Гдз по алгебре 8 класс Макарычев
Гдз по алгебре 8 класс МакарычевSkip to content
Главная / 8 класс / Алгебра 8 класс Макарычев
Продолжая серию решебников по алгебре, мы не могли не разработать готовое домашнее задание к учебнику за 8 класс Макарычева. Это самое популярное учебное пособие сегодня в школах России. Не удивительно, что получить доступ к нему стараются все, ведь гдз по алгебре позволяет:
- Проверять домашнюю работу;
- Списывать домашнее задание;
- Разбираться в темах, которые не были поняты на уроке.
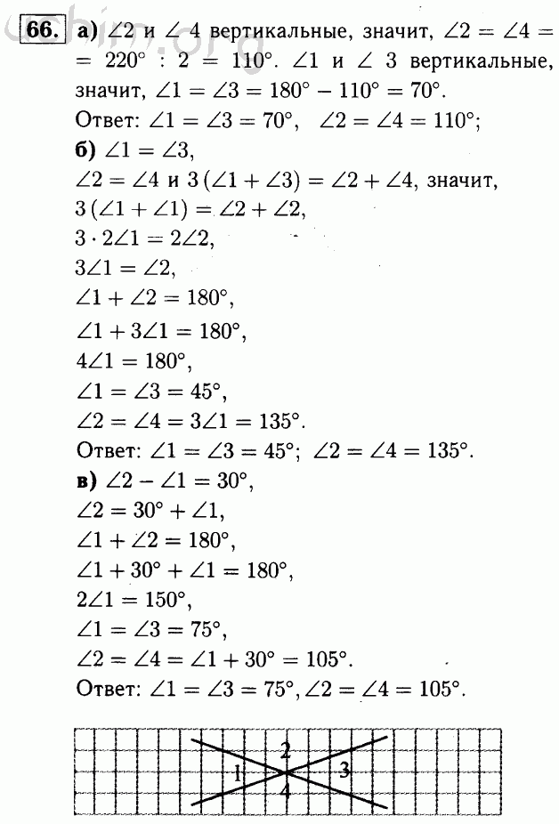
Номера
12345678910111213141516171819202122232425262728293031323334353637383940414243444546484950515253545556575859606162636465666768707172737475767778798081828384858687888990919293949596979899100101102103104108109110111112113114115116117118119120121122123124125126127128132133134135136139140141142143144145146147148149150151152153154155156157158159160161162163164165166167168169170171172173179180181182183184185186187188189190192193194195196197198199200201202203204205206207208209210211212213214215216217218219220221222223224225226227228229230231232233234235236237238239240241242243244245246247248249250251252253254255256257258260261262263264265266267268269270271272273274275276277278279280281282283284285286287288289290291292293298299300301302303304305306307308309310311312313314315316317318319320321322323324325326327328329330331332334336337338339340341342343345346347348349350351352353354355356357358359360361362363364365369370371372373374375376377378379380381382383384385386387389390391392393394395396397398399400401402403404405406407408409410411412413414415416417418419420421422423424425426427428429430431432433434435436437438439440441442443444445446447448449450451452453454455456457458459460461462463464465466467468469470471472473474475476477478479480481482483484487488489490491492493494495496497498499500501502503504505506507508509510511512513514515516517518519520521522523524525526527528529530531532533534535536537538539540541543544546547548549550551555556557559560561562563564565566567568569570571572573574576577578579580581582583584585586587588589590591592593594595600601602603604605606607608609610612617618620621622623624625627628629630631632633634635640641642643644645646647648649650651652653654655656657658659660661662663664665666667668669670671672673674675676677678679680681682683684685686687688689690691692693695696697698699700701702703704705706707708709710711712713714715716717718719720721722724725727728729730731734735736737738739740741742743744745746747748749750751752753754755756757758759760761762765766767768769770771772773774775776777778782783784785786787788789791792793794795799800801802803804805806807808809810811812813815816817818819820821822823824825826828833834835836837838839840841842843844845846847848849850851852853854855856857858859860861862863864865866867868869874875876877878879880881882883884885885-1886887888889890891892893894895896897898899900905906907908909910911912913914915916917918919920921922923924925926927928929930931932933934935936937938939940941942943944945946947949950951952953954955956957958959960961962963964965966967968969970971972973975976977978979980981982983984985986987988989990991992993994995996997998999100010011002100310041005100610071008100910131014101510161017101810191020102110221023102810291030103110321033103410351036103710721073107410751076107710781079108010811082108310841085108610871088108910901091109210931094109510961097110011011102110311041106110711081109111011111112111311141115111611171118111911201121112211231126112711291130113111321134113511361137113811391140114111421146114811491151
Вы можете убедиться в этом сами. Для этого проверьте выполненную домашнюю работу, исправьте ответы на наши. Если учитель поставит Вам 5, то Вы уже без страха можете использовать сайт в качестве эталона.ГДЗ по алгебре за 8 класс Макарычев Ю.Н. помог уже многих школьникам нашей страны. Вы тоже можете улучшить свои оценки, использовав эту книгу.
Похожие ГДЗ
8 класс алгебра Макарычев 33. Сократите дробь – Рамблер/класс
8 класс алгебра Макарычев 33. Сократите дробь – Рамблер/классИнтересные вопросы
Школа
Подскажите, как бороться с грубым отношением одноклассников к моему ребенку?
Новости
Поделитесь, сколько вы потратили на подготовку ребенка к учебному году?
Школа
Объясните, это правда, что родители теперь будут информироваться о снижении успеваемости в школе?
Школа
Когда в 2018 году намечено проведение основного периода ЕГЭ?
Новости
Будет ли как-то улучшаться система проверки и организации итоговых сочинений?
Вузы
Подскажите, почему закрыли прием в Московский институт телевидения и радиовещания «Останкино»?
ответы
сокращаем их так
ваш ответ
Можно ввести 4000 cимволов
отправить
дежурный
Нажимая кнопку «отправить», вы принимаете условия пользовательского соглашения
похожие темы
Психология
ЕГЭ
10 класс
9 класс
похожие вопросы 5
150 Алгебра 9 класс Макарычев Помогите решить графически
Решите графически уравнение:
а) х3 = 2; б) х3 = 4; в) х3 = -5.
ЭкзаменыАлгебра9 классМакарычев Ю.Н.ГДЗ
Когда скорость изменения функции будет наибольшей или наименьшей? Алгебра 10-11 класс Колмогоров Упр 308
Совсем я в точных науках не сильна) Кто поможет?) Найдите значения аргумента из промежутка [-2; 5], при которых скорость изменения (Подробнее…)
ГДЗ11 классКолмогоров А.Н.Алгебра
Приготовление раствора сахара и расчёт его массовой доли в растворе. Химия. 8 класс. Габриелян. ГДЗ. Хим. практикум № 1. Практ. работа № 5.
Попробуйте провести следующий опыт. Приготовление раствора
сахара и расчёт его массовой доли в растворе.
Отмерьте мерным (Подробнее…)
ГДЗШкола8 классХимияГабриелян О.С.
16. Расставьте все знаки препинания: укажите цифру(-ы), на месте которой(-ых)… Цыбулько И. П. Русский язык ЕГЭ-2017 ГДЗ. Вариант 13.
16.
Расставьте все знаки препинания: укажите цифру(-ы), на месте которой(-ых)
в предложении должна(-ы) стоять запятая(-ые).