№2. Вычислите. Домашняя контрольная работа №4 вариант 1. Есть гдз? – Рамблер/класс
№2. Вычислите. Домашняя контрольная работа №4 вариант 1. Есть гдз? – Рамблер/классИнтересные вопросы
Школа
Подскажите, как бороться с грубым отношением одноклассников к моему ребенку?
Новости
Поделитесь, сколько вы потратили на подготовку ребенка к учебному году?
Школа
Объясните, это правда, что родители теперь будут информироваться о снижении успеваемости в школе?
Школа
Когда в 2018 году намечено проведение основного периода ЕГЭ?
Новости
Будет ли как-то улучшаться система проверки и организации итоговых сочинений?
Вузы
Подскажите, почему закрыли прием в Московский институт телевидения и радиовещания «Останкино»?
ответы
Я вот что нарешала
ваш ответ
Можно ввести 4000 cимволов
отправить
дежурный
Нажимая кнопку «отправить», вы принимаете условия пользовательского соглашения
похожие темы
ЕГЭ
10 класс
9 класс
11 класс
похожие вопросы 5
Домашняя контрольная работа № 3 Вариант 2 10.
При каких значениях р уравнение… Мордкович 8 класс алгебра
10. При каких значениях р уравнение -х 2 + 6х — 2 = р:
а) не имеет корней;
б) имеет один корень; (Подробнее…)
ГДЗМордкович А.Г.Алгебра8 класс
Когда скорость изменения функции будет наибольшей или наименьшей? Алгебра 10-11 класс Колмогоров Упр 308
Совсем я в точных науках не сильна) Кто поможет?) Найдите значения аргумента из промежутка [-2; 5], при которых скорость изменения (Подробнее…)
ГДЗ11 классКолмогоров А.Н.Алгебра
ГДЗ Тема 21 Физика 7-9 класс А.В.Перышкин Задание №476 Изобразите силы, действующие на тело.
Привет всем! Нужен ваш совет, как отвечать…
Изобразите силы, действующие на тело, когда оно плавает на поверхности жидкости. (Подробнее…)
ГДЗФизикаПерышкин А.В.Школа7 класс
9. Определите ряд, в котором в обоих словах пропущена одна и та же буква. ЕГЭ-2017 Русский язык Цыбулько И.
П. ГДЗ. Вариант 12.
9.
Определите ряд, в котором в обоих словах пропущена одна и та же буква. Выпишите
эти слова, вставив пропущенную букву. (Подробнее…)
ГДЗРусский языкЕГЭЦыбулько И.П.
11. Выпишите слово, в котором на месте пропуска пишется буква Е. Русский язык ЕГЭ-2017 Цыбулько И. П. ГДЗ. Вариант 12.
11.
Выпишите слово, в котором на месте пропуска пишется буква Е.
ГДЗЕГЭРусский языкЦыбулько И.П.
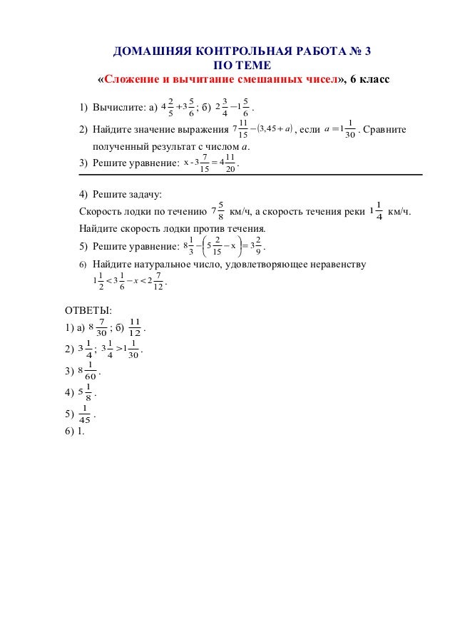
Ответы Задание Домашняя контрольная работа № 9 Домашние контрольные работы ГДЗ по математике 5 класс Зубарева Мордкович учебник ответы
Авторы: Зубарева, Мордкович
Издательство: Мнемозина
Тип книги: Учебник
1234567891011121314151617181920212223242526272829303131. Контрольные задания323334353637383940414243444546474849505152535454. Контрольные задания55565758596061626364656667686969. Контрольные задания707172737475767778798081828384858686.
Контрольные задания87888990919293949596979899100101101. Контрольные задания102103104105106107108109110111112113114115116116. Контрольные задания117118119120121122123124125126127128129129. Контрольные задания130131132133134135136137138139140141142143144145146147148149149. Контрольные задания150151152153154155156157158159160161162163164165166166. Контрольные задания167168169170171172173174175176177178179180181182183184185186187188189190191192193193. Контрольные задания194195196197198199200201202203204204. Контрольные задания205206207208209210211211. Контрольные задания212213214215216217218219220221222223224225226227228229230231232232. Контрольные задания233234235236237238239240241241. Контрольные задания242243244245246247248249250251252253254255256257258259259. Контрольные задания260261262263264265266267268269270271272272. Контрольные задания273274275276277278278. Контрольные задания279280281282283284285286287288289290291292293294295296297298299299. Контрольные задания300301302303304305306307308309310311312313314315316317318319319.
Контрольные задания320321322323324325326327328329330331332333334335336337338339340340. Контрольные задания341342343344345346347348349350351352353354355356357358359360361362363364365366367368369370371372373374375375. Контрольные задания376377378379380381382383384385386387388389390391392393394395396397398399400401402403404404. Контрольные задания405406407408409410411412413414415416417418419419. Контрольные задания420421422423424425426427428429430431432433434435436437438439440441442443444445446447448449450451452453454455456457458459460461462463463. Контрольные задания464465466467468469470471472473474475476477478478. Контрольные задания479480481482483484485486487488489490491492493494495496497498499500501502503504504. Контрольные задания505506507508509510511512513514514. Контрольные задания515516517518519519. Контрольные задания520521522523524525526527528529530530. Контрольные задания531532533534535536537538539540541542543544544. Контрольные задания545546547548549550551552553554555556557558559560561562563564565565.
Контрольные задания566567568569570571572573574575576577578578. Контрольные задания579580581582583584585586587588589590591592593594595596597598599600601602602. Контрольные задания603604605606607607. Контрольные задания608609610611612613614615616617618618. Контрольные задания619620621622623624625626627628629630631631. Контрольные задания632633634635636637638639640641642642. Контрольные задания643644645646647648649650651652653654655655. Контрольные задания656657658659660661662663664665666667668669670671672673674674. Контрольные задания675676677678679680681682683684684. Контрольные задания685686687688689690691692693694695696697698699700701702702. Контрольные задания703704705706707708709710711712713714715716717718719720721722723724725726727728729730731732733734735736737738739740741742743744745746747748749749. Контрольные задания750751752753754755756757758759760761762763764765766767768768. Контрольные задания769770771772773774775776777778779780781782783784785786787788789790791792793794794. Контрольные задания795796797798799800801802803804805806807808809810811812813814815816817818819820821822822.
Контрольные задания823824825826827828829830831832833834835836837838839840841842843844845846847848849850851852853854855856857858859860861862862. Контрольные задания863864865866867868869870870. Контрольные задания871872873874875876877878879880881882883884885886887888889890891892893893. Контрольные задания894895896897898899900901902903904905906906. Контрольные задания907908909910911912913914914. Контрольные задания915916917918919920921922923924925926927928929930931931. Контрольные задания932933934935936937938939940941942943944945946947948949950951952953954955956957958958. Контрольные задания959960961962963964965965. Контрольные задания966967968969970971972973974975976977978979980981982983984985986987988988. Контрольные задания Домашняя контрольная работа № 1Домашняя контрольная работа № 2Домашняя контрольная работа № 3Домашняя контрольная работа № 4Домашняя контрольная работа № 5Домашняя контрольная работа № 6Домашняя контрольная работа № 7Домашняя контрольная работа № 8Домашняя контрольная работа № 9
Средняя оценка 0 / 5.
Количество оценок: 0
Оценок пока нет. Поставьте оценку первым.
COVID.gov/tests — Бесплатные домашние тесты на COVID-19
Прежде чем выбрасывать «просроченные» тесты: Проверьте, не были ли продлены сроки годности ваших тестов на COVID-19.
Каждая семья в США имеет право заказать 4 бесплатных домашних теста на COVID-19.
Закажите бесплатные тесты на дому
Нужна помощь в размещении заказа на домашние тесты?
Позвоните по телефону 1-800-232-0233 (TTY 1-888-720-7489).
Ресурсы для тестирования
Нужен тест на COVID-19 прямо сейчас? Доступны указанные ниже ресурсы.
Домашние тесты в розничных магазинах и аптеках
Домашние тесты доступны для продажи в США. Узнайте у местных розничных продавцов и аптек, где доступны домашние тесты.
Страховое возмещение за тесты на дому
Если у вас есть медицинская страховка от работодателя, Marketplace, Medicare или Medicaid, ваша страховка будет оплачивать 8 тестов на дому каждый месяц для каждого участника вашего плана.
Узнайте больше о страховом возмещении
Более 15 000 бесплатных пунктов тестирования
Бесплатные тесты на антиген и ПЦР-тесты на COVID-19 доступны всем в США, включая незастрахованных, в более чем 15 000 пунктов по всей стране.
Найдите дополнительные ресурсы в вашем штате.
О домашних тестах на COVID-19
Тесты, доступные для заказа:
- Являются экспресс-тестами на антиген в домашних условиях, а не ПЦР
- Можно взять с собой куда угодно
- Получение результатов в течение 30 минут (доставка в лабораторию не требуется)
- Работайте независимо от того, есть у вас симптомы COVID-19 или нет
- Работайте независимо от того, используете ли вы последние вакцины против COVID-19 или нет
- Также называются тестами для самодиагностики или безрецептурными тестами
Прочитать часто задаваемые вопросы
Вы можете добровольно сообщить о положительных или отрицательных результатах теста на COVID-19 через MakeMyTestCount.
org, чтобы помочь в усилиях общественного здравоохранения.
ОТЧЕТ О РЕЗУЛЬТАТАХ ИСПЫТАНИЙ
Пройдите домашний тест:
- Если у вас появятся симптомы COVID-19, такие как лихорадка, боль в горле, насморк или потеря вкуса или обоняния, или
- По крайней мере, через 5 дней после того, как вы вступили в тесный контакт с кем-то, у кого есть COVID-19, или
- Когда вы собираетесь собраться с группой людей, особенно с теми, кто подвержен риску тяжелого заболевания или не в курсе своего COVID-19вакцины
Что делать, если тест
положительный?Положительный результат домашнего теста означает, что тест выявил вирус и, скорее всего, у вас есть COVID-19.
Если у вас положительный результат теста, следуйте последним рекомендациям CDC по изоляции.
Лекарства от COVID-19 теперь широко доступны. Если у вас положительный результат теста и вы подвержены высокому риску тяжелого течения COVID-19 (возраст 50 лет и старше, ослабленная иммунная система или другие состояния здоровья), как можно скорее поговорите с врачом о доступных вариантах лечения.
Программа Test-to-Treat — это простой способ получить лечение. Пункты Test-to-Treat дадут вам тест и лечение. Найдите пункт Test-to-Treat рядом с вами
Что делать, если вы тестируете
Отрицательно?Отрицательный результат теста на дому означает, что тест не обнаружил вирус, и у вас может быть меньший риск распространения COVID-19 среди других. Конкретные дальнейшие действия см. в инструкциях к вашему тестовому набору. Если у вас отрицательный результат, вы должны пройти повторный тест в течение нескольких дней с интервалом не менее 24 часов между тестами.
Если результат теста отрицательный, следуйте последним рекомендациям CDC по самостоятельномутестированию.
Abbott Diagnostics Scarborough, Inc.: |
|
|
|
|
Abbott Diagnostics Scarborough, Inc.: |
|
|
|
|
Access Bio, Inc.: Альтернативное торговое наименование: |
|
|
|
|
ACON Laboratories, Inc: Альтернативное торговое наименование: |
|
|
|
|
Aptitude Medical Systems Inc.: тест Metrix COVID-19 |
|
|
|
|
Becton, Dickinson and Company (BD): |
|
|
|
|
Celltrion USA, Inc.: |
|
|
|
|
CTK Biotech, Inc.: |
|
|
|
|
Cue Health Inc.: |
|
|
|
|
Detect, Inc.: |
|
|
|
|
Ellume Limited: |
|
|
|
|
Genabio Diagnostics Inc.: |
|
|
|
|
iHealth Labs, Inc.: Альтернативное торговое наименование: |
|
|
|
|
InBios International Inc: |
|
|
|
|
Lucira Health, Inc: |
|
|
|
|
Maxim Biomedical, Inc.: |
|
|
|
|
OraSure Technologies, Inc.: |
|
|
|
|
OSANG LLC: Альтернативное торговое наименование: |
|
|
|
|
PHASE Scientific International, Ltd.: |
|
|
|
|
Корпорация Quidel: Альтернативные торговые марки:
|
|
|
|
|
SD Biosensor, Inc.: |
|
|
|
|
Siemens Healthineers: |
|
|
|
|
Watmind США: |
|
|
|
|
Xiamen Boson Biotech Co., Ltd.: |
|
|
|
|
ANP Technologies, Inc.: |
|
|
|
|
Beijing Hotgen Biotech Co., Ltd.: |
|
|
|
|
CorDX, Inc.: CorDx COVID-19 Ag Test |
|
|
|
|
Azure Biotech Inc.: Домашний тест Fastep на антиген COVID-19 |
|
|
|
|
ООО «Литейный завод Oceanit»: ASSURE-100 Rapid COVID-19 |
|
|
|
![]() |

ссылку для списка обновленных дат истечения срока действия
Испытание проводится два раза в течение трех дней (серийное испытание)
ссылку для обновленных сроков действия
этикетку на коробке
этикетку на упаковке
ссылку для списка обновленных дат истечения срока действия
ссылку для списка обновленных сроков действия
ссылку для списка обновленных сроков действия
Испытание проводится два раза в течение трех дней (серийное испытание)
ссылку для получения обновленной даты истечения срока действия
Испытание проводится два раза в течение трех дней (серийное испытание)
этикетку на коробке
этикетку на коробке
