ГДЗ Решебник Алгебра 9 класс Задачник «Мнемозина» Мордкович, Александрова, Мишустина.
ГДЗ Решебник Алгебра 9 класс Задачник «Мнемозина» Мордкович, Александрова, Мишустина.Алгебра 9 классЗадачникМордкович, Александрова, Мишустина«Мнемозина»
Зачастую обучение в школе проходит не так гладко, как хотелось бы большинству родителей. Да это и не удивительно, учитывая сложность учебной программы. Поэтому учащимся может весьма пригодится решебник к учебнику «Алгебра 9 класс Задачник, авторы: Мордкович, Александрова, Мишустина» от издательства Мнемозина, которое входит в серии УМК «». В сборнике подробно приводятся решения всех заданий, которые так же сопровождаются условиями.
ГДЗ «Алгебра 9 класс Задачник, авторы: Мордкович, Александрова, Мишустина» поможет преодолеть множество трудностей в ходе обучения:
- дополнить и углубить свои познания;
- разобраться в мельчайших аспектах предмета Алгебра;
- исправить допущенные ошибки;
- повысить успеваемость.

Делитесь решением с друзьями, оставляйте комментарии — они помогают нам становится лучше!
Задачи на повторение
1234567891011121314151617181920212223242526272829303132333435363738394041424344454647484950515253545556575859Глава 1. § 1
1234567891011121314151617181920212223242526Глава 1. § 2
12345678910111213141516171819202122232425262728293031323334353637Глава 1. § 3
12345678910111213141516171819202122232425Глава 1. § 4
12345678910111213141516171819202122232425262728293031323334353637383940Глава 2. § 5
123456789101112131415161718192021222324252627282930313233343536373839Глава 2. § 6
123456789101112131415161718192021222324Глава 2. § 7
12345678910111213141516171819202122232425262728293031323334353637383940414243444546474849505152535455Глава 3. § 8
1234567891011121314151617181920212223242526272829303132333435363738Глава 3. § 9
12345678910111213141516171819Глава 3. § 10
12345678910111213141516171819202122232425262728Глава 3.
§ 1112345678910111213141516171819202122232425262728293031323334Глава 3. § 12
12345678910111213141516171819202122232425262728293031323334353637Глава 3. § 13
12345678910111213141516171819202122232425Глава 3. § 14
12345678910111213141516171819202122232425262728Глава 4. § 15
123456789101112131415161718192021222324252627282930313233343536373839404142Глава 4. § 16
12345678910111213141516171819202122232425262728293031323334353637383940414243444546474849505152535455565758596061626364656667686970Глава 4. § 17
12345678910111213141516171819202122232425262728293031323334353637383940414243444546474849505152535455565758Глава 5. § 18
12345678910111213141516171819202122232425Глава 5. § 19
1234567891011121314151617181920Глава 5. § 20
12345678910111213141516171819202122Глава 5. § 21
12345678910Итоговое повторение Числовые выражения
12345678910111213141516171819202122232425262728293031323334353637383940414243Итоговое повторение Алгебраические выражения
123456789101112131415161718192021222324252627282930313233343536373839404142434445464748Итоговое повторение Функции и графики
123456789101112131415161718192021222324252627282930313233343536373839404142434445464748495051525354555657585960616263646566676869707172737475767778798081828384858687888990919293949596979899100101102103104105106107108109110111112113114115116117118119120121122123124125126127128129130131132133134135136137138139140141142143144145146147148149150151152153154155156157158159160161162163164165166167168169170171172173174175176177178179180181182183184185Итоговое повторение Уравнения и системы уравнений
1234567891011121314151617181920212223242526272829303132333435363738394041424344454647484950515253545556575859606162636465666768697071727374757677787980818283848586878889Итоговое повторение Неравенства и системы неравенств
123456789101112131415161718192021222324252627282930313233343536373839404142434445464748495051525354555657585960616263646566676869707172737475767778798081828384858687888990919293949596979899100101102103104105106107108109110111112113114115Итоговое повторение Задачи на состовление уравнений или систем уравнений
1234567891011121314151617181920212223242526272829303132333435363738Итоговое повторение Арифметическая и геометрическая прогрессии
1234567891011121314151617181920212223242526272829303132333435363738394041424344454647484950515253545556575859606162636465666768697071727374757677787980Домашняя контрольная работа №1 Вариант 1
12345678910Домашняя контрольная работа №1 Вариант 2
12345678910Домашняя контрольная работа №2 Вариант 1
12345678910Домашняя контрольная работа №2 Вариант 2
12345678910Домашняя контрольная работа №3 Вариант 1
12345678910Домашняя контрольная работа №3 Вариант 2
12345678910Домашняя контрольная работа №4 Вариант 1
12345678910Домашняя контрольная работа №4 Вариант 2
12345678910Домашняя контрольная работа №5 Вариант 1
1234567Домашняя контрольная работа №5 Вариант 2
1234567Похожие ГДЗ Алгебра 9 класс
Алгебра 7-9 классКонтрольные работы (Углубленный уровень)Мордкович«Мнемозина»
Алгебра 7-9 классТесты (Базовый уровень)Мордкович, Тулбчинская«Мнемозина»
Алгебра 9 классЗадачник (Углубленный уровень)2Мордкович, Звавич, Рязановский, Александрова«Мнемозина»
Алгебра 9 классУчебник (Углубленный уровень)Мордкович, Николаев«Мнемозина»
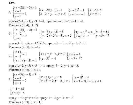
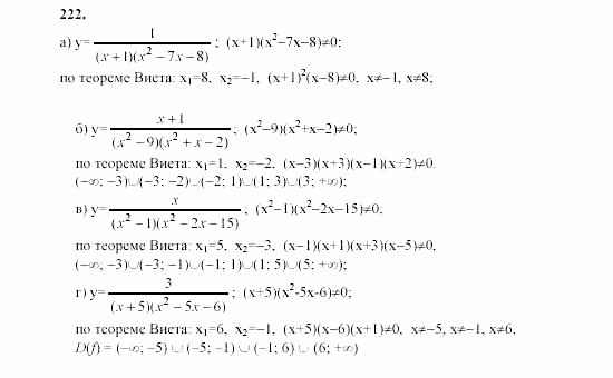
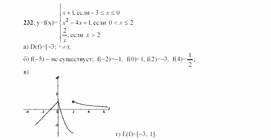
Задачи на повторение: 1
Предыдущее
Следующее
Условие
Решебник №1
Решебник №2
Решебник №3
Решебник №4
Предыдущее
Следующее
закрытьГДЗ и решебники
Мордкович А.
Г., Мишустина Т.Н., Алгебра. 9 класс. Задачник- формат djvu
- размер 899.52 КБ
- добавлен 07 января 2010 г.
Тип: Учебник
Издательство: Мнемозина
Год издания: 2002
Cтраниц: 132
Основная особенность задачника — тщательно выстроенная система
упражнений по степени нарастания трудности. Названия параграфов
задачника и учебника идентичны. Учебник и задачник прошли широкую
экспериментальную проверку в школах России. ОГЛАВЛЕНИЕ Предисловие
для учителя 3 Задачи на повторение 5 Глава
1. Линейные и квадратные неравенства 13 §
2. Рациональные неравенства 15 §
3. Системы рациональных неравенств 20 Домашняя контрольная работа№1 27 Глава
2. СИСТЕМЫ УРАВНЕНИЙ §
4. Основные понятия 30 §
5. Методы решения систем уравнений 38 §
6.
Системы уравнений как математические модели реальных ситуаций 43
Домашняя контрольная работа №2 50 Глава3. ЧИСЛОВЫЕ ФУНКЦИИ §
7. Определение числовой функции. Область определения, область значений функции 53 §
8. Способы задания функций 58 §
9. Свойства функций й 66 §
10. Четные и нечетные функции 68 §
12. Функции у = х-n (п е N), их свойства и графики 78 §
13. Как построить график функции у = mf(x), если известен график функции у = f(x) 81 Домашняя контрольная работа №3 83 Глава
4. ПРОГРЕССИИ §
14. Числовые последовательности 86 §
15. Арифметическая прогрессия 91 §
16. Геометрическая прогрессия 101 Домашняя контрольная работа №4 110 Глава
5. ЭЛЕМЕНТЫ ТЕОРИИ ТРИГОНОМЕТРИЧЕСКИХ ФУНКЦИЙ §
17. Числовая окружность 112 §
18. Числовая окружность на координатной плоскости 115 §
19. Синус и косинус. Тангенс и котангенс 118 §
20. Тригонометрические функции числового аргумента 122 §
21.
Тригонометрические функции углового аргумента 124 §22. Функции у = sin х, у = cos x, их свойства и графики 127 Домашняя контрольная работа №5 130 Ответы 132
Смотрите также
- формат djvu
- размер 2.13 МБ
- добавлен 18 июня 2010 г.
Мордкович А. Г. Алгебра и начала математического анализа. 10—11 классы. В 2 ч. Ч. 2. Задачник (базовый уровень). Издательство: Мнемозина. Год: 2009. Страниц: 239. Предлагаемый задачник по курсу «Алгебра и начала математического анализа» в 10—11-м классах (базовый уровень) соответствует одноименному учебнику. В каждом параграфе задачника представлена разнообразная система упражнений, включающая четыре уровня — по степени нарастания трудности. Уче…
- формат djvu
- размер 2.69 МБ
- добавлен
06 июля 2010 г.

Мордкович А. Г. Алгебра. 7 класс. В 2 ч. Ч .2. Задачник для учащихся общеобразовательных учреждений Автор: А. Г. Мордкович, Л. А Александрова, Т. Н. Мишустина, Е. Е. Тульчинская Издательство: Мнемозина Год: 2009 Страниц: 270 Задачник (13-е изд., испр. ) представляет собой вторую часть комплекта из двух книг, предназначенных для изучения курса алгебры в 7-м классе (первая часть — учебник). Задачник содержит разнообразные системы упражнений, тщате…
- формат djvu
- размер 1.06 МБ
- добавлен 07 июня 2011 г.
А. Г. Мордкович, Т. Н. Мишустина, Е. Е. Тульчинская. 4-е изд., испр. М.: Мнемозина, 2001. 160 с: ил. Задачник содержит разнообразные системы упражнений, тщательно выстроенные на четырех уровнях — по степени нарастания трудности. В задачнике учтен опыт работы учителей.
- формат pdf
- размер 1.62 МБ
- добавлен 08 января 2010 г.
Учебно-практическое пособие. Страниц ч.1. 247 и ч.2. 45. к задачнику «Алгебра. 7 класс: Задачник для общеобразоват. учреждений. — 3-е изд., доработ. » А. Г. Мордкович и др. VI.: «Мнемозина», 2000 г. Часть I и 2.
- формат djvu
- размер 3.01 МБ
- добавлен 18 июня 2010 г.
Мордкович А. Г. и др. Алгебра и начала математического анализа. 10 класс В 2 ч. Ч. 2. Задачник (профильный уровень). Издательство: Мнемозина. Год: 2009. Страниц: 343. Задачник представляет собой вторую часть комплекта из двух книг предназначенных для изучения курса алгебры и начал математического анализа в 10-м классе с профильной подготовкой по математике (первая часть — учебник).
- формат djvu
- размер 2.08 МБ
- добавлен 06 июля 2010 г.
Мордкович А. Г., Николаев Н. П. Алгебра. 7 класс. В 2 ч. Ч. 2. Задачник для учащихся общеобразовательных учреждений Издательство: Мнемозина Год: 2009 Страниц: 207 Это — вторая часть комплекта для изучения алгебры-7 для классов с повышенным уровнем математической подготовки в общеобразовательных школах (первая часть — учебник). Данный комплект адресован не специализированным математическим школам или классам с собственными авторскими программами…
- формат djvu, pdf
- размер 5.01 МБ
- добавлен 08 января 2010 г.
Учебное пособие. Страниц 251+984. к задачнику «Алгебра и начала анализа. Задачник для 10-11 кл. общеобразовательных учреждений Л.
- формат pdf
- размер 1.87 МБ
- добавлен 26 ноября 2009 г.
Предлагаемое учебное пособие содержит подробное решение заданий к задачнику «Алгебра и начала анализа. Задачник для 10-11 кл. общеобразовательных учреждений А. Г. Мордкович, Л. О. Денищева, Т. А. Корешкова, Т. Н. Мишустина, Е. Е. Тульчинская — М. : 2001 г. » Пособие адресовано в первую очередь школьникам, испытывающим трудности в решении задач по алгебре, а также их родителям для проверки уровня готовности ученика к контрольным работам. 251 с.
Tony’s Take October 2021 — AMS Math в СМИ
Опубликовано Тони Филлипс
- Геометрическая задача премьер-министра
- Удивительные математические песочницы
Задача премьер-министра по геометрии
У французского императора Наполеона была теорема, у президента США Гарфилда было доказательство, а теперь у премьер-министра России Михаила Мишустина есть задача по геометрии.
Об этой истории сообщил Алекс Беллос в своей колонке головоломок в понедельник в The Guardian от 20 сентября 2021 г. «Ранее в этом месяце премьер-министр России Михаил Мишустин отметил первый день учебного года, посетив урок математики в шестом классе одной из ведущих научно-ориентированных школ своей страны». Это физико-технический лицей им. Капицы в Долгопрудном, городе примерно в 20 км к северу от Москвы; шестой класс примерно соответствует старшему году в средней школе. Во время своего визита он поставил перед студентами задачу по геометрии.
Беллос показывает нам фотографию Мишустина у доски со схемой
задачи, в которой он провел линии через точку и
концы диаметра и отметил образовавшийся вписанный угол как прямой.
Беллос дает нам подсказку: полезно вспомнить, что три высоты треугольника (высота: «линия, проведенная из угла и пересекающая противоположную сторону под прямым углом») сходятся в одной точке.
Дайте себе несколько минут, чтобы подумать о проблеме и подсказке, прежде чем смотреть на презентацию Беллосом решения.
Удивительные математические кучи песка
Профессор Висконсинского университета Джордан Элленберг опубликовал статью «Математика удивительной кучи песка» в онлайн-журнале Nautilus 6 октября 2021 года. »), где песчинки заселяют квадраты сетки по следующему правилу: ни в одном квадрате не может быть более трех песчинок, а если добавляется четвертое зерно, то четыре расходятся, по одному в каждый из четырех соседних квадратов. Элленберг набросал, что произойдет, если два соседних квадрата на пустой сетке начнутся с 4 зерен:
Квадрат слева теряет свои 4 зерна из-за 4 соседних квадратов; тогда у квадрата справа их больше трех, поэтому он проигрывает четыре своим 4 соседям. Обратите внимание, что не имеет значения, какой квадрат рассеется первым: этот клеточный автомат представляет собой абелеву песочницу. Элленберг впервые показывает нам удивительную сложность, которую может породить это простое правило.
Предположим, мы поместили большое количество зерен на один квадрат посреди бесконечной пустой сетки. «Вы можете представить, что в итоге у вас получится большая гладкая куча песка с большой площадью около центра точек, заполненной максимум тремя песчинками. Вы неправильно представляете. Вот что вы получаете: 9{20} $ (около миллиона) зерен, сложенных в центре. Квадраты сетки имеют цветовую маркировку: синий: 0 зерен; голубой: 1 зерно; желтый: 2 зерна; темно-бордовый: 3 зерна. Пурпурные области являются результатом шахматной упаковки синего и темно-бордового цветов. Изображение (в полном разрешении — примерно 760 $\x 760 $ — каждый пиксель представляет собой квадрат сетки) предоставлено Уэсли Пегденом. Это одна из нескольких таких картинок в статье Элленберга. Он объясняет: «Эти изображения были созданы Уэсом Пегденом, профессором математики в Карнеги-Меллон, чья работа с Лайонелом Левином и Чарли Смартом […] из Корнелла стоит на переднем крае исследований песочных куч. У Пегдена есть интерактивные изображения песчаных отвалов на миллиард песчинок на его веб-сайте.
Затем Элленберг рассказывает нам о динамике поведения кучи песка. Стабильная конфигурация оказывается с плотностью около 2,125 зерен/квадрат. Как он отмечает, этот критический порог является «разделительной линией между тишиной и хаосом». Явление этого критического состояния можно исследовать на конечной сетке, где рассеянное по краю зерно просто исчезает. Предположим, мы начинаем с пустой сетки и добавляем песок по крупицам в квадрат в центре. «Некоторое время узор из песка расширяется, очень похожий на фотографии Пегдена выше […]. Но как только песок достигает края, история меняется. Куча приближается к равновесию, когда песок падает с края с той же скоростью, с которой вы добавляете песок в центр, а плотность держится на критическом уровне. Конечно, могут быть локальные флуктуации, более плотные и менее плотные пятна, которые появляются и исчезают по мере развития системы; но в среднем по всей таблице количество зерен на точку будет колебаться около 2,125».
Элленберг ссылается на «гипнотический фильм» о куче песка в критическом состоянии, который он приписывает Р. М. Димео из NIST. Он отмечает: «Мне кажется, что это живой процесс. И это не случайно. Понятие самоорганизованной критичности — это один из популярных способов осмысления того, как богатые структуры жизни могли возникнуть из простых систем, которые автоматически ищут критический порог».
[Вам может понравиться отрабатывать движения песочницы с помощью карандаша и бумаги, например
или лавина (оба на потенциально бесконечной сетке)
или
на столе 5$\times$5.]
Рубрики Взгляд Тони ФиллипсаСможете решить? Премьер-министр России загадывает геометрический пазл | Математика
Ранее в этом месяце премьер-министр России Михаил Мишустин отметил первый день учебного года, посетив урок математики в шестом классе одной из лучших в стране наукоемких школ.
Класс решал задачу о бизнесе. «Зачем вам, ребята, делать бизнес-проекты в [школе]?» он спросил.
«Здесь нужны фундаментальные знания, верно?»
Затем он написал на доске следующую задачу.
Постройте перпендикуляр из (красной) точки на окружности к диаметру, не используя никаких измерительных приборов.
Иллюстрация: ICM 2022Другими словами, если у вас есть окружность с отмеченным на ней диаметром и точка на окружности, можете ли вы найти способ провести линию из точки, которая пересекает диаметр под прямым углом. (Как отмечено зеленым выше.)
Прелесть этого вопроса в кажущемся возмутительным запрете на использование измерительных устройств, а это означает, что вы не можете пользоваться компасом или размеченной линейкой. Все, что вам разрешено, — это линейка без пометок, чтобы рисовать прямые линии.
Фотография Мишустина вверху этой статьи показывает, как вы могли бы начать. (Он показывает, что угол, образуемый точкой окружности с двумя концами диаметра, является прямым углом.) Некоторые «фундаментальные знания» о треугольниках могут оказаться полезными.
Например, Высота треугольника — это линия, проведенная из угла и пересекающая противоположную сторону под прямым углом. В остроугольных треугольниках три высоты всегда пересекаются.
Сегодня я выбрал этот вопрос, потому что это красивая головоломка, а также потому, что мне показалось любопытным, что один из самых влиятельных политиков России использовал вопрос по геометрии в качестве рекламного трюка. Не каждый день увидишь, как политик записывает на доске математическую задачу и решает ее, из какой бы страны он ни был.
Мишустин, инженер по образованию, сказал шестиклассникам: «Мне кажется, что в вашем возрасте хорошо бы получить какие-то основы. А когда у тебя будут математические знания, физика, химия, ты сможешь решать любые задачи, в том числе и деловые».
Я вернусь с решением в 17:00 по Великобритании. ПОЖАЛУЙСТА, БЕЗ СПОЙЛЕРОВ. ОБНОВЛЕНИЕ
: Решение теперь здесь.
Я собираю здесь пазлы каждые две недели в понедельник. Я всегда в поиске отличных головоломок.

