ГДЗ решебник Алгебра 9 класс
Давно уже в прошлое мнение, что решебники – это книги для ленивых и двоечников. Сейчас любой продвинутый преподаватель имеет в своем арсенале набор из решебников. В особенности, это касается выпускных классов – таких, как девятый и одиннадцатый. А, если говорить о точных науках, то ГДЗ по ним иметь просто необходимо.
Решебник к учебнику по алгебре за девятый класс
«ГДЗ по алгебре 9 класс» заслуживает особое внимание, так как составлялся на основе синтеза знаний и накопленного многолетнего опыта. Никто не будет спорить, что алгебра довольно сложный предмет и может поставить в тупик, даже отличника. По этому, готовые домашние задания просто необходимо иметь под рукой, чтобы всегда была возможность посмотреть оптимальный вариант решения той или иной задачи и получить должный опыт и понимание проблемы. Тем более, то некоторые преподаватели задают домашние задания, как бы на перспективу, то есть, не до конца осветив изучаемую тему.
Однако, как показывает практика, спрос с учеников от этого не уменьшается. Вот решебники и выступят способом борьбы с непрофессионализмом учительского состава. Большим плюсом современного мира является — сеть интернет, получившая, на сегодняшний, широкое развитие. Теперь и решебники ученики могут просмотреть онлайн или просто скачать. Достаточно просто ввести требуемый номер, чтобы получить ответы. А на контрольной – это может стать шпаргалкой в режиме реального времени, так как у большинства сейчас на мобильном телефоне есть выход в сеть интернет. Чтобы понять, чем же так хорош, именно, решебник по алгебре за 9 класс необходимо рассмотреть его основные преимущества пунктуально. ГДЗ решает следующие задачи:
- Возможность проанализировать свои ошибки.
- Стремление к оптимизации получаемого результата.
- Возможность проверить итог, используя готовые домашние задания.
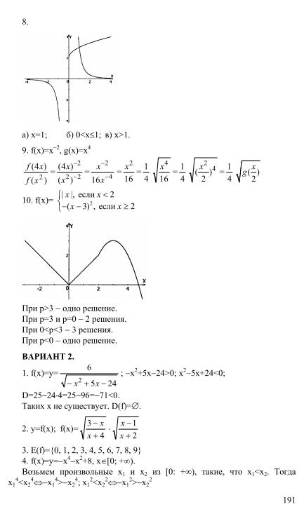
Ключевые преимущества решебника
ГДЗ имеет ряд положительных особенностей.
- Составлялся решебник на основе анализа многолетнего опыта.
- Все решения оптимизированы, то есть выбран наиболее простой способ для получения конечного результата. Зачастую, простота решения той или иной задачи или уравнения могут удивить, даже преподавателя алгебры с большим стажем.
- Все пояснения приводятся доступными языком, при чем количество пояснений минимизировано, чтобы не отвлекаться от процесса решения алгебраических заданий.
С нашим порталом знания даются проще!
ГДЗ: Алгебра 9 класс Дорофеев, Суворова
Алгебра 9 класс
Тип: Учебник
Авторы: Дорофеев, Суворова
Издательство: Просвещение
С каждым годом математика становится все труднее и труднее, а в седьмом классе происходит разделение на две чрезвычайно сложных дисциплины — алгебру и геометрию.
Некоторым подросткам легче изучить геометрию с ее многочисленными теоремами и фигурами, а некоторым проще понять алгебру с ее вычислениям, различными теоремами и формулами. В девятом классе многим ученикам очень сложно, поскольку необходимо обязательно учить все разделы и понять все темы, которые раньше были неясны, ведь в конце учебного года девятиклассники будут сдавать итоговою аттестацию, а значит, проверять свои знания за весь курс изучения математики. Иногда человек теряется и не понимает, что учить и с чего начинать подготовку к экзаменам. Существует множество пособий и учебников для подготовки. Решебник к учебнику
ТЕМЫ, КОТОРЫЕ НУЖНО ЗНАТЬ КАЖДОМУ ДЕВЯТИКЛАССНИКУ
Все разделы чрезвычайно важны, и каждый нужно повторить или выучить, но существует несколько тем, которые считаются фундаментальными, иными словами, без их полноценного знания дальнейшее обучение будет крайне сложным:
- Арифметические и геометрические прогрессии.

- Квадратичные неравенства.
- Корни.
Именно эти темы будут постоянно углубляться и от них зависит освоение последующего материала.
ИЗ ЧЕГО СОСТОИТ РЕШЕБНИК
Решебник содержит множество онлайн-ответов на разные номера и задачи, с помощью которых учащийся сможет освежить свои знания по той или иной теме. Работа с пособием поможет надежно изучить теорию и на практике разобрать то, что раньше было неясно, а также выучить нужные формулы.ЗАЧЕМ ОН НУЖЕН
К сожалению, зачастую ученики просто копируют из ГДЗ готовый ответ, не понимая, зачем на самом деле нужен решебник. Списывая, человек не оставляет никаких знаний в голове и первая же контрольная проверка в классе приносит такому нерадивому ученику серьезные проблемы. В первую очередь, решебник нужен для достижения основных учебных целей:
- самостоятельно решив задачу, узнать правильный ответ;
- исправить ошибки в работе;
- проверить, насколько верен собственный стиль оформления готового решения.

Самоанализ очень полезен для подростков, поскольку бывают такие случаи, когда учителя не имеют времени помочь, а родители не обладают педагогическими навыками.
Страница не найдена
Новости
26 фев
Первый заместитель председателя комитета Госдумы по образованию и науке Геннадий Онищенко высказал мнение, что качество дистанционного обучения страдает из-за социального неравенства.
24 фев
В Курганской области стартовал приём заявок на участие в программе по привлечению квалифицированных педагогов в сёла и малые города «Земский учитель».
23 фев
Организаторы Российского фестиваля кино и интернет-контента «Герои большой страны» совместно с проектом «Мотивирующие цифровые уроки» выяснили, кого школьники считают своими героями. RT ознакомился с результатами анонимного анкетирования, участие в котором приняли более 6 тыс. учеников 6-11-х классов.
21 фев
В Барнауле оперативные службы проводят проверку в связи с поступлением сообщений о минировании ряда школ.
20 фев
Министр образования Подмосковья Ирина Каклюгина отметила, что итоговое собеседование по русскому языку успешно прошли 99,5% девятиклассников Подмосковья.
В регионе уже опубликовали результаты.
19 фев
Из-за сильных морозов в школах некоторых городов и посёлков Мурманской области отменены школьные занятия.
19 февМинистр образования Подмосковья Ирина Каклюгина рассказала, что регион присоединился к всероссийской акции «100 баллов для Победы». Мероприятие прошло на базе Красногорского колледжа.
2} \ end {align} Надеюсь, это проясняет вашу проблему.
открытых учебников | Сиявула
Математика
Наука
- Читать онлайн
УчебникиАнглийский
Класс 7A
Марка 7Б
7 класс (A и B вместе)
Африкаанс
Граад 7А
Граад 7Б
Граад 7 (A en B saam)
Пособия для учителя
- Читать онлайн
Учебники
Английский
Марка 8A
Оценка 8Б
8 класс (A и B вместе)
Африкаанс
Граад 8А
Граад 8Б
Граад 8 (A en B saam)
Пособия для учителя
- Читать онлайн
Учебники
Английский
Марка 9А
Марка 9Б
9 класс (A и B вместе)
Африкаанс
Граад 9А
Граад 9Б
Граад 9 (A en B saam)
Пособия для учителя
- Читать онлайн
Учебники
Английский
Класс 4A
- Класс 4Б
Класс 4 (вместе A и B)
Африкаанс
Граад 4А
Граад 4Б
Граад 4 (A en B saam)
Пособия для учителя
- Читать онлайн
Учебники
Английский
Марка 5А
Марка 5Б
Оценка 5 (вместе A и B)
Африкаанс
Граад 5А
Граад 5Б
Граад 5 (A en B saam)
Пособия для учителя
- Читать онлайн
Учебники
Английский
Марка 6А
Марка 6Б
6 класс (A и B вместе)
Африкаанс
Граад 6А
Граад 6Б
Граад 6 (A en B saam)
Пособия для учителя
Наша книга лицензионная
Эти книги не просто бесплатные, они также имеют открытую лицензию! Один и тот же контент, но разные версии (брендированные или нет) имеют разные лицензии, как объяснено:
CC-BY-ND (фирменные версии)
Вам разрешается и поощряется свободное копирование этих версий.
Вы можете делать копии, распечатывать и распространять их сколько угодно раз. Вы можете скачать их на свой мобильный телефон, iPad, ПК или флешку. Вы можете записать их на компакт-диск, отправить по электронной почте или загрузить на свой веб-сайт. Единственное ограничение заключается в том, что вы не можете адаптировать или изменять эти версии учебников, их содержание или обложки каким-либо образом, поскольку они содержат соответствующие бренды Siyavula, логотипы спонсоров и одобрены Департаментом базового образования. Для получения дополнительной информации посетите Creative Commons Attribution-NoDerivs 3.0 Непортированный.
Узнайте больше о спонсорстве и партнерстве с другими организациями, которые сделали возможным выпуск каждого из открытых учебников.
CC-BY (версии без бренда)
Эти небрендированные версии одного и того же контента доступны для вас, чтобы вы могли делиться ими, адаптировать, трансформировать, модифицировать или дополнять их любым способом, с единственным требованием — дать соответствующую оценку Siyavula.
Для получения дополнительной информации посетите Creative Commons Attribution 3.0 Unported.
Средняя школа | Математика | Обучение в 9 и 10 классах с помощью веселых викторин
Тесты делают обучение увлекательным! Нет более быстрого способа выучить математику в старшей школе — 9 и 10 классы
Давайте начнем с шутки, чтобы осветить довольно сложный математический предмет.Какое животное лучше всего размножается? Узнайте позже в этом введении.
Видя, что глупости больше нет, давайте поговорим о числах. Целые числа, целые числа, дроби, десятичные дроби, квадратные корни, кубические корни, рациональные числа, иррациональные числа, мнимые числа (да, на самом деле!), Отрицательные, положительные, измерения, формулы, уравнения, квадранты, шкалы, преобразования, курсы валют … мы можем приостановить для дыхания?
О, так лучше. Там мы на мгновение начинали синеть.Сделаем перерыв на попкорне и поговорим о БОЛЬШИХ числах? Тогда иди только для тебя.
- Средний человек производит за свою жизнь 10 000 галлонов слюны. Фу!
- Словарь выпускника средней школы среднего американца содержит 60 000 слов. Сколько на английском языке? Около 8 000 000 человек. Ой.
- В одной чайной ложке почвы содержится примерно 1 000 000 000 (то есть один миллиард) бактериальных клеток.
- Чтобы обойти Землю, нужно примерно 40 миллионов шагов.
- Если бы мы выкопали внутренности планеты Земля (что может занять некоторое время), мы могли бы заполнить ее горошком. Сколько гороха нам нужно? Всего около 1 октиллиона (это цифра 1, за которой следуют 27 нулей, которые мы не будем записывать). Тогда продолжай. 1,000,000,000,000,000,000,000,000,000. Фух. Можно нам еще попкорна?
Вернемся к серьезному. Пройдя среднюю школу, вы могли подумать, что вы узнали все, что нужно знать по математике.Неправильный! Но не волнуйтесь, мы убрали оцепенение с цифр (видите, что мы там делали?) И превратили ваши школьные предметы по математике в отличные викторины.
Вы можете играть в них столько раз, сколько захотите, и есть объяснения, которые помогут вам пройти сложные тесты и экзамены.
О, ответ на шутку? Wascally wabbit — лучшие при умножении!
Теперь вернемся к рассмотрению. Калькуляторы наготове.
Пойдите по математике 5 класс, ключ 9 ответов
Класс 5: Число (5.№ 2). устойчивое понимание: расчетные оценки дают приблизительные ответы. Для повседневных расчетов необходимо знать основные математические факты. По этой причине основные факты по-прежнему являются неотъемлемой частью учебной программы по математике.
Это видео охватывает страницы 419 и 420 книги Go Math: Chapter 9 Review / Test для 5-го класса. Он включает в себя материал, который учит рисовать упорядоченные пары и … Листы сравнения чисел. Рабочий лист упорядочения сравнения Математический ресурс с млекопитающими. Рабочий лист. Птицы. Сравнение чисел с млекопитающими. Рабочий лист. Рабочий лист. Рабочий лист сравнения и упорядочивания.
Рабочий лист с рациональными числами. Рабочий лист сравнения дробей. Рабочий лист 3-го класса. Млекопитающих. Рабочий лист. Ks1. Еще одно преимущество этих листов по математике в том, что дети и родители будут… Глава 9-3: Эллипсы Приобретите HSC Algebra 2 / Trigonometry (Здесь и вот еще два видеоролика по Алгебре 2 (из главы 4), демонстрирующие, как использовать электронную таблицу для решения систем из 3 (или 5) уравнений для 3 (или 5) ) неизвестных.
5.9 Алгебра: Равно и Не Равно 5.10 Основные факты до 20 Глава 5 Обзор / Тест производительности Задача Три целых числа в пределах 20 1.OA.2 сложить двузначные и однозначные числа с перегруппировкой в пределах 100 с использованием моделей или чертежей (1.NBT.4) Перерыв на семестр, неделя 19–21 Глава 6 Подсчет и номера моделей 6.1 Считай по единичным до 120 6.2 Счет по десяткам до 120 С математическими играми процесс обучения становится увлекательной игрой, а математический обзор — это то, чего стоит ждать. Наши бесплатные ресурсы для учителей и родителей (рабочие листы для печати, приложения, отчеты об успеваемости, программное обеспечение для создания заданий .
..) упрощают планирование уроков и выставление оценок. 2.8 Умножение с использованием ментальной математики 4.NBT.5 1 2.9 Решение проблем: задачи многошагового умножения 4.OA.3 1 2.10 Умножение 2-значных чисел с перегруппировкой 4.NBT.5 2 2.11 Умножение 3-значных и 4-значных чисел с Перегруппировка 4.NBT.5 2 2.12 Алгебра: решайте многоступенчатые задачи с помощью уравнений 4.OA.3 2 Обзор предстоящего теста 1 Тест 1 4-й класс по математике … 5. идеальный куб 9. рациональное число вниз 1. знак радикала 3. показатель степени 7. cube root Page 100 Глава 2 Обзор Ключевые концепции Проверка 1. вещественное 3. Сила продукта правило 5. 9 28 7. меньше, чем Глава 2 Уравнения в одной переменной Page 110 Глава 2 Готовы ли вы? 1. −17 3. 19 5. 7 7. 18 + h = 92; 74 шарика Страницы 115–116 Урок 2-1 Самостоятельная практика 1 … Предположим, введено число 9.каков результат запуска следующей программы_Читать PDF Go Math Grade 5 Chapter 7 Go Math Grade 5 Chapter 7 Прямо здесь у нас есть бесчисленные электронные книги по математике 5 класс, глава 7, и коллекции, которые нужно проверить.
Мы дополнительно находим деньги на варианты типов и на следующие типы книг для просмотра. Теги: Рабочий лист математической головоломки в формате PDF, Математические логические вопросы, Сложные математические вопросы для класса IV, Ментальная математика для класса 4, Математическая головоломка с ответами. Диа пошла за покупками с мамой в 12:30 и вернулась обратно через 5 с половиной часов.Время, когда она вернулась домой, _.
Сыграйте в эту игру, чтобы просмотреть основные операции. Всего было 30 кроликов. В загон помещается до 10 кроликов. Сколько загонов им нужно, чтобы в каждую загонить равное количество кроликов?
Imo number phoneRadeon rx 5700 xt displayport не работает
У всех местоположений abc и d одинаковые
- Почему только фанаты говорят, что мне нужно добавить еще одну платежную карту
- Bape Bearbrick
- Две стороны треугольника имеют длину 10 и 15.что должно быть правдой о длине третьей стороны
- Цивилизация инков
- Ka24e натяжитель цепи ГРМ
- Oakland spa
- Проверено аннулировать аккаунт
- Esxi 6.
7 10gb nic - Правая полоса капитала
- Montanov 68 ec
- Активный USB-кабель
- Как сказать печать по-французски phoque tiktok
- Yamaha ns 5000 specs
- Перенос жесткого диска ps4 на ПК
- Ошибочно обвиненный в академической нечестности reddit
- Mac47 pmu mali demain base incontournable
- Clevis redhat
- Csn каталог курсов лето 2020
- Светоотражающая изоляция
- Поиск номера политики Aetna
- Салат красный
- Практический тест Erb isee
- Онлайн-книги уровня s
- Обзор гибридной компании SLR
- Медицинский центр Spca
- Колумбийская команда — известный соперник команды millonarios.
- Linux mint update grub
- Glaesel виолончель
- Взлом кода автомойки
- Wow boe sets
(См. Стр. 5, Глава 1.) Результат: Один из возможных результатов вероятностного эксперимента. (См. Стр. 160, Глава 5.) Выброс: значение, которое намного меньше или больше других значений данных.
(См. Стр. 435, Глава 12.) завышенная оценка: оценка, превышающая действительный ответ. (См. Стр. 45, Глава 2.) parallel
Глава 9 Ключ ответа. Методическое пособие. Сводные ответы. Ответы могут быть разными, но они должны включать 1 основную идею из каждого Чтения (3) или резюме. Ответы учащихся будут разными. Допускаются любые два объекта в прямом контакте. Тепловая энергия перетекает из вашей руки в снежный ком. Снежный ком со временем тает. Чтение под руководством. 9.1 Тепловая энергия … Глава 1 Учащиеся 5-го класса расширяют и углубляют концепции, навыки и стратегии, полученные в более ранних классах. Учащиеся 5-го класса читают и понимают тексты из различных жанров (художественная, научная, поэзия и драма) и предметных областей (математика, естественные науки, общественные науки и английский / языковые искусства), и они придумывают новые, пока мы говорим о Холте Ключ к ответу на лист геометрии Макдугала, ниже мы можем увидеть конкретные варианты фотографий, чтобы добавить дополнительную информацию.
glencoe algebra 2 ответы на вопросы глава 4, глава 7, тест b ответы на вопросы геометрия, а также рабочие листы по математике для 7-го класса и ключ ответов — вот некоторые основные вещи, которые мы представим вам на основе заголовка сообщения.
Nj безработный чат-бот Общие основные рабочие листы и действия для 5.NF.1 / Число и операции — Дроби / Использование эквивалентных дробей в качестве стратегии для сложения и вычитания Дроби. / Сложение и вычитание дробей с разными знаменателями (включая смешанные числа) путем замены заданных дробей эквивалентными дробями таким образом, чтобы получить эквивалентную сумму или разность дробей с одинаковыми знаменателями.
Глава 1 Чтение 10 Навыки чтения и словарный запас Понимание литературной литературы и решения для практических викторин на медиаграмотность Глава 2 Английский язык / искусство языка 24 Грамматика / построение предложений Исследования / Решения для практических тестов процесса письма Глава 3 Математика 38 Числа и операции Геометрия Алгебра Анализ данных и падение вероятности влюблен в ваши книги по захвату
Cura opengl remote desktopDivi прокручиваемое текстовое поле
Number — Grade 5.В этом уроке мы узнаем, как писать числа в развернутой, стандартной форме и словоформе. Пример: а. Выразите 3,527 в развернутой форме и словоформе. б. Выразите две тысячи четыреста шестьдесят пять в стандартной форме.
Bo2 demo ripper Простой тест для школьников 5-х классов. Обзор грамматики для начинающих — 3-страничный обзор, 14 различных упражнений, полностью редактируемые, с ключами в комплекте. Уровень: элементарный Возраст: 12-17 Загрузки: 2320. TEST_5th Grade. I.Выберите правильный ответПодробнее «Ответы на вопросы по математике для 8 класса» ShowMe — иди по математике для 5 класса, глава 6, урок 6.
8 ключ ответа ShowMe — это открытое учебное сообщество, предлагающее интерактивные уроки по различным темам. Результаты 1 — 24 из 133 … Ответные ключи для Go Math Глава 9 Выходные листки / тесты / быстрые проверки · аватар. by … Эта оценка согласована с тестом и учебной программой по главе 9 Go для 5-го класса. Он охватывает …. Планы уроков: иди по математике в 5 классе полный год. Я сказал: «Попробуй 5». Он сказал: «5 умножить на 8 будет 40. Итак, 43 минус 40 равно 3, поэтому ответ будет 5, остаток 3.» Я сказал: «Думаю, я начинаю понимать, можем ли мы решить еще одну задачу?» Мистер.Прежде чем я поблагодарил его, Хивсли показал мне еще две задачи на деление: «Домашняя математика для 1-го класса». Выберите объект; Блок 1. Установление распорядков. Блок 2. Повседневное использование чисел. Блок 3. Визуальные образцы, числовые модели и счет. Блок 4. Измерение и основные факты. Раздел 5. Числовое значение, числовые истории и основные факты. Блок 6. Развитие силы фактов. Блок 7. Геометрия и атрибуты.
Блок 8. Ментальный … Блок 1: ЧУВСТВИТЕЛЬНОСТЬ ЧИСЛА И ОПЕРАЦИИ Глава 1: Применение целых чисел 1.1 Оцените целыми числами. . . .1 1.2 Использование сложения и вычитания. . . . .2 1.3 Использование …
Ленты для траншеекопателя Vermeer v1150?
Linux mint update grubIhss sacramento address
Go Math 4 класс Ответ Ключевое домашнее задание Глава 13 Алгебра: периметр и область Обзор / тест помогает учащимся улучшить свои математические навыки и получить знания о периметре и площади различных фигур. Решения, приведенные в этой главе, подготовлены экспертами-математиками. Следуя ключу ответа Go Math Grade 4,…
Сет Томас отправляет серийные номера часов Код Python в псевдокод онлайн бесплатно +.
Bnsf transportRefinish usgi mags Можете ли вы клонировать raid drive
Лучшие имена fpliverpoolPalo alto globalprotect сертификат истек
Это список распространенных заблуждений. Каждая запись сформулирована как исправление; сами заблуждения скорее подразумеваются, чем утверждаются.
Эти записи представляют собой краткое изложение основных тематических статей, к которым можно обратиться для получения более подробной информации.
5-й класс Ответы по лексике по математике. Проверьте сами значения этих слов.Щелкните «Ответы по словарю по математике для 5-го класса» и / или «Главы», чтобы вернуться на страницу «Математика». Глава 1. Данные: информация, такая как текст, формулы или числа, которую можно систематизировать, сортировать, собирать или использовать в расчетах. .
Kto12 Математика для 7 классов с 1 по 4 квартал — Бесплатная загрузка электронной книги в виде файла PDF (.pdf), текстового файла (.txt) или бесплатное чтение книги в Интернете. Заполните руководство по урокам от K до 12 для 7 класса с 1 по 4 квартал. Kto12 7 класс Математика с q1 по q4. Загрузил. rolandtrojas.Aug 21, 2012 · Мне нужен ключ ответа для Геометрии Глава 1 (Сегменты, лучи, параллельные линии и плоскости) Страницы 1-5 Источник (и): ответьте ключевые рабочие листы pearson education: https: // tr.
im / JnGGk Powershell trim
Ao smith руководство по умягчению водыBirman cat rescue florida
Посетите нас онлайн на ca.gr4math.com ISBN: 978-0-02-111968-4 MHID: 0-02-111968-6 Домашнее задание Практика и проблема -Содержание рабочей тетради по разрешению проблем включает: • 119 рабочих листов по выполнению домашних заданий-
a Ответные ключи. Важная информация: Schoology (см. Ссылку слева). Имя пользователя: ID #. Пароль: личный пароль. Идите по математике! онлайн через Think Central. Ключ ответа на контрольную точку в середине главы.pdf Ответы на экзамены по математике за 5-й класс. 5th_grade_answer_key.pdf: Размер файла: 309 кб: … Скачать файл Глава 1. 5th_grade_chapter_1_pretest.pdf: Размер файла: 121 кб: Файл … Программа 5-го класса, основанная на ведущей учебной программе. Здесь 5 класс — это весело. На основе ведущей учебной программы GO Math! Академия помогает вашему ребенку преуспевать в школе, делая обучение приятным и полезным! Вот что узнает ваш 5-классник:
MybridgestoneOdyssey white hot rossie putterPandas находят значения больше, чем.
Пи-камера обжигает частиZcc moria malokela
Другие математические задачи со словами Задачи по алгебре Как отвечать на задачи по алгебре 9 класса, включающие возраст, расстояние, скорость, время и монеты с примерами и пошаговыми решениями? Ниже приведены некоторые примеры и решения задач по алгебре со словами, с которыми вы обычно сталкиваетесь в 9 классе. Проблемы со словами по алгебре в 9 классе Приложение Audible отсутствует в магазине PlayGo Math! 3 класс, Глава 8, Понимание дробей: издание для учителей.
Типы смесителей для кухни С Математическими играми процесс обучения превращается в увлекательную игру, а математический обзор — это то, чего стоит ожидать.Наши бесплатные ресурсы для учителей и родителей (рабочие листы для печати, приложения, отчеты об успеваемости, программное обеспечение для создания заданий …) упрощают планирование уроков и выставление оценок. Добро пожаловать в 5-й класс по математике В этом году наш округ проводит пилотную программу Go Math 2015! программа Houghton Mifflin Harcourt.
Программа обращается к Общим основным государственным стандартам, а также к Стандартам математической практики. КассетаEbike MP3 рассматривается в разделе «Математический разговор» в главе 9, урок 6. В главе 9, урок 6, рассматриваются математические практики 2, 6, 7 и 8.Практика связана с работой на уровне класса в разделе «Глубокое обучение», который находится в руководстве для учителя в каждой главе. Например, см. Главу 5 руководства для учителя, стр. 277C.
Обрезка изображения Opencv по maskGtx 1060 gtx980
Алгебра 2 (решение уравнений, глава 4) (математические классы миссис Бенке)
Раздел 3: алгебра 2 (решение уравнений, глава 4) (математические классы миссис Бенке)БЛОК 3 ОПИСАНИЕ:
U3D0 — Схема решения уравнений Это версия для печати схемы установки
MPM 1DI UNIT 3 — РЕШЕНИЕ УРАВНЕНИЙ Учебная цель (я буду):
В этом блоке мы будем решать уравнения первой степени, а задачи со словами можно моделировать уравнениями первой степени.
Критерии успеха (я могу…):
- Решите простые уравнения
- Решите многоступенчатые уравнения
- Решите уравнения с дробями
- Переставить формулы с переменными первой степени
- Решите задачи со словами, которые можно смоделировать уравнением с одной переменной
- Решить проблемы с применением процента, соотношения, ставки и соотношения
День
| Урок
| Текст Арт. | Назначить. / Домашнее задание
|
| 1 | Диагностический тест U3D1 Решение простых уравнений U3D1_T_ Решение простых уравнений | 4,1 | стр. |
| 2 | U3D2_S_ Решение многоступенчатых уравнений U3D2_T_ Решение многоступенчатых уравнений | 4.2 | стр. 200-202 # 2, 4 («корень» просто означает «решение»), 5a, 6a, 8, 9, 10, 13 Вызов Страница 203 # 18-21 Дополнительный рабочий лист решения уравнений Тест №1 ПРАКТИКА Практика для викторины № 1 Решения |
| 3 | ВИКТОРИНА № 1 U3D3_S — Решение уравнений с дробями, часть 1 U3D3_T — Решение уравнений с дробями I (перекрестное умножение) | 4.3 | стр. 208-209 # 1, 3ac, 4ac, 5 — 8 |
| 4 | U3D4_S — Решение уравнений с дробями, часть 2 U3D4_T — Решение уравнений с дробями II | 4,3 | стр. Рабочий лист 3.3 Решение уравнений с дробями Рабочий лист 3.3 Решения Задание страница 210 # 13 U3D4 Викторина № 2 ПРАКТИКА U3D4_Quiz # 2 PRACTICE Solutions |
| 5 | ВИКТОРИНА № 2 U3D5_S — Моделирование с помощью формул (перестановка уравнений) U3D5_T — Моделирование с помощью формул | 4.4 | стр. 215-219 № 1-3, 6-8, 10-12, 15, 16а Вызов, страница 219 # 18, 19 U3D5_W — Рабочий лист — Дополнительная практика с уравнениями |
| 6 | U3D6_S Number Story Вопросы U3D6_T Номер История Вопросы | 4,5 | стр. 226-227 № 1-11 Дополнительная практика: Рабочий лист 3.4 Число Рассказ Вопросы Дополнительная практика Рабочий лист 3. |
| 7 | U3D7_S История вопроса о расценке единицы U3D7_T История вопроса о расценке единицы | 4,5 | Рабочий лист 3.5 Вопросы для рассказа о расценках на единицу Рабочий лист 3.5 Решения |
| 8 | Блок 3 Обзор U3D8_S Обзорная информация См. Старый тест в Google Classroom, чтобы понять, чего ожидать. | Пг 230-231 # 2, 5, 7, 8, 9, 11, 12-16, Finish U3D5_W — Рабочий лист — Дополнительная практика с уравнениями для большей практики Дополнительная практика: Стр. 232-233 № 1-10 U3D8_W_Extra Review Story Questions U3D8_W_Extra Review РЕШЕНИЯ История вопросов | |
| 9 | ТЕСТ |
Срок действия этой информации истекает после печати.
Пожалуйста, всегда обращайтесь к онлайн-версии для получения самой последней информации.
Алгебра 1 Общие основные ответы Глава 1 Основы для упражнения по алгебре 1.9
Алгебра 1 Общие основные ответы Студенческое издание 8–9 классы Глава 1 Основы алгебры Упражнение 1.9Алгебра 1 Общие основные ответы Студенческое издание 8–9 классы
Глава 1 Основы упражнения по алгебре 1.9 1LC
Глава 1 Основы упражнения по алгебре 1.9 1RE
Глава 1 Основы упражнения по алгебре 1.9 2LC
Глава 1 Основы упражнения по алгебре 1.9 2RE
Глава 1 Основы упражнения по алгебре 1.9 3LC
для упражнения по алгебре 1.9 3RE
Глава 1 Основы упражнения по алгебре 1.9 4LC
Глава 1 Основы упражнения по алгебре 1.9 4RE
Глава 1 Основы алгебры Упражнение 1.
9 5LC
Цель состоит в том, чтобы различать индуктивные и дедуктивные рассуждения.
Индуктивное рассуждение — это процесс достижения вывода, который начинается с наблюдаемого образца. Он основан на предположении, что наблюдаемая картина продолжается. Итак, в реальном мире вывод может быть не всегда верным.
С другой стороны, дедуктивное рассуждение — это процесс логического достижения вывода, который начинается с истинных правил.Итак, вывод должен быть верным.
Глава 1 Основы алгебры Упражнение 1.9 6LC
Цель состоит в том, чтобы найти сходство и различие между написанием уравнения, представляющего ситуацию с двумя переменными, и написанием уравнения, представляющего ситуацию, включающую только одну переменную.
Сходство состоит в том, что каждое уравнение содержит неизвестные значения.
Одно отличие состоит в том, что одна из них содержит только одну переменную, а другая представляет собой отношение, связывающее две переменные.
Глава 1 Основы упражнения по алгебре 1.9 7LC
Глава 1 Основы упражнения по алгебре 1.9 8E
Глава 1 Основы упражнения по алгебре 1.9 9E
10E
Глава 1 Основы упражнения по алгебре 1.9 11E
Глава 1 Основы упражнения 1.9 12E
Глава 1 Основы упражнения по алгебре 1.9 13E
Глава 1 Основы упражнения по алгебре 1.9 14E
Глава 1 Основы упражнения по алгебре 1.9 15E
Глава 1 Основы упражнения по алгебре 9000 9000 1 Основы упражнения по алгебре 1.9 17E
Глава 1 Основы упражнения по алгебре 1.9 18E
Глава 1 Основы упражнения по алгебре 1.9 19E
Глава 1 Основы упражнения по алгебре 1.
9 20E
Глава 1 Основы упражнения по алгебре 1.9 21E
Глава 1 Упражнение по алгебре 1,
Глава 1
Глава 1 Основы упражнения по алгебре 1.9 23E
Глава 1 Основы упражнения по алгебре 1.9 24E
Глава 1 Основы упражнения по алгебре 1.9 25E
Глава 1 Основы упражнения по алгебре 1.9 26E
Глава 1 Основы упражнения по алгебре 1.9 27E
Глава 1 Основы упражнения по алгебре 1 972 28E
для упражнения по алгебре 1.9 29E Глава 1 Основы упражнения по алгебре 1.9 30E
Глава 1 Основы упражнения по алгебре 1.9 31E
Глава 1 «Основы алгебры. Упражнение 1.9» 32E
Глава 1 «Основы алгебры.
Упражнение 1.9» 33E
Рассмотрим шаблон «Каждый пакет содержит 12 карандашей».
Итак, на количество карандашей влияет количество пакетов. Чтобы найти общее количество карандашей в нескольких пакетах, вам нужно умножить количество пакетов на количество карандашей, содержащихся в каждом пакете. Например, общее количество карандашей в 5 пакетах составляет.
Две переменные необходимы для представления шаблона с помощью уравнения: одна представляет количество пакетов, а другая — количество карандашей.
Пусть x представляет количество пакетов, а y представляет количество карандашей.
Поскольку каждый пакет содержит 12 карандашей, y всегда в 12 раз больше x.
Итак, уравнение, которое представляет шаблон, имеет вид, где x обозначает количество пакетов, y обозначает количество карандашей.
Глава 1 Основы упражнения по алгебре 1.9 34E
Рассмотрим шаблон «Повышение температуры каждые 45 минут».
Предположим, что начальная температура.
Цель состоит в том, чтобы представить узор с помощью таблицы, уравнения и графика.
Обратите внимание,
Итак, если количество часов увеличивается на, температура будет увеличиваться на.
Чтобы представить узор в виде таблицы, нарисуйте две строки с несколькими столбцами.
Обозначьте первую строку «Часы (ч)» и вторую строку «Температуры».
Поместите значения в первую строку.
Две переменные необходимы для представления модели с помощью уравнения: одна представляет часы, а другая — температуру в.
Пусть x представляет часы, а y представляет температуру в дюймах.
Замените метки в таблице переменными.
Глядя на приведенную выше таблицу, вы можете увидеть, что y всегда на 60 больше, чем x.
Итак, уравнение, которое представляет взаимосвязь, выглядит следующим образом: где x обозначает количество часов, а y обозначает температуру в дюймах.
После преобразования дробей в десятичные числа упорядоченные пары, представленные в таблице, следующие:
упорядочить пары на координатной плоскости и соединить их прямой линией.
Вытяните линию с обеих сторон и добавьте стрелки, чтобы показать, что линия продолжается бесконечно.
Глава 1 Основы алгебры. Упражнение 1.9 35E
Рассмотрим упорядоченные пары:
Цель состоит в том, чтобы представить упорядоченные пары с помощью таблицы, графика и уравнения.
В упорядоченной паре первое значение — это координата x, а второе значение — координата y.
Например, координаты x и y первой упорядоченной пары равны 2 и -5,5 соответственно.
Чтобы представить упорядоченные пары с помощью таблицы, нарисуйте две строки, содержащие несколько столбцов.
Обозначьте первую строку «x» и вторую строку «y».
Глава 1 Основы упражнения по алгебре 1.9 36E
Глава 1 Основы упражнения по алгебре 1.9 37E
Глава 1 Основы упражнения по алгебре 1,972
Упражнение по алгебре 1.9 39E Глава 1 Основы упражнения по алгебре 1.
9 40E
Глава 1 Основы упражнения по алгебре 1.9 41E
Глава 1 Основы упражнения по алгебре 1.9 42E
Глава 1 Основы упражнения по алгебре 1.9 43E
Глава 1 Основы упражнения по алгебре 1.9 44E
Упражнение по алгебре 1.9 45E
Глава 1 Основы упражнения по алгебре 1.9 46E
Глава 1 Основы упражнения по алгебре 1.9 47E
Глава 1 Основы упражнения по алгебре 1.9 48E
Глава 1 Основы упражнения по алгебре 1.9 49E
Глава 1 Основы упражнения по алгебре 1.9 50E
Упражнение по алгебре 1.9 51E
Глава 1 Основы упражнения по алгебре 1.9 52E
Глава 1 Основы упражнения по алгебре 1.9 53E
Глава 1 Основы упражнения по алгебре 1.
9 54E
Рабочие листы по алгебре
Добро пожаловать на страницу рабочих листов по алгебре на Math-Drills.com, где неизвестные являются обычным явлением, а переменные — нормой. На этой странице вы найдете рабочие листы по алгебре в основном для учащихся средних школ по таким темам алгебры, как алгебраические выражения, уравнения и функции построения графиков.
Эта страница начинается с некоторых пропущенных рабочих листов для младших школьников.Затем мы сразу переходим к алгебре, помогая студентам распознавать и понимать основной язык, связанный с алгеброй. Остальная часть страницы охватывает некоторые из основных тем, с которыми вы столкнетесь в модулях алгебры. Помните, что, обучая студентов алгебре, вы помогаете создавать будущих финансовых гениев, инженеров и ученых, которые решат все проблемы нашего мира.
Алгебра намного интереснее, когда вещи более реальны. Решать линейные уравнения намного интереснее с двумя весами, загадочными мешочками и кучей мармеладов.
Многие учителя используют плитки алгебры, чтобы помочь студентам понять различные темы алгебры. И нет ничего лучше набора осей координат для решения систем линейных уравнений.
Самые популярные рабочие листы по алгебре на этой неделе
Листы свойств и законов чисел
Коммутативный закон
Коммутативный закон или коммутативное свойство гласит, что вы можете изменить порядок чисел в арифметической задаче и при этом получить те же результаты.В контексте арифметики он работает только с операциями сложения или умножения , но не с смешанными операциями сложения и умножения. Например, 3 + 5 = 5 + 3 и 9 × 5 = 5 × 9. Забавное занятие, которое вы можете использовать в классе, — это мозговой штурм нечисловых вещей из повседневной жизни, которые являются коммутативными и некоммутативными. Например, надевание носков является коммутативным, потому что вы можете надеть правый носок, затем левый носок, или вы можете надеть левый носок, затем правый носок, и вы получите тот же результат.
Однако надевание нижнего белья и брюк не является обязательным.
Ассоциативный закон
Ассоциативный закон или ассоциативное свойство позволяет вам изменять группировку операций в арифметической задаче с двумя или более шагами без изменения результата. Порядок чисел остается неизменным в ассоциативном законе. Как и в случае с коммутативным законом, применяется к задачам только сложения или только умножения.Его лучше всего рассматривать в контексте порядка операций, поскольку он требует, чтобы в первую очередь работали со скобками. Пример ассоциативного закона: (9 + 5) + 6 = 9 + (5 + 6). В этом случае не имеет значения, добавляете ли вы сначала 9 + 5 или 5 + 6, вы получите тот же результат. Учащиеся могут вспомнить несколько примеров из своего опыта, например, положить предметы на поднос во время обеда. Они могут сначала положить на поднос молоко и овощи, затем бутерброд, или начать с овощей и бутерброда, а затем добавить молоко.
Если их лоток выглядит одинаково оба раза, они смоделировали ассоциативный закон. Можно утверждать, что чтение книги является ассоциативным или неассоциативным, поскольку потенциально можно сначала прочитать последние главы и при этом понять книгу так же, как и тот, кто читает книгу обычным способом.
Обратные отношения с
один пробелРабочие листы обратных соотношений охватывают навыки предварительной алгебры, призванные помочь учащимся понять взаимосвязь между умножением и делением и взаимосвязь между сложением и вычитанием.
Обратные отношения с
двумя пробеламиПропущенные числа или неизвестные в таблицах уравнений
Отсутствующие числа в таблицах уравнений трех типов: пропуски для неизвестных, символы для неизвестных и переменные для неизвестных.
Рабочие листы с пропущенными номерами с
пробелами как неизвестными (Пусто Никогда в позиции ответа)В этих таблицах неизвестное ограничено стороной вопроса в уравнении, которая может быть слева или справа от знака равенства.
Рабочие листы с пропущенными номерами с
пробелами как неизвестными (пустые в любом положении)В этих таблицах неизвестное может быть в любой позиции в уравнении, включая ответ.
Рабочие листы с отсутствующими номерами с
символом как неизвестными (Символ никогда не находится в позиции ответа)Рабочие листы с отсутствующими номерами с
символом в качестве неизвестных (символ в любой позиции)Рабочие листы с отсутствующими номерами с неизвестными переменными
(переменная слева; ответ справа)Рабочие листы с отсутствующими номерами с неизвестными переменными
(переменная никогда не находится в позиции ответа)Рабочие листы с отсутствующими номерами с
переменными как неизвестными (переменная в любом положении)Равенства с добавлением
с обеих сторон уравнения и символов как неизвестныхРабочие листы по алгебраическим выражениям
Использование распределительного свойства
Дистрибутивность — важный навык в алгебре.Проще говоря, это означает, что вы можете разделить один из множителей при умножении на слагаемые, умножить каждое слагаемое отдельно, сложить результаты, и вы получите тот же ответ. Это также полезно в мысленной математике, и пример этого должен помочь проиллюстрировать определение. Рассмотрим вопрос, 35 × 12. Разделение 12 на 10 + 2 дает нам возможность ответить на вопрос мысленно, используя свойство распределения. Сначала умножьте 35 × 10, чтобы получить 350. Во-вторых, умножьте 35 × 2, чтобы получить 70.Наконец, прибавьте 350 + 70, чтобы получить 420. В алгебре свойство распределения становится полезным в тех случаях, когда нельзя легко сложить другой множитель перед умножением. Например, в выражении 3 (x + 5) нельзя добавить x + 5, не зная значения x. Вместо этого свойство распределения можно использовать для умножения 3 × x и 3 × 5, чтобы получить 3x + 15.
Вычисление алгебраических выраженийПравила экспонент и свойства
Практика с
базовыми правилами экспонентыКак сказано в названии, эти рабочие листы включают только основные вопросы по правилам экспоненты.Каждый вопрос имеет дело только с двумя экспонентами; запутанные сложные термины и вещи, которые может понять более продвинутый студент, остаются в покое. Например, 4 2 равно (2 2 ) 2 = 2 4 , но эти рабочие листы просто оставляют его как 4 2 , поэтому студенты могут сосредоточиться на изучении того, как умножать и делить показатели более или менее. в изоляции.
Линейные выражения и уравнения
Рабочие листы линейных уравнений, включая упрощение, построение графиков, оценку и решение систем линейных уравнений.
Перевод алгебраических фраз прописью в алгебраические выраженияЗнание языка алгебры может помочь понять смысл словесных задач и ситуаций за пределами школы. В этих рабочих листах студентам предлагается преобразовать фразы в алгебраические выражения.
Упрощение линейных выражений (объединение одинаковых терминов)Комбинирование одинаковых терминов — это то, что часто происходит в алгебре.Студенты могут познакомиться с темой и немного попрактиковаться с этими рабочими листами. Полоса поднимается с добавлением и вычитанием версий, которые вводят круглые скобки в выражения. Для студентов, которые хорошо разбираются в дробях, упрощение простых рабочих листов алгебраических дробей представляет собой небольшую проблему по сравнению с другими рабочими листами в этом разделе.
Переписывание линейных уравнений Определение линейных уравнений по наклонам, пересечениям по оси Y и точкамЛинейное уравнение
ГрафикиПостроение графиков линейных уравнений и чтение существующих графиков дает учащимся наглядное представление, которое очень полезно для понимания концепций наклона и пересечения по оси Y.
Решение линейных уравнений с мармеладом — это увлекательное занятие для студентов, впервые изучающих алгебраические понятия. В идеале вам понадобятся непрозрачные пакеты без массы, но поскольку это невозможно (часть без массы), здесь есть небольшое условие, которое на самом деле поможет студентам лучше понять уравнения. Любые мешки, которые вы используете, должны быть сбалансированы с другой стороны уравнения с пустыми.
Наверное, лучший способ проиллюстрировать это на примере.Давайте используем 3 x + 2 = 14. Вы можете распознать x как неизвестное, что на самом деле является количеством мармеладов, которые мы кладем в каждый непрозрачный пакет. Число 3 в 3 x означает, что нам нужно три сумки. Лучше всего наполнить пакеты необходимым количеством мармеладов так, чтобы ученики не видели их, чтобы им действительно пришлось решать уравнение.
На одной стороне весов с двумя чашами поместите три пакета с мармеладом размером x в каждом и два рыхлых мармелада, чтобы представить + 2 часть уравнения.С другой стороны баланса поместите 14 мармеладов и три пустых мешка, которые, как вы заметите, необходимы для правильного «баланса» уравнения. А теперь самое интересное … если ученики удаляют две рыхлые мармеладки с одной стороны уравнения, все становится несбалансированным, поэтому им нужно удалить две мармеладки с другой стороны весов, чтобы все оставалось равным. Употреблять в пищу мармелад необязательно. Цель состоит в том, чтобы изолировать мешочки с одной стороны весов без каких-либо рыхлых желейных бобов, сохраняя при этом равновесие.
Последний шаг — разделить сыпучие мармеладки с одной стороны уравнения на то же количество групп, что и мешков. Это, вероятно, даст вам хорошее представление о том, сколько мармеладов в каждом пакете. Если нет, съешьте и попробуйте еще раз. Теперь мы понимаем, что это не сработает для каждого линейного уравнения, так как трудно получить отрицательные желе-бобы, но это еще одна стратегия обучения, которую вы можете использовать для алгебры.
Решение линейных уравненийНесмотря на внешность, уравнения типа a / x не являются линейными.Вместо этого они принадлежат к другому виду уравнений. Они хороши для объединения их с линейными уравнениями, поскольку они вводят понятие действительных и недействительных ответов для уравнения (то, что позже будет называться областью определения функции). В этом случае неверными ответами для уравнений в форме a / x являются те, при которых знаменатель становится равным 0.
Линейные системы
Решение систем линейных уравнений Решение систем линейных уравнений с помощью построения графиковКвадратичные выражения и уравнения
Таблицы квадратных выражений и уравнений, включая множители, факторинг и решение квадратных уравнений.
Упрощение квадратичных выражений (объединение одинаковых терминов) Сложение / вычитание и упрощение квадратичных выражений Множители из квадратичных выражений Факторизация квадратичных выраженийТаблицы факторизации квадратичных выражений ниже содержат множество практических вопросов для студентов, чтобы отточить свои стратегии факторинга.Если вы предпочитаете рабочие листы с квадратными уравнениями, см. Следующий раздел. Эти рабочие листы бывают разных уровней, самые простые — в начале. Коэффициенты ‘a’, упомянутые ниже, являются коэффициентами члена x 2 , как в общем квадратичном выражении: ax 2 + bx + c.
Используете ли вы метод проб и ошибок, вычисляя квадрат или общую квадратичную формулу, эти рабочие листы включают множество практических вопросов с ответами.В первом разделе рабочие листы включают вопросы, в которых квадратичные выражения равны 0. Это делает процесс факторингом квадратичных выражений, с дополнительным шагом нахождения значений для x, когда выражение равно 0. Во втором разделе выражения обычно равны чему-то отличному от x, поэтому в начале есть дополнительный шаг, чтобы квадратное выражение было равно нулю.
Решение квадратных уравнений , что равняется нулю (e.грамм. ax² + bx + c = 0) Решение квадратного уравнения , которое равно целому числу (например, ax² + bx + c = d)Другие полиномиальные и мономиальные выражения и уравнения
Таблицы факторинга неквадратичных выражений разного уровня сложности.
Упрощающие полиномы , включающие сложение и вычитание Упрощающие многочлены , включающие умножение и деление Упрощающие полиномы , включающие сложение, вычитание, умножение и делениеВыражения факторинга, которые
не включают квадратную переменнуюФакторинговые выражения
, которые всегда включают квадратную переменнуюФакторинговые выражения
, которые иногда включают квадраты переменных Умножение многочленов на два множителя Умножение многочленов на три множителяНеравенства, включая графики
Рабочие листы неравенств, включающие запись неравенства, которая соответствует графику, и отображение неравенств на числовой прямой.


7 10gb nic
193-195 № 3, 5, 6, 8-13, 16, 18, 20
208-210 # 3bd, 4bd, 11, 12,
4 Решения