострове Три-Сити есть 3 города. В Сансет-Сити проживает 405 245 человек. В Санрайз-Сити проживает 695 212 человек. В городе Сунуп проживает 415 937 человек. Сколько людей вместе проживает на полуострове Три-Сити?5. Магазин поздравительных открыток Smiley’s в прошлом году заказал 25 294 поздравительных открытки и 15 280 открыток ко Дню матери. Они продали 11 065 открыток ко Дню матери и 24 229поздравительные открытки. Сколько поздравительных открыток у них осталось?
6. Flyaway Airlines выполняет 3 рейса в Нью-Парк-Сити каждый день из Сан-Сандоса. Каждый самолет рассчитан на 400 пассажиров. В понедельник на первом рейсе было 325 пассажиров. На втором рейсе было 387 пассажиров. На третьем рейсе был 221 пассажир. Сколько свободных мест было всего вместе?
7. В 1999 году в Западной Дескатерии проживало миллион человек. 350 268 человек являются уроженцами этой страны. Остальные переехали туда из другой страны. Сколько людей переехало туда откуда-то еще?
8.
Свечи ко дню рождения от The Happy Hippy Candle Company продаются упаковками по 8 штук. На прошлой неделе они произвели 6000 коробок и продали 8000 свечей. Сколько коробок свечей они продали на прошлой неделе?9. Некоторые из новых книг в библиотеке Южного города были научно-популярными. Было выпущено 25 025 новых книг в твердом переплете и 7 333 новых книги в мягкой обложке. 15 000 экземпляров в твердом переплете были фикцией. Сколько книг в твердом переплете были научно-популярными?
10. Giganto Mall имеет 6 этажей. Каждый из 5 верхних уровней имеет по 2,950 рабочих. В торговом центре работает 15 000 человек. Сколько рабочих работает на нижнем уровне?
11. В морозильнике Frosty Food Mart есть 96 замороженных индеек и 65 ветчин. Каждая индейка весит 19 фунтов. Каждая ветчина весит 10 фунтов. Сколько весят индюки все вместе?
12. Каждый новый словарь, купленный для школы, содержит 355 страниц. Для каждого класса подготовлено 35 словарей.
Они весят почти 300 фунтов. Сколько это всего страниц?13. На каждом фруктовом дереве пингвинов 10 251 лист. В саду дяди Арча было 96 фруктовых деревьев. Половина из них были фруктовыми деревьями пингвинов. Сколько всего листьев было на фруктовых деревьях пингвинов?
14. Магазин Benny’s Bait Shop продает червей по 12 штук. В брутто двенадцать пачек. На этой неделе продали 12 брутто червей. Сколько червей они продали на этой неделе?
15. Компания по прокату автомобилей Kwik Kar имеет 27 офисов в 12 штатах. У них есть 1350 автомобилей, которые можно сдать в аренду. Если они равномерно распределит все автомобили по своим точкам, сколько машин получит каждая точка?
16. На футбольном матче был аншлаг. На мероприятии присутствовало 42 500 болельщиков. Каждое место было занято. Вокруг стадиона расположены 85 рядов сидений. В каждом ряду одинаковое количество мест. Сколько болельщиков сидело в каждом ряду?
17.
У мистера Скетча в ящике для рисования в классе было 180 цветных карандашей. Он купил новые коробки цветных карандашей, по 10 штук в коробке. Теперь у него 400 цветных карандашей. Сколько новых коробок он купил?18. На стадион на рок-концерт на автобусах прибыло 4500 человек. Еще 4500 человек прибыли поездом. Остальные приехали на машинах. Каждый автобус мог вместить 225 человек, и все автобусы были заполнены. Сколько автобусов было?
19. Super Duper Corporation каждый месяц платит арендную плату за свое большое здание штаб-квартиры. В прошлом году они заплатили 60 756 долларов за аренду и примерно столько же за отопление. Каждый месяц они платят одну и ту же сумму за аренду. Сколько стоит аренда в месяц?
20. В прошлом месяце компания Straight Arrow Dress Shirts продала много классических рубашек. Каждая рубашка имеет 7 пуговиц спереди и по 1 пуговице на каждом рукаве. Они использовали 72 000 пуговиц на рубашках, проданных в прошлом месяце.
Сколько рубашек они продали?21. На озере Луи есть лодки, которые отправляют туристов в круизы по озеру. В субботу 8 112 туристов захотели прокатиться по озеру. В смену курсируют 3 катера. Каждая лодка вмещает 500 человек. Круиз длится 30 минут. Сколько смен им нужно было отработать, чтобы каждый турист мог путешествовать?
22. Суперзвезда Сэм — профессиональный игрок в бейсбол и каждый день занимается подачей мяча. В июле он провел 12 000 минут, тренируясь. Он тренируется бить ватин 1 час каждую неделю. Сколько часов он тренировал свою подачу в июле?
23. Новый тротуар, ведущий к парадной двери начальной школы Elemental, имел длину 55 футов и ширину 36 дюймов. 25 футов из него были выкрашены в золото, а остальные — в серебро. Сколько дюймов в длину было серебряное сечение?
24. Горнодобывающая компания Dig-It выкапывала 12 000 фунтов редкого минерала, бободиума, каждый день в течение недели. Они продают его в коробках по 8 унций.
Сколько коробок им понадобится, чтобы упаковать Бободиум на этой неделе?25. Рита Райталот, известная писательница, посещает коллегиальный колледж и дарит всем, кто посещает одну из двух ее лекций, две свои книги. На ее первую лекцию пришло 600 человек. На вторую лекцию также пришла хорошая аудитория. Всего она раздала 2468 книг. Сколько человек пришло на ее вторую лекцию?
26. Мистер Удивительный готовит свое магическое действие. В одном из своих действий он использует 12 366 золотых монет. Он использует некоторые из них в каждом запланированном появлении. Он откладывал по 229 золотых монет за каждое появление. Сколько выступлений он планирует?
27. У Рика 4/5 шоколадки. У Сида 6/7 шоколадки. У Ника 6/8 шоколадки. У кого самый большой кусок шоколадного батончика?
28. У Джинни 6/4 арбузов. У Уильяма 3/9другого арбуза. У Стива есть ½ другого арбуза. У кого меньше всего арбузов?
29. Луз собирается приготовить сырный соус.
Она купила ½ фунта американского сыра. Она также купила ¾ фунта швейцарского сыра и ¼ фунта сыра чеддер. Сколько сыра она купила?30. Мерси должна была выбрать, сколько пиццы пепперони она хочет. У нее могло быть 7/8, 8/16 или 8/10. Если она хочет больше всего пиццы, какую сумму ей выбрать?
31. Исследователь Elmo Adventure нашел древнее место с золотыми слитками. Он нашел три. Первый был 5/12 фунта. Второй слиток весил 7/12 фунта, а третий — 3/6 фунта. Сколько весили бруски все вместе?
32. У Сэнди было 3/4 буханки свежеиспеченного хлеба, приготовленного ее мамой. Половину она отдала своей кузине Стелле. Сколько хлеба осталось у Сэнди?
33. У учительницы пятого класса мисс Марвелус было 9/10 яблочного пирога. Она дала 3/10 своему директору, мистеру Палу, и 3/10 своему коллеге, миссис Мерри. Сколько пирога осталось у мисс Марвелус?
34. Грейс укладывала ленточки, которые у нее были, встык. Синий кусок был 3/12 фута.
Красный кусок был ½ фута, а белый кусок был 8/12 фута в длину. Сколько времени было в общей сложности?35. Роб читал книгу, в которой было 400 страниц. Он прочитал 1/3 его в понедельник и еще 1/4 во вторник. Какую часть книги ему осталось прочитать?
36. У Тая осталась половина торта на день рождения. Он отдал своей сестре Джанель четверть этой суммы. Сколько всего торта досталось Джанель?
37. Футбольная команда старшей школы впервые собиралась на тренировку. Было 64 игрока. ¾ из них были пенсионеры. Остальные были младшеклассниками. Сколько игроков было младшеклассниками?
38. Охотники за сокровищами выкопали обувную коробку с 1500 долларами. В команде охотников за сокровищами было пять человек, поэтому каждый должен был оставить себе 1/5 денег. Сколько денег осталось у каждого?
39. Тристану осталось покрасить только 1/8 колоды. Вся палуба имеет общую площадь 100 квадратных футов. Он рассчитывал, что сможет сделать половину того, что осталось, в пятницу, а остальное — в субботу.
Какую часть общей колоды он планирует раскрасить в субботу?40. Трое друзей следили за своим бегом. Таковы результаты их пробежек в субботу. Пейдж пробежала 0,75 мили. Таннер пробежал 0,09 мили. Лиза пробежала 0,706 мили. Кто пробежал дальше всех?
41. Профессиональные кикбольные карточки Гэри разделены между 3 командами. ¼ его карточек — игроки «Сан-Франциско Силз». 0,25 — игроки «Нью-Йорк Якс». Остальные играют за лосося Новой Шотландии. Какая десятичная дробь лучше всего описывает, сколько в его коллекции игроков из Лосося?
42. Шахтер Молли взвешивала небольшое количество золотого песка. У нее было 3 пакета золотой пыли. Они весили 0,29 унции, 1,07 унции и 0,92 унции. Она должна получить 3 унции золотого песка, прежде чем продать его. Сколько еще золотой пыли ей нужно, чтобы совершить продажу?
43. У Хизер 4 банковских счета. В первом есть 25,09 долларов. У второго по 106,75 долларов, а у третьего и четвертого по 108,08 долларов.
Какова общая сумма денег у Хизер на этих счетах?44. Каждый член семьи Кирка получил выплату в размере 1070,09 долларов США от своего семейного бизнеса. В семье Кирка 12 человек, включая его самого. Их возраст варьируется от 12 до 99 лет. Сколько всего семья получила?
45. Количество футболок, которые Олли продает на блошином рынке, имеет предсказуемый характер. Он продал 120 рубашек в январе, 60 рубашек в феврале, 240 рубашек в марте, 120 рубашек в апреле, 480 рубашек в мае и 240 рубашек в июне. Если схема продаж сохранится, сколько рубашек он продаст в августе?
46. Для разблокировки специального хранилища используется числовой код. Необходимо ввести три цифры в правильном порядке на клавиатуре с цифрами от 0 до 100. Первое — нечетное число меньше 20, состоящее из 2 одинаковых цифр. Второе число четное и составляет ½ от числа, которое составляет ¼ от 16. Третье число является произведением первых двух чисел, а затем удвоено.
Что такое код?47. Ким заметила этот узор на старом листе пергамента. 2, 5, 11, 23, 47, 95. Ким вычислила следующие два числа. Кто они такие?
48. Эл на 5 лет старше Теда. Тед на 2 года старше Алисы. Алиса на год моложе Фрэн. Фрэн 8 лет. Сколько лет Алу?
49. Лиам наконец добрался до паромного причала в 4 часа дня. Он сел на поезд до парома со станции Чайртаун. Этому поезду потребовалось полчаса, чтобы добраться до парома. Чтобы добраться до станции, он ехал 4 с половиной часа из аэропорта Десквилл. Тем утром он прилетел в Десквилл из аэропорта Тейблтаун. Полет был 2 с половиной часа. Во сколько он вылетел из аэропорта Тейблтауна?
50. В субботу Крис работал на трех работах. Она косила газон и закончила это в 6 часов вечера. Она мыла окна 3 часа. Также она помыла, натерла воском и пропылесосила 3 машины. На каждую машину уходило полтора часа. Крис начала свой рабочий день в 9 утра. Сколько минут ей потребовалось, чтобы подстричь газон?
Получите версию этих задач по математике для пятого класса в Google Sheet здесь!
Вам понравились эти задачи по математике для пятого класса? Посетите наш центр пятого класса, чтобы получить еще больше ресурсов.


Найдите наименьшее общее кратное (НОК) и наибольший общий делитель (НОД) числа 229и 104.