ГДЗ по алгебре 7 класс Мерзляк, Полонский учебник ответы
Рекомендуем посмотреть
ПремиумПремиум
Премиум
Простой доступ к знаниям – это одновременно бич и благо современного образования.
С одной стороны, люди могут учиться без помощи профессиональных преподавателей. С другой – нет никакой гарантии того, что предлагаемая информация написана человеком знающим. Это проблема особенно остро стоит для обучающихся в школе – важно, чтобы при выполнении домашних заданий они пользовались надежным источником информации.
ГДЗ по алгебре А.Г. Мерзляка – необходимая помощь для семиклассника
Правильно пользуясь пособием, человек сможет развить навыки самостоятельности и будет знать непростой для себя предмет на твердую пятерку. Вот как решебник для 7 класса (авторы: Мерзляк, Полонский, Якир) поможет при изучении дисциплины и отстающим, и даже отличникам:
- можно быстро проверить результаты с помощью верных ответов;
- родители и другие родственники свободны от выполнения «домашек»;
- можно проводить работу над ошибками;
- такая книга – надежный источник знания, разработанный профессионалами к оригинальному учебнику.
Описание пособия Мерзляка: особенности
Представленный сборник разработан к учебнику Полонского и Якира.
Все готовые ответы на упражнения выполнены согласно требованиям ФГОС и стандартной рабочей программе, при этом решение ясно и интересно излагается для ученика третьего класса. Со сборником ГДЗ школьник может забыть о том, что математика – скучный или сложный предмет. Воспользоваться книгой можно на нашем сайте онлайн – просто выберете нужное упражнение.
Быстрый поиск
Номера
1 2 3 4 5 6 7 8 9 10 11 12 13 14 15 16 17 18 19 20 21 22 23 24 25 26 27 28 29 30 31 32 33 34 35 36 37 38 39 40 41 42 43 44 45 46 47 48 49 50 51 52 53 54 55 56 57 58 59 60 61 62 63 64 65 66 67 68 69 70 71 72 73 74 75 76 77 78 79 80 81 82 83 84 85 86 87 88 89 90 91 92 93 94 95 96 97 98 99 100 101 102 103 104 105 106 107 108 109 110 111 112 113 114 115 116 117 118 119 120 121 122 123 124 125 126 127 128 129 130 131 132 133 134 135 136 137 138 139 140 141 142 143 144 145 146 147 148 149 150 151 152 153 154 155 156 157 158 159 160 161 162 163 164 165 166 167 168 169 170 171 172 173 174 175 176 177 178 179 180 181 182 183 184 185 186 187 188 189 190 191 192 193 194 195 196 197 198 199 200 201 202 203 204 205 206 207 208 209 210 211 212 213 214 215 216 217 218 219 220 221 222 223 224 225 226 227 228 229 230 231 232 233 234 235 236 237 238 239 240 241 242 243 244 245 246 247 248 249 250 251 252 253 254 255 256 257 258 259 260 261 262 263 264 265 266 267 268 269 270 271 272 273 274 275 276 277 278 279 280 281 282 283 284 285 286 287 288 289 290 291 292 293 294 295 296 297 298 299 300 301 302 303 304 305 306 307 308 309 310 311 312 313 314 315 316 317 318 319 320 321 322 323 324 325 326 327 328 329 330 331 332 333 334 335 336 337 338 339 340 341 342 343 344 345 346 347 348 349 350 351 352 353 354 355 356 357 358 359 360 361 362 363 364 365 366 367 368 369 370 371 372 373 374 375 376 377 378 379 380 381 382 383 384 385 386 387 388 389 390 391 392 393 394 395 396 397 398 399 400 401 402 403 404 405 406 407 408 409 410 411 412 413 414 415 416 417 418 419 420 421 422 423 424 425 426 427 428 429 430 431 432 433 434 435 436 437 438 439 440 441 442 443 444 445 446 447 448 449 450 451 452 453 454 455 456 457 458 459 460 461 462 463 464 465 466 467 468 469 470 471 472 473 474 475 476 477 478 479 480 481 482 483 484 485 486 487 488 489 490 491 492 493 494 495 496 497 498 499 500 501 502 503 504 505 506 507 508 509 510 511 512 513 514 515 516 517 518 519 520 521 522 523 524 525 526 527 528 529 530 531 532 533 534 535 536 537 538 539 540 541 542 543 544 545 546 547 548 549 550 551 552 553 554 555 556 557 558 559 560 561 562 563 564 565 566 567 568 569 570 571 572 573 574 575 576 577 578 579 580 581 582 583 584 585 586 587 588 589 590 591 592 593 594 595 596 597 598 599 600 601 602 603 604 605 606 607 608 609 610 611 612 613 614 615 616 617 618 619 620 621 622 623 624 625 626 627 628 629 630 631 632 633 634 635 636 637 638 639 640 641 642 643 644 645 646 647 648 649 650 651 652 653 654 655 656 657 658 659 660 661 662 663 664 665 666 667 668 669 670 671 672 673 674 675 676 677 678 679 680 681 682 683 684 685 686 687 688 689 690 691 692 693 694 695 696 697 698 699 700 701 702 703 704 705 706 707 708 709 710 711 712 713 714 715 716 717 718 719 720 721 722 723 724 725 726 727 728 729 730 731 732 733 734 735 736 737 738 739 740 741 742 743 744 745 746 747 748 749 750 751 752 753 754 755 756 757 758 759 760 761 762 763 764 765 766 767 768 769 770 771 772 773 774 775 776 777 778 779 780 781 782 783 784 785 786 787 788 789 790 791 792 793 794 795 796 797 798 799 800 801 802 803 804 805 806 807 808 809 810 811 812 813 814 815 816 817 818 819 820 821 822 823 824 825 826 827 828 829 830 831 832 833 834 835 836 837 838 839 840 841 842 843 844 845 846 847 848 849 850 851 852 853 854 855 856 857 858 859 860 861 862 863 864 865 866 867 868 869 870 871 872 873 874 875 876 877 878 879 880 881 882 883 884 885 886 887 888 889 890 891 892 893 894 895 896 897 898 899 900 901 902 903 904 905 906 907 908 909 910 911 912 913 914 915 916 917 918 919 920 921 922 923 924 925 926 927 928 929 930 931 932 933 934 935 936 937 938 939 940 941 942 943 944 945 946 947 948 949 950 951 952 953 954 955 956 957 958 959 960 961 962 963 964 965 966 967 968 969 970 971 972 973 974 975 976 977 978 979 980 981 982 983 984 985 986 987 988 989 990 991 992 993 994 995 996 997 998 999 1000 1001 1002 1003 1004 1005 1006 1007 1008 1009 1010 1011 1012 1013 1014 1015 1016 1017 1018 1019 1020 1021 1022 1023 1024 1025 1026 1027 1028 1029 1030 1031 1032 1033 1034 1035 1036 1037 1038 1039 1040 1041 1042 1043 1044 1045 1046 1047 1048 1049 1050 1051 1052 1053 1054 1055 1056 1057 1058 1059 1060 1061 1062 1063 1064 1065 1066 1067 1068 1069 1070 1071 1072 1073 1074 1075 1076 1077 1078 1079 1080 1081 1082 1083 1084 1085 1086 1087 1088 1089 1090 1091 1092 1093 1094 1095 1096 1097 1098 1099 1100 1101 1102 1103 1104 1105 1106 1107 1108 1109 1110 1111 1112 1113 1114 1115 1116 1117 1118 1119 1120 1121 1122 1123 1124 1125 1126 1127 1128 1129 1130 1131 1132 1133 1134 1135 1136 1137 1138 1139 1140 1141 1142 1143 1144 1145 1146 1147 1148 1149 1150 1151 1152 1153 1154 1155 1156 1157 1158 1159 1160 1161 1162 1163 1164 1165 1166 1167 1168 1169 1170 1171 1172 1173 1174 1175 1176 1177 1178 1179 1180 1181 1182 1183 1184 1185 1186 1187 1188 1189 1190 1191 1192 1193 1194 1195 1196 1197 1198 1199 1200 1201 1202 1203 1204 1205 1206 1207 1208 1209 1210 1211 1212 1213 1214 1215 1216 1217 1218 1219 1220 1221 1222 1223 1224 1225 1226 1227 1228 1229 1230 1231 1232 1233 1234 1235
Проверь себя
№1
1 2 3 4 5 6 7 8 9 10 11 12
№2
1 2 3 4 5 6 7 8 9 10 11 12
№3
1 2 3 4 5 6 7 8 9 10 11 12
№4
1 2 3 4 5 6 7 8 9 10 11 12
№5
1 2 3 4 5 6 7 8 9 10 11 12
№6
1 2 3 4 5 6 7 8 9 10 11 12
№7
1 2 3 4 5 6 7 8 9 10 11 12
Устные вопросы к параграфам
§1 §2 §4 §5 §6 §7 §8 §10 §11 §12 §14 §15 §16 §18 §20 §21 §22 §23 §24 §25 §26
В седьмом классе математика для детей превращается сразу в два сложных предмета: алгебру и геометрию.
В первом упомянутом курсе проходят линейные уравнения, доказательства тождеств, правило пропорции, а также практические задачи, которые требуют комбинированного использования нескольких алгебраических методов.
Учебник для учащихся общеобразовательных организаций с содержанием верных ответов был предложен А. Г. Мерзляком, В. Б. Полонским и М. С. Якиром. К печати его подготовило издательство «Вентана-Граф». Актуальными версиями на сегодняшний день считаются таковые 2015-2019 годов. Они и представлены на данной странице нашего сайта.
В чем состоит польза решебника Мерзляка для ученика 7 класса?
Чтобы хорошо успевать, нужно активно работать на уроке и отрабатывать полученные практические навыки посредством решения большого количества упражнений на закрепление. Для успешной работы с независимыми переменными нужно овладеть искусством строгого абстрактного мышления, уметь просчитывать математические преобразования на несколько шагов вперед. Готовые домашние задания хорошо помогают развивать личный уровень и мотивируют школьника к самостоятельным занятиям.
В частности, решебник онлайн имеет следующие преимущества:
- сайт не привязан к используемому устройству и операционной системе, поэтому заниматься можно отовсюду;
- страница работает круглосуточно, заниматься можно из любой локации;
- ответы снабжены полезными методическими указаниями;
- приведены несколько алгоритмов решения для того, чтобы школьник мог провести анализ и выбрать вариант по вкусу.
Онлайн-пособия ценны тем, что показывают, как правильно рассуждать при выполнении той или иной задачи. Ни в коем случае нельзя их слепо переписывать без тщательного самостоятельного анализа.
Почему ГДЗ (авторы: Мерзляк, Полноский, Якир) по алгебре могут заменить преподавателя?
Рабочая программа сборника заданий регламентирована федеральными государственными образовательными стандартами (ФГОС). Она подходит для любой школы РФ. Предлагаемые упражнения и примеры отлично соответствуют тестам, которые ежегодно предлагаются на внешних проверочных работах.
Разумеется, наличие частного преподавателя будет полезно для ребенка, который не очень расположен к изучению точных наук. Однако подобная услуга стоит довольно дорого. Не всегда ее приобретение может быть доступно. Регулярное использование сборника по алгебре Мерзляка, Полонского для 7 класса может заменить частного учителя при подготовке к урокам. Многие пояснения даны настолько хорошо, что доступны для самостоятельного понимания подростком. С учебным пособием удобно:
- повторять элементы алгебры, которые были введены ранее в курсе математики;
- систематизировать знания и отрабатывать решение более сложных задач;
- развивать собственные способности к точным дисциплинам.
Решебник помогает готовиться к контрольным, проверочным, диагностическим работам, а также решать тесты с несколькими вариантами ответа. Он рекомендован учащимся седьмых классов общеобразовательных школ.
ГДЗ (ДҮЖ) по алгебре 7 класс Шыныбеков Учебник Решебник
С математикой школьники работают с первого учебного дня до момента получения аттестата.
С каждым годом наука становится всё сложнее, распадаясь в седьмом классе на две сложнейших дисциплины – алгебру и геометрию. Именно сейчас, в самом начале знакомства с новыми темами, необходимо сконцентрировать всё внимание и силы на то, чтобы заложить твёрдый фундамент этих предметов. Ведь алгебра станет непременной экзаменационной дисциплиной на ОГЭ и выпускном экзамене. Для того, чтобы сделать работу ученика менее трудной и более полноценной, разработан надёжный виртуальный репетитор — «ГДЗ (ДҮЖ) Алгебра за 7 класс Шыныбеков Учебник (Атамұра)».
Осваиваем новую науку с ГДЗ
Безусловно, большинству учеников в жизни пригодится знание именно математики, но не алгебры – основная часть программы будет забыта после выпускного экзамена. Но эта наука необходима для того, чтобы развить логическое мышление и умение работать с любой цифровой информацией. А эти навыки необходимы для действий с другими предметами – в первую очередь, с информатикой (которая нужна всем ученикам без исключения) и физикой.
Если сейчас возникнут пробелы в самом начале работы, то к моменту сдачи итоговой аттестации они могут превратиться в серьёзную проблему. Необходимо заложить твёрдые основы знания предмета, а поможет в этом отличный онлайн-консультант — «ГДЗ (ДҮЖ) Алгебра за 7 класс Шыныбеков Учебник (Атамұра)».
Что включено в онлайн-пособие
Издание охватывает все темы и разделы основного курса алгебры:
- Как работать с алгебраическими дробями (сокращение, деление, умножение и приведение к общему знаменателю).
- Знакомство с многочленами (разложение на множители и вынесение за скобки).
- Общие сведения по элементам комбинаторики.
- Алгоритм решения задач с помощью уравнений.
- Работа с алгебраическими равенствами.
Решебник предлагает очень подробные и понятные образцы решения, проработав которые, можно понять точный алгоритм выполнения аналогичных заданий.
Коротко о структуре ГДЗ по алгебре за 7 класс от Шыныбекова
Порядок изложения материала в решебнике коррелирует с основным учебником:
- повторение курса математики за пятый-шестой классы;
- тематические упражнения;
- задания повышенной трудности;
- практические и прикладные задачи;
- образцы старинных упражнений;
- общий обзор материалов текущего учебного года.

Удобная навигация пособия позволяет ученику мгновенно находить нужный материал.
Быстрый поиск
Повторение
Вопросы
1 2 3 4 5 6 7 8 9 10 11 12 13 14 15 16 17 18 19 20 21 22 23 24 25 26 27
Упражнения
0.
1
0.2
0.3
0.4
0.5
0.6
0.7
0.8
0.
9
0.10
0.11
0.12
0.13
0.14
0.15
0.16
0.
17
0.18
0.19
0.20
0.21
0.22
0.23
0.24
0.
25
0.26
0.27
0.28
0.29
0.30
Раздел 1
1.1
1.2
1.
3
1.4
1.5
1.6
1.7
1.8
1.9
1.10
1.
11
1.12
1.13
1.14
1.15
1.16
1.17
1.18
1.
19
1.20
1.21
1.22
1.23
1.24
1.25
1.26
1.
27
1.28
1.29
1.30
1.31
1.32
1.33
1.34
1.
35
1.36
1.37
1.38
1.39
1.40
1.41
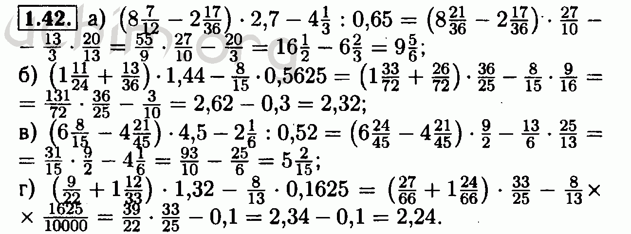
1.42
1.
43
1.44
1.45
1.46
1.47
1.48
1.49
1.50
1.
51
1.52
1.53
1.54
1.55
1.56
1.57
1.58
1.
59
1.60
1.61
1.62
1.63
1.64
1.65
1.66
1.
67
1.68
1.69
1.70
1.71
1.72
1.73
1.74
1.
75
1.76
1.77
1.78
1.79
1.80
1.81
1.82
1.
83
1.84
1.85
1.86
1.87
1.88
1.89
1.90
1.
91
1.92
1.93
1.94
1.95
1.96
1.97
1.98
1.
99
1.100
1.101
1.102
1.103
1.104
1.105
1.106
1.
107
1.108
1.109
1.110
1.111
1.112
1.113
1.114
1.
115
1.116
1.117
1.118
1.119
1.120
1.121
1.122
1.
123
1.124
1.125
1.126
1.127
1.128
1.129
1.130
1.
131
1.132
1.133
1.134
1.135
1.136
1.137
1.138
1.
139
1.140
1.141
1.142
1.143
1.144
1.145
1.146
1.
147
1.148
1.149
1.150
1.151
1.152
1.153
1.154
1.
155
1.156
1.157
1.158
1.159
1.160
1.161
1.162
1.
163
1.164
1.165
1.166
1.167
1.168
1.169
1.170
1.
171
1.172
1.173
1.174
1.175
1.176
1.177
1.178
1.
179
1.180
1.181
1.182
Раздел 2
2.1
2.2
2.3
2.4
2.
5
2.6
2.7
2.8
2.9
2.10
2.11
2.12
2.
13
2.14
2.15
2.16
2.17
2.18
2.19
2.20
2.
21
2.22
2.23
2.24
2.25
2.26
2.27
2.28
2.
29
2.30
2.31
2.32
2.33
2.34
2.35
2.36
2.
37
2.38
2.39
2.40
2.41
2.42
2.43
2.44
2.
45
2.46
2.47
2.48
2.49
2.50
2.51
2.52
2.
53
2.54
2.55
2.56
2.57
2.58
2.59
2.60
2.
61
2.62
2.63
2.64
2.65
2.66
2.67
2.68
2.
69
2.70
2.71
2.72
2.73
2.74
2.75
2.76
2.
77
2.78
2.79
2.80
2.81
2.82
2.83
2.84
2.
85
2.86
2.87
2.88
2.89
2.90
2.91
2.92
2.
93
2.94
2.95
2.96
2.97
2.98
2.99
2.100
2.
101
2.102
2.103
2.104
2.105
2.106
2.107
2.108
2.
109
2.110
2.111
2.112
2.113
2.114
2.115
2.116
2.
117
2.118
2.119
2.120
2.121
2.122
2.123
2.124
2.
125
2.126
2.127
2.128
2.129
2.130
2.131
2.132
2.
133
2.134
2.135
2.136
2.137
Раздел 3
3.1
3.2
3.3
3.
4
3.5
3.6
3.7
3.8
3.9
3.10
3.11
3.
12
3.13
3.14
3.15
3.16
3.17
3.18
3.19
3.
20
3.21
3.22
3.23
3.24
3.25
3.26
3.27
3.
28
3.29
3.30
3.31
3.32
3.33
3.34
3.35
3.
36
3.37
3.38
3.39
3.40
3.41
3.42
3.43
3.
44
3.45
3.46
3.47
3.48
3.49
3.50
3.51
3.
52
3.53
3.54
3.55
3.56
3.57
3.58
3.59
3.
60
3.61
3.62
3.63
3.64
3.65
3.66
3.67
3.
68
3.69
3.70
3.71
3.72
3.73
3.74
3.75
3.
76
3.77
3.78
3.79
3.80
3.81
3.82
3.83
3.
84
3.85
3.86
3.87
3.88
3.89
3.90
3.91
3.
92
3.93
3.94
3.95
3.96
3.97
3.98
3.99
3.
100
3.101
3.102
3.103
3.104
3.105
3.106
3.107
3.
108
3.109
3.110
3.111
3.112
3.113
3.114
3.115
3.
116
3.117
3.118
3.119
3.120
3.121
3.122
3.123
3.
124
3.125
3.126
3.127
3.128
3.129
3.130
3.131
3.
132
3.133
3.134
3.135
3.136
3.137
3.138
3.139
3.
140
3.141
3.142
3.143
3.144
3.145
3.146
3.147
3.
148
3.149
3.150
3.151
3.152
3.153
3.154
3.155
3.
156
3.157
3.158
3.159
3.160
3.161
3.162
3.163
Раздел 4
4.
1
4.2
4.3
4.4
4.5
4.6
4.7
4.8
4.
9
4.10
4.11
4.12
4.13
4.14
4.15
4.16
4.
17
4.18
4.19
4.20
4.21
4.22
4.23
4.24
4.
25
4.26
4.27
4.28
4.29
4.30
4.31
4.32
4.
33
4.34
4.35
4.36
4.37
4.38
4.39
4.40
4.
41
4.42
4.43
Раздел 5
5.1
5.2
5.3
5.4
5.5
5.
6
5.7
5.8
5.9
5.10
5.11
5.12
5.13
5.
14
5.15
5.16
5.17
5.18
5.19
5.20
5.21
5.
22
5.23
5.24
5.25
5.26
5.27
5.28
5.29
5.
30
5.31
5.32
5.33
5.34
5.35
5.36
5.37
5.
38
5.39
5.40
5.41
5.42
5.43
5.44
5.45
5.
46
5.47
5.48
5.49
5.50
5.51
5.52
5.53
5.
54
5.55
5.56
5.57
5.58
5.59
5.60
5.61
5.
62
5.63
5.64
5.65
5.66
5.67
5.68
5.69
5.
70
5.71
5.72
5.73
5.74
5.75
5.76
5.77
5.
78
5.79
5.80
5.81
5.82
5.83
5.84
5.85
5.
86
5.87
5.88
5.89
5.90
5.91
5.92
5.93
5.
94
5.95
5.96
5.97
5.98
5.99
5.100
5.101
5.
102
5.103
5.104
5.105
5.106
5.107
5.108
5.109
5.
110
5.111
5.112
5.113
5.114
5.115
5.116
5.117
5.
118
5.119
5.120
5.121
5.122
5.123
5.124
5.125
5.
126
5.127
5.128
5.129
5.130
5.131
5.132
5.133
5.
134
5.135
5.136
5.137
5.138
5.139
5.140
5.141
5.
142
5.143
5.144
5.145
5.146
5.147
5.148
5.149
5.
150
5.151
5.152
5.153
5.154
5.155
5.156
5.157
5.
158
5.159
5.160
5.161
5.162
5.163
5.164
5.165
5.
166
5.167
5.168
5.169
5.170
5.171
5.172
5.173
5.
174
5.175
5.176
5.177
5.178
5.179
5.180
5.181
5.
182
5.183
5.184
5.185
5.186
Раздел 6
6.1
6.2
6.3
6.
4
6.5
6.6
6.7
6.8
6.9
6.10
6.11
6.
12
6.13
6.14
6.15
6.16
6.17
6.18
6.19
6.
20
6.21
6.22
6.23
6.24
6.25
6.26
6.27
6.
28
6.29
6.30
6.31
6.32
6.33
6.34
6.35
6.
36
6.37
6.38
6.39
6.40
6.41
6.42
6.43
6.
44
6.45
6.46
6.47
6.48
6.49
6.50
6.51
6.
52
6.53
6.54
6.55
6.56
6.57
6.58
6.59
6.
60
6.61
6.62
6.63
6.64
6.65
6.66
6.67
6.
68
6.69
6.70
6.71
6.72
6.73
6.74
6.75
6.
76
6.77
6.78
6.79
6.80
6.81
6.82
6.83
6.
84
6.85
6.86
6.87
6.88
6.89
6.90
6.91
6.
92
6.93
6.94
6.95
6.96
6.97
6.98
6.99
6.
100
6.101
6.102
6.103
6.104
6.105
6.106
6.107
6.
108
6.109
6.110
6.111
6.112
6.113
6.114
Раздел 7
7.1
7.
2
7.3
7.4
7.5
7.6
7.7
7.8
7.9
7.
10
7.11
7.12
7.13
7.14
7.15
7.16
7.17
7.
18
7.19
7.20
7.21
7.22
7.23
7.24
7.25
7.
26
7.27
7.28
7.29
7.30
7.31
7.32
7.33
7.
34
7.35
7.36
7.37
7.38
7.39
7.40
7.41
7.
42
7.43
7.44
7.45
7.46
7.47
7.48
7.49
7.
50
7.51
7.52
Вопросы и практические задания. Страницы учебника
13 19 25 31 36 43 49 54 61 69 76 82 90 96 102 108 113 117 123 128 135 141 147 151 156 161 168 174 180
Алгебра – это предмет, который основан на абстрактных понятиях.
Здесь нет необходимости выводить формулы или доказывать законы, просто нужно соблюдать определенные правила. Именно это и вызывает затруднения у многих семиклассников, которые только начинают знакомиться с данным предметом. На первых уроках дети повторяют ранее пройденный материал, поэтому особых сложностей в упражнениях нет. Но уже после изучения нового, ребята не знают, где искать помощи. В таких случаях при выполнении домашнего задания рекомендуется использовать наш прекрасный портал, где круглосуточно доступны онлайн-гдз.
Состав и структура учебно-методического комплекса по алгебре за 7 класс от Шыныбекова
В ходе новой учебной программы семиклассники должны будут разобраться со следующими темами:
- Линейные функции.
- Построение графиков.
- Степени.
Именно вышеперечисленные разделы вызывают наибольшее количество вопросов у семиклассников. Поэтому, на них необходимо обратить особое внимание. Ученики достаточно часто испытывают трудности в переходе от теории к практике.
Пока учитель рассказывает и на примерах показывает все, никаких проблем и вопросов нет. Но, в процессе выполнения домашней работы они могут появляться. Именно для таких случаев и создано ГДЗ. Основной учебник состоит из 7 разделов. Решебник полностью соответствует ему, и ко всем указанным темам есть верные ответы. Теперь школьник сможет лучше готовиться к классным занятиям, и, за счет овладения навыком решения однотипных задач и уравнений, справляться с контрольными, самостоятельными, проверочными работами и тестами без дополнительных занятий у репетитора.
Как именно поможет ГДЗ по алгебре для 7 класса авторы: Шыныбеков А. Н., Шыныбеков Д. А в учебе?
Их применяют в самых разных случаях. Пособие уже давно зарекомендовало себя с положительной стороны, как эффективный инструмент, который помогает:
- справляться со сложными задачками;
- закрепить ранее усвоенный и новый материал;
- повысить уровень эрудиции;
- научиться выполнять самостоятельно практические упражнения.

А использование онлайн-формата упрощает работу в несколько раз. Какие положительные стороны онлайн-версии ГДЗ? Онлайн-пособие обладает рядом положительных моментов, среди которых можно выделить:
- удобный и доступный формат;
- простой и понятный интерфейс, в котором разберется даже ребенок;
- наличие только правильных ответов по предмету;
- постоянные обновления, в зависимости от издания;
- наличие подробных и детальных объяснений от авторов по каждому номеру упражнения.
Не все родители смогут вспомнить школьную программу, и помочь ребенку в выполнении сложных задачек. Решебник без приложения дополнительных усилий создаст все условия для эффективного изучения материала.
ГДЗ по Алгебре 7 класс: Макарычев
Готовые домашние задания для 7 класса по алгебре Макарычева
Если в прошлом к решебникам относились скептически, то сегодня они стали важным дополнением учебного процесса.
Пособиями с готовыми ответами активно пользуются не только ученики, но и их родители, которые хотят проконтролировать своих детей.
ГДЗ от Ответкина это не просто краткие материалы для списывания. Наш сайт не имеет аналогов, потому что здесь вы можете найти подробный алгоритм решения задач, несколько вариантов ответов, комментарии, благодаря которым можно понять трудную тему.
Что такое Ответкин?
- Это актуальная база данных. В других решебниках школьники вынуждены сверять номера, тратить дополнительное время на поиск нужного ответа. Но на нашем портале мы разместили только свежие ГДЗ к актуальным учебникам, по которым учатся в школах Российской Федерации.
- Подробные решения. Практически к каждому заданию на Ответкине есть короткий ответ и подробный, с алгоритмом выполнения примера, комментариями к нему. Когда нет времени и нужно быстро ответить на уроке, ученик может воспользоваться кратким решением, но если нужно разобраться с непонятной темой – помогут пояснения.

- Бесплатный помощник. Наш сайт бесплатно помогает учащимся и их родителям контролировать правильность выполнения домашней работы. Это позволяет сэкономить деньги на репетиторах.
- Несколько вариантов ответа. Видя альтернативные способы решения – школьник понимает механизм выполнения задачи, ему становятся понятны важные нюансы, которые он пропустил или не усвоил на уроке.
- Удобный поиск по сайту. Учебное пособие с пояснениями можно просматривать как с компьютера, так с мобильного телефона. Чтобы быстро найти определенный номер нужно лишь ввести его в строку поиска. Кроме того, в личном кабинете сохраняется история просмотров, с помощью которой удобно возвращаться к предыдущим заданиям.
ГДЗ от Ответкина становятся незаменимы в конце четверти или учебного года, когда нужно быстро повторить пройденный материал, подтянуть успеваемость.
Уникальные подробные решения с пояснениями Ответкина
С 7 класса школьники начинают изучать новый для них раздел математики – алгебру.
Это важный, но не простой предмет, который тесно связан с экономикой, информатикой, физикой и другими точными науками.
Нередко семиклассники теряются при выполнении разнообразных алгебраических задач. Теперь им нужно решать уравнения не только с одной, но и двумя переменными, строить графики функций, осуществлять разложение многочленов на множители. Далеко не каждый учитель может объяснить эти сложные темы простым и понятным для детей способом. Поэтому родители ломают голову, где бы найти хорошего репетитора, как проверить домашнее задание ребенку, когда сам уже забыл пройденную школьную программу.
С решением этих проблем помогает Ответкин. Он дает возможность узнать правильный ответ и его разные варианты, понять алгоритм выполнения примера.
Почему наш сайт достойная альтернатива занятиям с репетитором?
- Это быстро и бесплатно. Использование учебного пособия с пояснениями позволяет родителям сэкономить деньги. Ученикам не нужно тратить дополнительное время на дорогу к репетитору и обратно домой.
В любой момент школьник может самостоятельно проверить себя, открыть подробные пояснения, чтобы разобраться в трудном материале. Теперь ему можно не переживать, если он пропустил занятия, был невнимательным на уроке при объяснении новой темы. - Это удобно. Репетитор занимается с ребенком в назначенное время, поэтому все вопросы школьник вынужден откладывать до следующего дополнительного занятия. А решебником можно воспользоваться в любой момент, как находясь на уроке в школе, так и дома.
- Ответкин приучает к самостоятельности. Готовые домашние задания на нашем сайте — это не просто материалы для списывания, а подробное объяснение важных нюансов школьной программы. Практически каждый номер содержит не только несколько вариантов ответа, на и комментарии, с помощью которых можно восполнить пробелы в знаниях алгебры.
Если говорить о видеоуроках, то они не могут сравниться с нашим порталом по эффективности, удобству и актуальности данных.
Нередко спикеры объясняют материал 7 класса, не имея опыта преподавания в школе. Они могут говорить много, но без конкретики, не дают подсказок к выполнению домашней работы. Видеоролики нужно проматывать несколько раз, тратить 30-40 минут на усвоение одной только темы. В то время как школьник, возможно, хочет уточнить несколько важных нюансов, а не прослушивать материал всего урока.
Как пользоваться сайтом и открывать нужную задачу с комментариями?
Наша команда сделала Ответкин максимально удобным для пользователей. Мы учли, что семиклассники часто просматривают готовые домашние задания в мобильном телефоне. В отличие от других сайтов у нас все материалы размещены на узком полотне, выполнены красивым понятным шрифтом, который комфортно читать со смартфона.
Подсказки как пользоваться сайтом:
- Чтобы найти нужное задание введите его в строку быстрого поиска. Ознакомьтесь с кратким вариантом ответа, который откроется на новой странице. Если вы хотите увидеть подробный алгоритм решения задачи с разными вариантами – зарегистрируйтесь на нашем сайте.

- Вы можете выбрать один из двух, наиболее удобный для вас вариант авторизации. Первый – через социальные сети. Рядом с кнопкой «Войти» нажмите на социальную сеть, например, гугл аккаунт. Подтвердите вход, дайте свое согласие, что ознакомлены с правилами пользования сайтом. Второй вариант – регистрация с нуля с использованием почтового ящика. Напишите адрес вашей почты и ждите письма со ссылкой для активизации аккаунта. Перейдите по ссылке и пользуйтесь сайтом.
- После авторизации вам откроется доступ в личный кабинет. По умолчанию вам будет предоставлена бесплатная подписка, где будет видно количество оставшихся ответов. Каждые сутки пользователь может открывать не более трех заданий. Открытые решения будут храниться в личном кабинете в течение 24 часов, которые можно просматривать неограниченное количество раз.
- Если пользователь желает получить большее число открываний в сутки – ему стоит приобрести подписку на платной основе сроком на месяц. В этом случае в личном кабинете исчезнет реклама.
В профиле будет видно сколько дней еще действует платная подписка.
Для удобства, чтобы пользователь быстро сориентировался в задании – на белом фоне изображен краткий ответ для записи в тетрадь, на цветном фоне отображена теория и подробные пояснения к номеру. Но даже краткие решения на нашем сайте более подробные, чем в других ГДЗ.
Решебник алгебры седьмого класса к учебнику Ю.Н. Макарычева, Н.Г. Миндюка, К.И. Нешкова, С.Б. Суворова
Решения с пояснениями по алгебре за 7 класс составлены на основе учебника Макарычева 2013 года, который соответствует Федеральным государственным образовательным стандартам. Номера в пособии с готовыми домашними заданиями соответствуют нумерации учебника.
Алгебра седьмого класса содержит 5 глав, состоящих из 16 параграфов, которые в свою очередь в общей сложности разбиты на 46 подпунктов. К каждой теме помимо теории есть практические упражнения. Для коллективного решения предусмотрены «задачи-исследования» и задания для работы в парах.
В конце каждого параграфа, для закрепления изученного материала размещены контрольные вопросы. По уровню подготовки среди упражнений есть обязательные, а также повышенной сложности, которые выполняют на добровольной основе.
Готовые домашние задания по алгебре от Ответкина направлены на усвоение следующих тем и понятий:
- Числовые выражения, сравнение их значений и преобразование.
- Уравнение, решение задач с его помощью, линейные уравнения с одной и двумя переменными, графики и системы линейных уравнений. Линейные неравенства с двумя переменными. Способ подстановки и способ сложения.
- Функция, линейная функция и ее график, вычисление функции по формуле.
- Статистические характеристики: медиана, среднее арифметическое, мода, размах.
- Степень, умножение и деление степеней.
- Стандартный вид одночлена и многочлена. Умножение одночленов, одночлена на многочлен, многочлена на многочлен. Возведение одночлена в степень. Сложение и вычитание многочленов.
Преобразование целого выражения в многочлен. Разложение многочлена на множители. - Квадрат суммы и квадрат разности. Возведение в квадрат разности и суммы двух выражений. Разложение на множители разности квадратов, суммы и разности кубов.
Подробные ответы с комментариями по алгебре за 7 класс помогут школьникам вспомнить пройденный материал: различные действия с дробями и целыми числами, решение текстовых задач, поиск корня уравнения. Но главное, решебник станет надежным советчиком в изучении новых тем, которые впервые вводятся с 7 класса. Это операции с многочленами, решение системных уравнений с двумя переменными, построение графиков функций.
Мы уверены, что учебное пособие от Ответкина поможет полюбить новый предмет – алгебру. С его помощью школьники разберутся в пропущенных темах, подтянут успеваемость, будут уверены в правильности выполнения упражнений.
Популярные решебники
ГДЗ по Алгебре 7 класс: Макарычев Ю.
Н.
Издатель: Ю.Н. Макарычев, Н.Г. Миндюк, К.И. Нешков, С.Б. Суворова, 2013-2022г.
ГДЗ по Алгебре 7 класс: Мордкович А.Г.
Издатель: А.Г. Мордкович и др., 2013-2019г.
ГДЗ по Алгебре 7 класс: Мерзляк А.Г.
Издатель: А.Г. Мерзляк, В.Б. Полонский, М.С. Якир. 2015-2022г.
ГДЗ по алгебре для 7 класса на 5.fun
- Алгебра 7 класс
- Авторы: Ш.А. Алимов, Ю.М. Колягин, Ю.В. Сидоров
- Издательство: Просвещение 2015
- Алгебра 7 класс
- Авторы: Ю.
Н. Макарычев, Н.Г. Миндюк, К.И. Нешков, С.Б. Суворова - Издательство: Просвещение 2015-2022
- Алгебра 7 класс Задачник Базовый уровень
- Авторы: А.Г. Мордкович, Л.А. Александрова, Т.Н. Мишустина, Е.Е. Тульчинская
- Издательство: Мнемозина 2017-2021
- Алгебра 7 класс Дидактические материалы
- Авторы: Л.
И. Звавич, Л.В. Кузнецова, С.Б. Суворова - Издательство: Просвещение 2015
- Алгебра 7 класс Самостоятельные и контрольные работы
- Авторы: А.П. Ершова, В.В. Голобородько
- Издательство: Илекса 2015
- Алгебра 7 класс МГУ — школе
- Авторы: С.
М. Никольский, М.К. Потапов, Н.Н. Решетников, А.В. Шевкин - Издательство: Просвещение 2015-2022
- Алгебра 7 класс
- Авторы: Г.В. Дорофеев, С.Б. Суворова, Е.А. Бунимович
- Издательство: Просвещение 2016
- Алгебра 7 класс Углубленный уровень
- Авторы: Ю.
Н. Макарычев, Н.Г. Миндюк, К.И. Нешков, И.Е. Феоктистов - Издательства: Просвещение, Мнемозина 2013, 2019
- Алгебра 7 класс
- Авторы: Е.П. Кузнецова, Г.Л. Муравьева, Л.Б. Шнеперман, Б.Ю. Ящин
- Издательство: Народная асвета 2014
- Алгебра 7 класс
- Авторы: А.
Г. Мерзляк, В. Б. Полонский, М. С. Якир - Издательство: Вентана-граф 2016
- Алгебра 7 класс
- Авторы: А. Г. Рубин, П. В. Чулков
- Издательство: Баласс 2013
- Алгебра 7 класс
- Авторы: Г.
К. Муравин, К. С. Муравин, О. В. Муравина - Издательство: Дрофа 2016
- Алгебра 7 класс Дидактические материалы Углубленный уровень
- Автор: Феоктистов И.Е.
- Издательство: Мнемозина 2016
- Алгебра 7 класс Рабочая тетрадь
- Авторы: С.
Г. Журавлев, Ю.В. Перепелкина - Издательство: Экзамен
- Алгебра 7 класс Алгоритм успеха Углубленный уровень
- Авторы: Мерзляк А.Г., Поляков В.М.
- Издательство: Вентана-граф 2016-2020
- Алгебра 7 класс Дидактические материалы УМК
- Автор: Попов М.
А. - Издательство: Экзамен 2016
- Алгебра 7 класс Контрольные работы Углубленный уровень
- Автор: Мордкович А.Г.
- Издательство: Мнемозина 2016
- Алгебра 7 класс Дидактические материалы Алгоритм успеха
- Авторы: Мерзляк А.
Г., Полонский В.Б., Рабинович Е.М., Якир М.С. - Издательства: Просвещение, Вентана-граф 2017-2021
- Алгебра 7 класс
- Авторы: Арефьева И.Г., Пирютко О.Н.
- Издательство: Народная асвета 2017
- Алгебра 7 класс Дидактические материалы МГУ — школе
- Авторы: Потапов М.
К., Шевкин А.В. - Издательство: Просвещение 2017
- Алгебра 7 класс Рабочая тетрадь УМК
- Автор: Ерина Т.М.
- Издательство: Экзамен 2013
- Алгебра 7 класс Дидактические материалы
- Авторы: Ткачева М.
В., Федорова Н.Е., Шабунин М.И. - Издательство: Просвещение 2018
- Алгебра 7 класс Контрольно-измерительные материалы (КИМ)
- Автор: Мартышова Л.И.
- Издательство: ВАКО 2017
- Алгебра 7 класс Контрольные работы
- Авторы: Кузнецова Л.
В., Минаева С.С., Рослова Л.О. - Издательство: Просвещение 2018
- Алгебра 7 класс Тематические тесты МГУ — школе
- Автор: Чулков П.В.
- Издательство: Просвещение
- Алгебра 7 класс Контрольные работы Базовый уровень
- Автор: Александрова Л.
А. - Издательство: Мнемозина 2017-2019
- Алгебра 7 класс Самостоятельные работы Базовый уровень
- Автор: Александрова Л.А.
- Издательство: Мнемозина 2016-2019
- Алгебра 7 класс Задачник Углубленный уровень
- Авторы: Мордкович А.
Г., Николаев Н.П. - Издательство: Мнемозина 2016-2019
- Алгебра 7 класс Самостоятельные и контрольные работы Алгоритм успеха Углубленный уровень
- Авторы: Мерзляк А.Г., Полонский В.В., Рабинович Е.М., Якир М.С.
- Издательство: Вентана-граф 2017
- Алгебра 7 класс Самостоятельные работы Углубленный уровень
- Автор: Александрова Л.
А. - Издательство: Мнемозина 2016
- Алгебра 7 класс Тематические тесты
- Авторы: Кузнецова Л.В., Минаева С.С., Рослова Л.О.
- Издательство: Просвещение 2017
- Алгебра 7 класс Дидактические материалы
- Авторы: Евстафьева Л.
П.,, Карп А.П. - Издательство: Просвещение 2018
- Алгебра 7 класс Тематические тесты
- Авторы: Дудницын Ю.П., Кронгауз В.Л.
- Издательство: Просвещение 2014
- Алгебра 7 класс Тесты Базовый уровень
- Авторы: Мордкович А.
Г., Тульчинская Е.Е. - Издательство: Мнемозина 2013-2019
- Алгебра 7 класс Дидактические материалы УМК
- Авторы: Звавич Л.И., Дяконова Н.В.
- Издательство: Экзамен 2018
- Алгебра 7 класс Рабочая тетрадь УМК
- Авторы: Ключникова Е.
М., Комиссарова И.В. - Издательство: Экзамен 2017
- Алгебра 7 класс Рабочая тетрадь
- Авторы: Миндюк Н.Г., Шлыкова И.С.
- Издательство: Просвещение 2017
- Алгебра 7 класс Тематические тесты
- Автор: Ткачева М.
В. - Издательство: Просвещение 2018
- Алгебра 7 класс Рабочая тетрадь
- Авторы: Муравин Г.К., Муравина О.В.
- Издательство: Дрофа 2018
- Алгебра 7 класс Рабочая тетрадь
- Авторы: Колягин Ю.
М., Ткачева М.В., Федорова Н.Е., Шабунин М.И. - Издательство: Просвещение 2017
- Алгебра 7 класс Рабочая тетрадь МГУ — школе
- Авторы: Потапов М.К., Шевкин А.В.
- Издательство: Просвещение 2018
- Алгебра 7 класс
- Авторы: Колягин Ю.
М., Ткачева М.В., Федорова Н.Е., Шабунин М.И. - Издательство: Просвещение 2012
- Алгебра 7 класс Рабочая тетрадь
- Авторы: Минаева С.С., Рослова Л.О.
- Издательство: Просвещение 2018
- Алгебра 7 класс
- Автор: Цейтлiн О.
I. - Издательство: Ранок 2015
- Алгебра 7 класс Рабочая тетрадь Алгоритм успеха
- Авторы: Мерзляк А.Г., Полонский В.В., Якир М.С.
- Издательство: Вентана-граф 2018
- Алгебра 7 класс
- Авторы: Мерзляк А.
Г., Полонський В.Б., Якир М.Ц. - Издательство: Гимназия 2016
- Алгебра 7 класс
- Авторы: Тарасенкова Н.А., Богатырева И.М., Коломиец О.М., Сердюк З.О.
- Издательство: Освiта 2015
- Алгебра 7 класс
- Автор: Истер О.
С. - Издательство: Генеза 2015
- Алгебра 7 класс Сферы 1-11
- Авторы: Бунимович Е.А., Кузнецова Л.В., Минаева С.С.
- Издательство: Просвещение 2017
- Алгебра 7 класс
- Авторы: Шыныбеков А.
Н., Шыныбеков Д.А - Издательство: Атамұра 2017
- Алгебра 7 класс
- Авторы: Абылкасымова А.Е., Кучер Т.П., Жумагулова З.А., Корчевский В.Е.
- Издательство: Мектеп 2017
- Алгебра 7 класс
- Авторы: Мордкович А.
Г., Семенов П.В., Александрова Л.А., Мардахаева Е.Л. - Издательства: Просвещение, Бином 2018
- Алгебра 7 класс Рабочая тетрадь
- Авторы: Лебединцева Е. А., Беленкова Е. Ю.
- Издательство: Интеллект, Центр 2013
- Алгебра 7 класс Рабочая тетрадь
- Авторы: Зубарева И.
И., Мильштейн М.С. - Издательство: Мнемозина 2020
- Алгебра 7 класс Сборник задач
- Авторы: Рурукин А.Н., Гусева Н.Н., Шуваева Е.А.
- Издательство: ВАКО 2018
- Алгебра 7 класс Задачник-тренажёр Сферы
- Авторы: Бунимович Е.
А., Кузнецова Л.В., Минаева С.С., Рослова Л.О., Суворова С.Б. - Издательство: Просвещение 2020
- Алгебра 7 класс Контрольные работы
- Автор: М.В. Шуркова
- Издательство: Бином 2019
- Алгебра 7 класс Тесты УМК
- Авторы: Глазков Ю.
А., Гаиашвили М. Я. - Издательство: Экзамен 2011
- Алгебра 7 класс Тематические проверочные работы
- Автор: Александрова Л.А.
- Издательство: Мнемозина 2012
- Алгебра 7 класс Тесты УМК
- Авторы: Журавлев С.
Г., Ермаков В.В., Перепелкина Ю.В., Свентковский В.А. - Издательство: Экзамен 2013
- Алгебра 7 класс Тесты УМК
- Авторы: Ключникова Е.М., Комиссарова И.В.
- Издательство: Экзамен 2011
- Алгебра 7 класс Рабочая тетрадь
- Автор: Шуркова М.
В. - Издательство: Бином 2019
- Алгебра 7 класс Тетрадь контрольных тестовых работ Контролируемые элементы содержания
- Автор: О.Н. Парфентьева
- Издательство: Фёдоров 2017
- Алгебра 7 класс Контрольные и самостоятельные работы УМК
- Автор: Попов М.
А. - Издательство: Экзамен 2017
- Алгебра 7 класс Практикум Базовый уровень
- Автор: Красс Э.Ю.
- Издательство: Бином 2019
- Алгебра 7 класс Контрольные измерительные материалы Контрольные измерительные материалы
- Авторы: Глазков Ю.
А., Гаиашвили М.Я. - Издательство: Экзамен 2014
- Алгебра 7 класс Самостоятельные и контрольные работы УМК
- Авторы: Глазков Ю.А., Гаиашвили М.Я.
- Издательство: Экзамен 2015
- Алгебра 7 класс Дидактические материалы
- Авторы: Б.
Г. Зив, В.А. Гольдич - Издательство: Виктория плюс 2013
- Алгебра 7 класс Контрольные работы (Методическое пособие) Алгоритм успеха Углубленный уровень
- Авторы: Буцко Е.В., Мерзляк А.Г., Полонский В.Б., Якир М.С.
- Издательство: Вентана-граф 2020
- Алгебра 7 класс Математические диктанты, Контрольные работы (Методическое пособие) Алгоритм успеха
- Авторы: Буцко Е.
В., Мерзляк А.Г., Полонский В.Б., Якир М.С. - Издательство: Вентана-граф 2019
- Алгебра 7 класс
- Авторы: Г. К. Муравин, К. С. Муравин, О. В. Муравина
- Издательство: Дрофа 2016
- Английский язык 7 класс New Millennium
- Автор: Н.
Н. Деревянко - Издательство: Титул 2015
- Алгебра 7 класс Задачник Базовый уровень
- Авторы: А.Г. Мордкович, Л.А. Александрова, Т.Н. Мишустина, Е.Е. Тульчинская
- Издательство: Мнемозина 2017-2021
- История 7 класс Школа 2100
- Авторы: Д.
Д. Данилов, Е.В. Сизова, А.В. Кузнецов, С.С. Кузнецова - Издательство: Баласс 2013
- Английский язык 7 класс Рабочая тетрадь Starlight Углубленный уровень
- Авторы: Баранова К.М., Дули Д., Эванс В., Копылова В., Мильруд Р.
- Издательство: Просвещение 2017
- Русский язык 7 класс Школа 2100
- Авторы: Бунеев Р.
Н., Бунеева Е.В., Коммисарова Л.Ю., Текучева И.В. - Издательство: Баласс 2016
- Английский язык 7 класс Rainbow
- Авторы: Афанасьева О. В., Михеева И. В., Баранова К. М.
- Издательство: Дрофа 2016
- Английский язык 7 класс Инновационная школа
- Авторы: Комарова Ю.
А., Ларионова И.В., Макбет К. - Издательство: Русское слово 2016
- Английский язык 7 класс Рабочая тетрадь Spotlight
- Авторы: Ю.Е. Ваулина, Д. Дули, О.Е. Подоляко, В. Эванс
- Издательство: Просвещение 2015
Поиск материала «ГДЗ по алгебре, 7 класс» для чтения, скачивания и покупки
Ниже показаны результаты поиска поисковой системы Яндекс.
В результатах могут быть показаны как эта книга, так и похожие на нее по названию или автору.
Search results:
- Скачать решебники за 7 класс
Решебники по всем предметам за 7 класс. В седьмом классе есть очень много трудных предметов, но справляться с ними не так трудно, если у вас есть все решебники 7 класса..
Решебник к контрольным работам по алгебре Дудницын Ю.П., Тульчинская Е.Е. для 7 класса.
resh-ege.ru
- ГДЗ — Алгебра. 7 класс — Макарычев Ю.Н.
ГДЗ — Алгебра. 7 класс — Макарычев Ю.Н. Решебник к новому изданию учебника Ю.Н. Макарычева по алгебре для 7 класса соответствует ФГОС и включает в себя ответы на все задания. Он поможет учащимся эффективно овладеть программой по алгебре, а родителям — проконтролировать правильность выполнения домашних заданий. В 7 классе ты начинаешь изучать новый учебный предмет, являющийся одним из важнейших разделов математики — алгебру.
Хотя алгебра и появилась очень давно…11klasov.net
-
Купить эту книгу
- Канцтовары
Канцтовары: бумага, ручки, карандаши, тетради. Ранцы, рюкзаки, сумки. И многое другое.
my-shop.ru
- ГДЗ по алгебре 7 класс от Путина: решебники, ответы
Готовое домашние задание (ГДЗ) от Путина по алгебре за 7 класс: решебники, ответы онлайн. Самые популярные и свежие ответы на задания из учебников от знаменитых авторов.
ГДЗ по алгебре для 7 класса – это практическое пособие, которое содержит полный комплекс выполненных задач и примеров по учебникам, используемых в рамках школьного курса в большинстве средних учебных заведений РФ. Начала алгебры в 7 классе – ГДЗ от Путина в помощь.
otvetkin.
info - Решебники по алгебре 7 класс | ГДЗ Алгебра 7 класс
Онлайн решебники ГДЗ авторов Макарычев, Мордкович, Мерзляк, Колягин по алгебре 7 класс бесплатно c пояснениями.
В настоящее время в 7 классе учатся по следующим учебникам алгебры: Макарычев , Мордкович , Мерзляк и Никольский . Данные учебники хорошо показали себя в учебном процессе, поэтому можно смело им довериться. Все ответы по данным учебника явлются нашей авторской разработкой с множеством пояснений, чтобы семиклассник получил максиммум пользы при использовании решебников по данным учебникам.
reshak.ru
- ГДЗ решебники по алгебре за 7 класс
Подробные решения и ГДЗ по алгебре за 7 класс к вашему учебнику и рабочей тетради.
Конечно, можно нанять репетиторов, но не все могут позволить себе это удовольствие.
В таком случае универсальным средством будет прибегнуть к помощи ГДЗ по алгебре 7 класс. И домашние задания для вашего ребенка превратятся в легкое действо, когда по любым вопросам они получат моментальный ответ.megashpora.com
- ГДЗ по алгебре 7 класс скачать бесплатно.
Книга с ГДЗ по алгебре 7 класса – оптимальное решение, как для отличников, так и учеников, желающих подтянуть свою успеваемость. В каталоге нашего сайта представлены решебники от различных авторов. Мы отобрали для вас рекомендованные непосредственно преподавателями издания, позволяющие не только списать ответы на задания, но и получить дополнительные разъяснения материала. Выбирая решебник по алгебре за 7 класс, школьники или их родители могут рассчитывать на следующие преимущества: • Быстрое выполнение домашнего задания.
gdzlol.net
- ГДЗ к учебникам по Алгебре за 7 класс
Задачи из школьных учебников Алгебра, ответы и ГДЗ.

gdzclass.ru
- ГДЗ по алгебре 7 класс. Ответы на задания
Как быстро и правильно сделать домашнее задание по алгебре ученику 7 класса без помощи родителей и репетитора? Как сделать так, чтобы и уроки были поучены, и время на отдых на свежем воздухе осталось? А если очень хочется поиграть на компьютере, а в алгебре разбираться до ночи придется? Просто все эти вопросы решить поможет методическое пособие ГДЗ по алгебре 7 за класс. Заботливые авторы математики уже решили все домашние задания по алгебре за весь год!
mygdz.net
- Учебник по алгебре 7 класс скачать бесплатно
Призвана возможность скачать учебник по алгебре 7 класс и в спокойной домашней обстановке заучить сложные алгебраические законы и принципы.
11klasov.
net - Белорусские ГДЗ и Решебник для 7 класса по Алгебре на…
Мегарешеба — Белорусские ГДЗ и Решебник по Алгебре поможет Вам найти ответ на самое сложное задание для 7 класса. Решай онлайн домашку вместе с нами!
megaresheba.com
- ГДЗ (решебники) для учебников 7 класса по алгебре: решения…
Поэтому готовое домашнее задание по алгебре за 7 класс точно поможет ему немного вздохнуть с облегчением, чувствовать себя более уверенно и спокойно. Мы ни в коем случае не предлагаем бездумно переписывать готовые ответы в тетрадку и полностью забыть об уроках. Напротив, ГДЗ по алгебре за 7 класс – это повод задержаться за уроками, вникнуть в тему, разобраться с непонятными моментами. Столкнулись с задачей, для которой никак не можете найти решение? Откройте ГДЗ, найдите похожее задание, посмотрите.
..Reshalka.com
- ГДЗ к учебникам и тетрадям по Алгебре за 7 класс.
ГДЗ по Алгебре за 7 класс поможет ученикам и родителям с проверкой домашнего задания. Выберите нужный предмет и класс и вам откроется список решебников к учебникам и тетрадям на гдз.мода.
обучающиеся становятся более независимыми, у них развиваются самостоятельность и дисциплина. Почему всем так нравится предложенный онлайн-справочник. Он существенно облегчит участь вашего чада, который в этом году будет крайне загружен.
gdz.moda
- ГДЗ по Алгебре 7 класс: Макарычев — Решебник с подробными…
Готовые домашние задания (ГДЗ) к учебнику алгебры 7 класса от Макарычева. Сборник бесплатных решений с пошаговым алгоритмом выполнения задач. Ответы на упражнения стандартного типа и повышенного уровня сложности.

Готовое домашнее задание (ГДЗ) по алгебре для 7 класса от Макарычева Ю.Н. с подробным решением задач разного уровня сложности, многовариантными ответами и пояснениями. Решебник актуален к учебнику 2013-2021 годов.
otvetkin.info
- ГДЗ по алгебре 7 класс онлайн решебник с ответами
В седьмом классе математика как дисциплина делится на алгебру и геометрию. Темы становятся сложнее, не всегда получается справиться с домашней работой быстро и без ошибок. ГДЗ экономят время, выручают в тех случаях, когда вопросов больше, чем вариантов решения. Мы собрали решебники по алгебре для седьмого класса не только к учебникам, но и к рабочим тетрадям. Они доступны онлайн бесплатно и в хорошем качестве. Для чего нужны ГДЗ
YaGDZ.com
- Мегарешеба — ГДЗ и решебники по Алгебре за 7 класс онлайн
Добро пожаловать на мегарешеба — с лучшими ГДЗ по Алгебре за 7 класс.
Здесь Вы найдете готовые ответы на домашнюю работу. Смотрите решения и получайте пятерки.megaresheba.net
- ГДЗ по Алгебре 7 класс к учебникам и рабочим тетрадям…
Готовые домашние задания по Алгебре за 7 класс, у нас собраны ответы на пособия по Алгебре 7-го класса.
5urokov.ru
- ГДЗ для 7 класса — Алгебра
Представленные специализированные ГДЗ алгебра 7 класс отлично смогли себя зарекомендовать. Их теперь достаточно часто используют самые разнообразные школьники, поскольку они удостоверились в их отличном качестве. Бесспорно, эти готовые домашние задания не надо использовать бездумно для банального списывания. Ведь они служат для сверки своих познаний, а также для повышения общего уровня своей эрудиции.
gdzbezmoroki.
com - ГДЗ по алгебре 7 класс, ответы и решебники | GDZ-Resheba
ГДЗ по алгебре за 7 класс – это возможность проверять свои решения, находить доступное «разобранное по полочкам» объяснение, изучать новую тему с максимальной эффективностью.
Сборник с решениями по алгебре за 7 класс необходим для ознакомления с алгоритмами и правилами разных задач. Тщательная подготовка к занятию, используя пособие, помогает систематизировать полученные знания за весь курс обучения или подтянуть уровень подготовки.
gdz-resheba.ru
- Скачать ГДЗ ГДЗ по алгебре 7 класс Макарычев Ю. Н. и др….
Например: Скачать Adobe Creative Suite 5 , Corel Draw X5 Design Collection.
Для какого класса: 7. Размер: 1.3Mb. Какой программой открывать: Adobe Reader Foxit MobilePDF (на Android) TotalReader (на iPhone/iPad) Adobe Reader (на Windows Phone).

mirsofta.ru
- ГДЗ по алгебре 7 класс с разъяснением ответов примеров из…
ГДЗ по алгебре за 7 класс. Задачи с объяснением решения из учебников. ГДЗ 7 класс Алгебра.
otvet.plus
- ГДЗ РФ по Алгебре 7 класс
ГДЗ РФ — У нас подобраны готовые решения домашних заданий по Алгебре за 7 класс. Вы найдете ответы на вопросы, краткое и полное решение задач, переводы текстов, упражнения из учебников и тетрадей.
Авторы также разрабатывают решебники по алгебре к рабочим тетрадям 7 класса. Решебники по алгебре за седьмой класс помогут ученикам разобраться с числовыми выражениями, расскажут про уравнения и функции, а также продемонстрируют правила работы с одночленами и многочленами.
xn--c1acj.xn--p1ai
- ГДЗ по алгебре 7 класс, решебники и ответы
Списывайте домашнее задание с ГДЗ по алгебре за 7 класс к учебникам и рабочим тетрадям.
Учись с ПОМОГАЛКОЙ на отлично!pomogalka.me
- ГДЗ по алгебре 7 класс (решебники)
Готовые домашние задания по алгебре за 7 класс – онлайн-решебники с ответами и пошаговыми решениями бесплатно и без регистрации, поиск ответов в один клик.
Помочь ученикам в этом призваны решебники по алгебре за 7 класс. На их основе ребята могут проверить правильность выполнения домашних упражнений, подготовиться к контрольным и экзаменам, разобраться в применении сложных формул. В ГДЗ по алгебре за 7 класс можно встретить выполненные упражнения по таким темам, как
gdegdz.ru
- ГДЗ Макарычев 7 класс (алгебра)
Алгебра в 7 классе становится всё более сложнее, чем в 6 классе. Поэтому нужно быть еще более внимательным и умным, чтобы решать различные уравнения и сложные задачки.
Чтобы показать весь свой потенциал, недостаточно просто решать, нужно еще и проверять себя, чтобы ответы по алгебре были самымиЧтобы облегчить учебу в 7 классе, на сайте решак.ру был разработан новый решебник ГДЗ Макарычева Миндюк, который работает в режиме онлайн, и им можно пользоваться, как в школе, так и дома, во время решения домашнего задания.
reshak.ru
- ГДЗ решебник по алгебре за 7 класс
Подробные решения и ГДЗ по алгебре за 7 класс к вашему учебнику и рабочей тетради.
spishi.ltd
- ГДЗ по Алгебре для 7 класса — решебники с ответами
ГДЗ > 7 класс > Алгебра 7 класс. ГДЗ по Алгебре для 7 класса. Приложение для Android.

gdz.red
- ГДЗ(дүж) решения для учебника 7 класс Алгебра KZGDZ.COM
ГДЗ(дүж) по урокам, решенные задания по алгебре за 7 класс.
KZGDZ.COM. 2 класс 3 класс 4 класс 5 класс 6 класс 7 класс 8 класс 9 класс 10 класс 11 класс Все учебники СОР СОЧ.
kzgdz.com
- ГДЗ (решебник) по алгебре 7 класс – РЕШАТОР!
Решебник за 7 класс по алгебре поможет выполнить все задания безукоризненно, укажет новые пути решения примеров, познакомит с научным обоснованием математических задач. ГДЗ – это путь к эффективной самостоятельной работе без посторонней помощи, получению отличных оценок
Решебник полезен тем, что в нем все расписано поэтапно. Если учитель непонятно объясняет или мало часов отводит практике, ГДЗ по алгебре 7 класс помогут исправить ситуацию.
С ними ученик решит достаточное количество примеров, чтобы закрепить знания поreshator.me
- ГДЗ по Алгебре 7 класс, ответы онлайн | GDZ-raketa.ru
Решебники по Алгебре за 7 класс Смотри решение задач с примером. Бесплатный решебник Правильные ответы. + ГДЗ Алгебра 7 класс.
gdz-raketa.ru
- ГДЗ Алгебра 7 класс Макарычев, Миндюк, Нешков, Суворова
Для седьмого класса готовое домашние задание – это отличный вариант Вашему школьнику сэкономить время на подготовку уроков и разобраться в сложном материале. Программа современных учебников довольно непростая и огромной проблемой, с которой сталкиваются ученики и их родители, являются домашние задания.
В 7 классе решение домашнего задания из учебника по алгебре заменит услуги репетитора, сэкономит время и нервы школьникам и их родителям.
Почему стоит использовать сервис ГДЗ?Reshalka.com
- ГДЗ Алгебра 7 класс Мордкович, Александрова, Мишустина…
ГДЗ учебник по алгебре 7 класс Мордкович.
Готовые решения для седьмого класса. ГДЗ по алгебре не только упростит обучение, но и поможет заинтересовать учеников предметом, ведь, если долго пытаться решить то, что не понимаешь, это утомляет и интерес теряется. Именно комплекс курса и решебника мотивирует разобраться даже в самых сложных темах, изучать числовые и алгебраические выражения, линейные функции, их графики и системы линейных уравнений.
Reshalka.com
- Скачать алгебра 7 класс гдз Макарычев APK для Android
Бесплатно. Android. Категория: Образование. Решение упражнений, гдз по алгебре 7 класс по учебнику 2013 года Макарычева.
ГДЗ без интернета. Полная версия решебника по алгебре для 7 класса.m.apkpure.com
На данной странице Вы можете найти лучшие результаты поиска для чтения, скачивания и покупки на интернет сайтах материалов, документов, бумажных и электронных книг и файлов похожих на материал «ГДЗ по алгебре, 7 класс»
Для формирования результатов поиска документов использован сервис Яндекс.XML.
Нашлось 18 млн ответов. Показаны первые 32 результата(ов).
Дата генерации страницы:
ГДЗ Алгебра 7 класс Никольский, Потапов, Решетников
- Алгебра 7 класс
- Серия: МГУ — школе.
- Тип пособия: Учебник
- Авторы: Никольский, Потапов, Решетников
- Издательство: «Просвещение»
Задания для самоконтроля
123456789101112131415161718Задания на исследование
1234567891011121314151234567891011121314151617181920212223242526272829303132333435363738394041424344454647484950515253545556575859606162636465666768697071727374757677787980818283848586878889909192939495969798991001011021031041051061071081091101111121131141151161171181191201211221231241251261271281291301311321331341351361371381391401411421431441451461471481491501511521531541551561571581591601611621631641651661671681691701711721731741751761771781791801811821831841851861871881891901911921931941951961971981992002012022032042052062072082092102112122132142152162172182192202212222232242252262272282292302312322332342352362372382392402412422432442452462472482492502512522532542552562572582592602612622632642652662672682692702712722732742752762772782792802812822832842852862872882892902912922932942952962972982993003013023033043053063073083093103113123133143153163173183193203213223233243253263273283293303313323333343353363373383393403413423433443453463473483493503513523533543553563573583593603613623633643653663673683693703713723733743753763773783793803813823833843853863873883893903913923933943953963973983994004014024034044054064074084094104114124134144154164174184194204214224234244254264274284294304314324334344354364374384394404414424434444454464474484494504514524534544554564574584594604614624634644654664674684694704714724734744754764774784794804814824834844854864874884894904914924934944954964974984995005015025035045055065075085095105115125135145155165175185195205215225235245255265275285295305315325335345355365375385395405415425435445455465475485495505515525535545555565575585595605615625635645655665675685695705715725735745755765775785795805815825835845855865875885895905915925935945955965975985996006016026036046056066076086096106116126136146156166176186196206216226236246256266276286296306316326336346356366376386396406416426436446456466476486496506516526536546556566576586596606616626636646656666676686696706716726736746756766776786796806816826836846856866876886896906916926936946956966976986997007017027037047057067077087097107117127137147157167177187197207217227237247257267277287297307317327337347357367377387397407417427437447457467477487497507517527537547557567577587597607617627637647657667677687697707717727737747757767777787797807817827837847857867877887897907917927937947957967977987998008018028038048058068078088098108118128138148158168178188198208218228238248258268278288298308318328338348358368378388398408418428438448458468478488498508518528538548558568578588598608618628638648658668678688698708718728738748758768778788798808818828838848858868878888898908918928938948958968978988999009019029039049059069079089099109119129139149159169179189199209219229239249259269279289299309319329339349359369379389399409419429439449459469479489499509519529539549559569579589599609619629639649659669679689699709719729739749759769779789799809819829839849859869879889899909919929939949959969979989991000100110021003100410051006100710081009101010111012101310141015101610171018101910201021102210231024102510261027102810291030103110321033103410351036103710381039104010411042104310441045104610471048104910501051105210531054105510561057105810591060106110621063106410651066106710681069107010711072107310741075107610771078107910801081108210831084108510861087108810891090109110921093109410951096109710981099110011011102110311041105110611071108110911101111111211131114111511161117111811191120112111221123112411251126112711281129113011311132
Задания для самоконтроля: 1
Условие
Решебник №1
Решебник №2
Учим алгебру правильно
Многие школьники после разделения привычной им математики на алгебру и геометрию начинают теряться.
Более сложный материал и непонятные формулы нередко становятся причиной падения успеваемости. Если с самого начала не наладить учебный процесс, то в дальнейшем исправить ситуацию будет значительно труднее. Для полного понимания алгебры необходимо не только внимательно слушать учителя, штудировать учебник, но и пользоваться дополнительными методическими пособиями, такими как ГДЗ.
Седьмой класс готовит учеников к более углубленному изучению предмета. Так как данная дисциплина очень сложна, то и относиться к ней надо с повышенным вниманием. Программа в этом году предстоит тоже весьма непростая. Действительные числа, алгебраические и линейные уравнения — это одно из немногого с чем придется столкнуться школьникам на уроках.
Немаловажным является полное осознание материала, так как малейшее недопонимание или отсутствие в школе по болезни даже в течении пары дней, может привести к тому, что предмет перестанет нравиться и оценки по нему значительно снизятся.
Чтобы этого не произошло, детям и их родителям предлагают воспользоваться решебником к учебнику «Алгебра 7 класс Учебник Никольский, Потапов, Решетников, Шевкин (Просвещение, 2015г.)». Это пособие поможет поддерживать свои знания на должном уровне.
Что включено в ГДЗ
В сборнике содержится 1132 основных задания, а так же задачи на исследование и для самоконтроля. Они полностью охватывают учебный курс этого года. Авторы предоставили ребятам:
- обширные ответы;
- подробные решения;
- дополнительные материалы.
Все это призвано помочь ученикам глубже вникнуть в тематику и избежать ошибок, которые повлияют на их успеваемость. ГДЗ по Алгебре 7 класс Никольский станет незаменимым помощником каждого школьника. Самостоятельные и контрольные работы уже не будут представлять какой-либо сложности, ведь к ним можно заранее подготовиться. Вся необходимая для этого информация представлена на страницах данного справочника, и доступна к просмотру онлайн круглосуточно, так что ученики могут работать в удобное для себя время.
Чего ожидать от решебника
Изучение алгебры требует максимальной отдачи от учащихся. Это не тот предмет, который можно просто задвинуть на задний план, не вникая в его суть. Но именно так и стараются поступить многие дети, не отдавая себе отчета в том, что одна неправильно понятая тема негативно повлияет на понимание дисциплины в целом. Поэтому ребятам необходимо:
- Внимательно разбирать параграфы.
- Не стесняться задавать вопросы в случае недопонимания.
- Выполнять все задания учителя.
- Проводить в обязательном порядке работу над ошибками.
- Пользоваться ГДЗ для самоконтроля.
Кроме того, это руководство будет полезно не только ученикам, но и их родителям. Его плюсы заключаются в полной доступности заданий даже для людей, которые мало что понимают в данном предмете или основательно его подзабыли. Решебник к учебнику «Алгебра 7 класс Никольский (Просвещение)» поможет любому школьнику подтянуть свои знания, а взрослым — в любой момент проконтролировать учебный процесс и проверить уровень подготовки своих отпрысков.
Решебником нередко пользуются и учителя. Данное пособие помогаем им сэкономить время на проверке тетрадей своих подопечных, составить план урока и нередко задания для контрольных они выбирают именно из ГДЗ по алгебре. Школьникам стоит иметь это ввиду, чтобы заблаговременно проштудировать материалы и не испытывать затруднений при очередной внеплановой проверочной работе.
Насколько продуктивно использование ГДЗ
Учитывая большие нагрузки, которые предстоит испытать школьникам в этом году, не приходится удивляться, что многие из них просто теряют интерес к учебе. Ребята просто не успевают заниматься внеурочной деятельностью, выполнять многочисленные задания и посещать дополнительные секции. Кроме того, им необходимо выделить еще достаточно времени на отдых, иначе на следующий день они просто не смогут сосредоточиться на уроках. Естественно при таком раскладе учащиеся начинают искать всевозможные способы облегчить себе жизнь. Чаще всего ребята прибегают к списыванию.
Такой способ только на первых порах приносит положительный результат, а потом начинаются проблемы.
Намного эффективнее использовать в учебном процессе решебник, который позволит существенно сократить время на выполнение домашнего задания и усвоение текущего материала. С этим пособием под рукой ученики могут не переживать, что что-то не успеют или упустят. Авторы постарались максимально адаптировать представленные сведения для пользователей с любым уровнем знаний, так что даже двоечники смогут стать отличниками при должном усердии.
Как правильно пользоваться онлайн-решебником
Некоторые школьники считают, что не нужно прикладывать особых усилий, чтобы пользоваться ГДЗ по алгебре 7 класс Учебник Никольский (Просвещение). Но это не совсем так. Ведь если просто бездумно списывать информацию, то нужные знания просто не отложатся в памяти, что в дальнейшем негативно скажется при проведении проверочных мероприятий. Поэтому необходимо придерживаться нескольких элементарных правил:
- всегда изучать теорию;
- все задания выполнять самостоятельно;
- проверять себя при помощи ГДЗ;
- искать причины возникновения ошибок;
- закреплять изученное.

Если действовать по этому алгоритму, то можно с легкостью разобрать даже самые сложные алгебраические темы. При этом полученными познаниями школьники смогут воспользоваться и в дальнейшем, а не просто позабудут все через пару недель. Решебник находится в круглосуточном онлайн-доступе, поэтому открыть его можно с любого современного гаджета, подключенного к интернету. Это дает возможность воспользоваться подсказками непосредственно перед уроком, что гарантирует получение пятерки и за устный ответ и за письменную работу.
ГДЗ по алгебре 7 класс: Мерзляк. Подробный Решебник — Ставки на спорт Аг
Готовое домашнее задание (ГДЗ) к учебнику 7 класс алгебра от Мерзляка А.Г. Уникальные ответы с подробными решениями в бесплатном круглосуточном доступе. Актуальность Решебника 2015-2022 года.
Издание: Алгебра. 7-й класс. Учебник для студентов общеобразовательных организаций / А.Г. Мерзляк, В.Б. Полонский, М.С. Якир.
График Вентана. 2015-2022г.
Готовое домашнее задание (ГДЗ) по алгебре за 7 класс Мерзляк А.Г. В удобном формате с подробными ответами. Сборник уникальных решений с комментариями и пошаговым алгоритмом выполнения заданий актуален для учебников 2015-2022 года.
Искать в Решебнике
Строение Решебник
Номера
Готовое домашнее задание за 7 класс по Алгебре Мерзляк
Главная проблема современных школьников – нехватка свободного времени. Сложный учебный план требует максимального внимания не только к ученикам, но и их родителям. Воспитанники дня дня делают уроки, пытаясь разобраться со сложными темами, а Папы и Мамы подгоняют своих детей, проверяют домашние задания.
В таких условиях решебник оказывает неоценимую помощь. Экономит время, давая подсказки по решению задач, позволяет самостоятельно разбираться в математических примерах. А родители с помощью готовых домашних заданий получают контроль над успеваемостью своего ребенка.
Но ГДЗ тоже отличается, большинство этих пособий просто краткие материалы для написания. В отличие от них Респут с помощью подробных комментариев объясняет пошаговый алгоритм выполнения задач, дает разные способы решения одного и того же примера.
Преимущества книги ответов перед другими Решебниками:
- Фактические ответы . Вы можете постоянно обновлять базу данных на нашем сайте. Мы размещаем пособия с готовыми решениями только к последним изданиям учебников, по которым обучаются в большинстве школ РФ. Поэтому на нашем сайте школьники не путаются в нумерации, все номера ответов совпадают с упражнениями в книге.
- Подробные пояснения . Практически к каждому заданию на ответ есть краткий и развернутый ответ, который даст пользователю исчерпывающую информацию по теме. Сокращенное решение вывешивается для быстрой записи в тетрадь, комментарии к нему – для лучшего понимания задачи.
- Удобный формат .
Мы специально подобрали шрифт и способ наложения текста, чтобы его было удобно просматривать со смартфона, планшета или ноутбука. ГДЗ из ответной части предоставляется круглосуточный доступ. Чтобы быстро найти нужное решение, достаточно ввести номер задачи в строку поиска. - Только проверенные данные . В отличие от других решебников на нашем сайте нет ошибок, потому что мы постоянно перепроверяем все материалы на наличие опечаток.
Респутовен экономит время и нервы на поиске готовых решений в видеоуроках. Как правило, школьникам необходимо потратить 10 минут, чтобы дослушать говорящего до конца, вернуться к нужному фрагменту, чтобы записать ответ в тетрадь. По сути, все видеоуроки содержат краткие ГДЗ без подробного объяснения алгоритма действий. Поэтому даже в сравнении с видео наш сайт не имеет аналогов.
Уникальные подробные решения с пояснениями книги ответов
Седьмой класс – важный этап обучения в школе. Ученики переходят от математики к алгебре.
Формулы сокращенного умножения, действия с одностворчатыми и многочленами, решение систем линейных уравнений часто вызывают трудности у семиклассников. Не понимают новинки, быстро теряют интерес. Несколько новых тем все же стоит пропустить из-за отсутствия урока и школьник уже не сможет наверстать упущенное без посторонней помощи.
Репликин поможет справиться с проблемами в обучении. Он даст подсказки при прохождении новой темы, позволит быстро подготовиться к смене неожиданного теста тетрадей, будет надежным советом во время выполнения домашних заданий.
Почему лучшая альтернатива репетиторам?
- Экономит время . Часто родители дают деньги репетитору, и только через некоторое время узнают, что их ребенок стремится к дополнительным занятиям. Все потому, что ученик устает от школьных уроков и не хочет сидеть лишние 45-60 минут. Но готовые домашние задания на нашем сайте качественно составлены и отсортированы таким образом, чтобы за короткое время школьник смог разобраться в сложной теме, проверить правильность ответа.

- Слезы к самоконтролю. Самостоятельное изучение алгебры, даже если советы от Решебника помогут учащемуся почувствовать уверенность в себе, развить интерес к предмету.
- Круглосуточный доступ. Репетитор отвечает на вопросы ученика только на дополнительных занятиях, но часто у школьника возникают проблемы с изучением алгебры и в другое время. В отличие от преподавателя, наш сайт доступен 24 часа в сутки, причем не только с компьютера, но и с мобильного телефона.
- Помогает бесплатно. Денежные траты на репетитора оправданы при подготовке к экзамену. Но с действующей школьной программой можно справиться и без дополнительных затрат, прибегнув к помощи решебника. Пособие с подробными ответами поможет разобраться в алгоритмах решения задач, поможет повысить успеваемость, выполнить домашнее задание.
Нашим сайтом удобно пользоваться не только школьникам, но и их родителям. В 7 классе многие папы и мамы проверяют тетради своих детей, но не все взрослые помнят школьную программу по алгебре.
А вот книга ответов предлагает развернутые ответы с пояснениями, дает несколько вариантов правильного задания, что удобно для проверки домашнего задания.
Как пользоваться сайтом и открывать ответы с подробными пояснениями?
Нужный предмет и учебник можно быстро найти через поисковую строку. При открытии ГДЗ пользователю будет видна таблица с номерами заданий. Выбирать упражнения можно как вручную, так и автоматически, я ввел нужный номер в поле Поиск по решебнику.
Незарегистрированные пользователи откроют краткий ответ для записи в блокнот. Для просмотра подробных пояснений и вспомогательных фактов необходимо зарегистрироваться. Вы можете сделать это одним из удобных для вас способов:
- Через социальную сеть. Нажмите на иконку любой социальной сети, расположенную рядом с кнопкой «Войти». Подтвердите ввод, примите пользовательские соглашения. Автоматически вы создаете учетную запись, в которой можете сменить пароль, подписаться на новости сайта.

- Использование почтового ящика. Напишите точный адрес своей почты и дождитесь письма с ссылкой на активацию. Перейдите по ссылке и таким образом активируйте свой аккаунт.
Авторизованным пользователям предоставляется личный кабинет, где можно следить за открытыми ответами и быстро переходить к ним. Каждая просмотренная задача хранится здесь 24 часа, после чего исчезает.
Кроме того, в Личном кабинете есть управление подпиской, которая по умолчанию бесплатна. Ежедневно пользователь может открыть 3 любых решения. Если есть потребность в большем открытии в день — можно приобрести платную подписку на выгодных условиях. Вся информация о тарифах и сроках платной подписки также находится в Личном кабинете.
Решебник алгебра седьмого класса к учебнику Мерзляка, Полонского, Якира
Пособие с подробными решениями для 7 класса по алгебре основано на Учебнике Merzil 2015 года. Содержание учебника соответствует ФГОС основного общего образования.
Нумерация готовых домашних заданий из RESCOINT соответствует номерам учебных пособий. В одном задании может быть несколько вариантов ответа.
Программа по алгебре для 7-го класса разделена на 4 главы, которые в сумме составляют 29 параграфов. Параграфы включают как теоретический, так и практический материал. Каждая новая тема закрепляется решением примеров и задач, которые полученные знания сразу закрепляются на практике. Задания расположены по принципу усложнения – от самых простых, до средних по сложности и трудных. В отдельных разделах вы найдете упражнения, рекомендованные для дома и для устной работы, а также задачи, которые можно решить с помощью компьютера.
Учебное пособие с подробными ответами из ответа поможет секвидам в изучении следующего материала по алгебре:
- Линейное уравнение с одной переменной, решение задач с ним.
- Целые выражения. Идентичности.
- Степень с натуральным показателем и ее свойства.
- Расписания и действия над ними: Умножение не подчиняется многочлену.

- Многочлены и действия над ними: сложение, вычитание, умножение. Разложение многочленов на множители. Метод группировки. Составление общего множителя для скобок. Преобразование многочлена в квадрат суммы или разности двух выражений.
- Линейные уравнения с двумя переменными, системы линейных уравнений, решение задач с их помощью. График линейного уравнения с двумя переменными. Метод замещения и метод добавления. Графический метод решения системы двух линейных уравнений с двумя переменными.
- Произведение суммы и разности двух выражений. Сумма и разность кубов двух выражений. Разность квадратов двух выражений. Квадратная разность и квадратная сумма двух выражений.
- Функция, линейная функция, ее график и свойства.
Решебник поможет секторам успешно познакомиться с новым учебным предметом – алгеброй, освоить понятия и вычислительные навыки, которые пригодятся им при переходе в 8 класс. С помощью ГДЗ с подробными пояснениями школьники смогут понимать пропущенные темы, быстро исправлять плохие оценки, готовиться к экзаменам и контролю, проверять правильность домашних заданий.
Надеемся, что Раскин станет вашим надежным советником на весь учебный год. А благодаря нашему сайту вы сможете научиться быть в совершенстве, без посещения дополнительных занятий, долгих просмотров видео оноров, помощи репетиторов.
Математика, 7 класс | OER Commons
CCSS.Math.Content.7.EE.B.3 7 класс, выражения и уравнения
Кластер: решение реальных и математических задач с использованием числовых и алгебраических выражений и уравнений
Стандарт: Решайте многоэтапные задачи из реальной жизни и математические задачи, связанные с положительными и отрицательными рациональными числами в любой форме (целые числа, дроби и десятичные дроби), стратегически используя инструменты. Применяйте свойства операций как стратегии для расчетов с числами в любой форме; конвертировать между формами по мере необходимости; и оценить обоснованность ответов, используя умственные вычисления и стратегии оценки.
Например: если женщина, зарабатывающая 25 долларов в час, получает повышение на 10%, она будет получать дополнительную 1/10 своей зарплаты в час, или 2,50 доллара, за новую зарплату в 27,50 долларов. Если вы хотите разместить полотенцесушитель 93/4 дюйма длиной в центре двери шириной 27 1/2 дюйма, вам нужно будет разместить планку примерно в 9 дюймах от каждого края; эту оценку можно использовать в качестве проверки точного вычисления.
CCSS.Math.Content.7.EE.B.4 7 класс, выражения и уравнения
Кластер: решение реальных и математических задач с использованием числовых и алгебраических выражений и уравнений
Стандарт: использование переменных для представления величин в реальной или математической задаче и построение простых уравнений и неравенств для решения проблемы, рассуждая о количествах.
CCSS.Math.Content.7.EE.B.4a 7 класс, выражения и уравнения
Кластер: решение реальных и математических задач с использованием числовых и алгебраических выражений и уравнений
Стандарт: решение текстовых задач, приводящих к уравнениям вида px + q = r и p(x + q) = r, где p, q и r — конкретные рациональные числа.
Решите уравнения этих форм бегло. Сравните алгебраическое решение с арифметическим, указав последовательность операций, используемых в каждом подходе. Например, периметр прямоугольника равен 54 см. Его длина составляет 6 см. Какова его ширина?
CCSS.Math.Content.7.GB.6 7 класс, геометрия
Кластер: решение реальных и математических задач, связанных с измерением угла, площади, площади поверхности и объема
Стандарт: решение реальных и математических задач, связанных с площадью, объемом и площадью поверхности двух- и трехмерных объемные объекты, состоящие из треугольников, четырехугольников, многоугольников, кубов и прямых призм.
CCSS.Math.Practice.MP.1 Математические практики
Кластер: Математические практики
Стандарт: Разбираться в проблемах и настойчиво решать их. Подкованные в математике учащиеся начинают с того, что объясняют себе смысл задачи и ищут пути ее решения. Они анализируют данные, ограничения, отношения и цели.
Они строят предположения о форме и значении решения и планируют путь решения, а не просто пытаются найти решение. Они рассматривают аналогичные проблемы и пробуют частные случаи и более простые формы исходной задачи, чтобы получить представление о ее решении. Они контролируют и оценивают свой прогресс и при необходимости меняют курс. Учащиеся постарше могут, в зависимости от контекста задачи, преобразовывать алгебраические выражения или менять окно просмотра на своем графическом калькуляторе, чтобы получить необходимую им информацию. Подкованные в математике учащиеся могут объяснять соответствия между уравнениями, словесными описаниями, таблицами и графиками или рисовать диаграммы важных функций и взаимосвязей, графически отображать данные и искать закономерности или тенденции. Младшие школьники могут полагаться на использование конкретных объектов или изображений, чтобы помочь осмыслить и решить проблему. Математически подкованные учащиеся проверяют свои ответы на задачи, используя другой метод, и они постоянно спрашивают себя: «Имеет ли это смысл?» Они могут понять подходы других к решению сложных проблем и определить соответствие между различными подходами.
CCSS.Math.Practice.MP.2 Математические практики
Кластер: Математические практики
Стандарт: Рассуждать абстрактно и количественно. Учащиеся, обладающие математическими способностями, понимают величины и их отношения в проблемных ситуациях. Студенты привносят две взаимодополняющие способности в решение проблем, связанных с количественными отношениями: способность деконтекстуализировать — абстрагировать данную ситуацию и представлять ее символически и манипулировать репрезентирующими символами, как если бы они жили собственной жизнью, не обязательно обращая внимание на свои референты — и способность контекстуализировать, делать паузы по мере необходимости в процессе манипулирования, чтобы исследовать референты для задействованных символов. Количественное рассуждение влечет за собой привычки создавать последовательное представление проблемы; рассмотрение задействованных единиц; обращать внимание на значение величин, а не только на то, как их вычислять; знание и гибкое использование различных свойств операций и объектов.
CCSS.Math.Practice.MP.3 Математические практики
Кластер: Математические практики
Стандарт: Придумывать жизнеспособные аргументы и критиковать рассуждения других. Подкованные в математике учащиеся понимают и используют заявленные предположения, определения и ранее установленные результаты при построении аргументов. Они строят предположения и выстраивают логическую последовательность утверждений, чтобы исследовать истинность своих предположений. Они способны анализировать ситуации, разбивая их на случаи, а также могут распознавать и использовать контрпримеры. Они обосновывают свои выводы, сообщают их другим и отвечают на аргументы других. Они индуктивно рассуждают о данных, выдвигая правдоподобные аргументы, учитывающие контекст, из которого эти данные возникли. Подкованные в математике учащиеся также способны сравнивать эффективность двух правдоподобных аргументов, отличать правильную логику или рассуждения от ошибочных и, если в аргументе есть изъян, объяснять, в чем он заключается.
Учащиеся начальной школы могут создавать аргументы, используя конкретные референты, такие как объекты, рисунки, диаграммы и действия. Такие аргументы могут иметь смысл и быть правильными, даже если они не обобщаются и не становятся формальными до более поздних классов. Позже учащиеся учатся определять области, к которым применяется аргумент. Учащиеся всех классов могут слушать или читать аргументы других, решать, имеют ли они смысл, и задавать полезные вопросы, чтобы прояснить или улучшить аргументы.
CCSS.Math.Practice.MP.4 Математические практики
Кластер: Математические практики
Стандарт: Модель с математикой. Учащиеся, хорошо разбирающиеся в математике, могут применять математику, которую они знают, для решения проблем, возникающих в повседневной жизни, обществе и на рабочем месте. В младших классах это может быть так же просто, как написать уравнение сложения для описания ситуации. В средних классах учащийся может применять пропорциональные рассуждения, чтобы спланировать школьное мероприятие или проанализировать проблему в сообществе.
К старшей школе учащийся может использовать геометрию для решения задачи проектирования или использовать функцию для описания того, как одна интересующая величина зависит от другой. Подкованные в математике учащиеся, которые могут применять то, что они знают, спокойно делают предположения и приближения, чтобы упростить сложную ситуацию, понимая, что позже они могут потребовать пересмотра. Они способны определять важные величины в практической ситуации и отображать их отношения, используя такие инструменты, как диаграммы, двусторонние таблицы, графики, блок-схемы и формулы. Они могут математически анализировать эти отношения, чтобы делать выводы. Они обычно интерпретируют свои математические результаты в контексте ситуации и размышляют о том, имеют ли результаты смысл, возможно, улучшая модель, если она не достигла своей цели.
CCSS.Math.Practice.MP.5 Математические практики
Кластер: Математические практики
Стандарт: Стратегическое использование соответствующих инструментов.
Подкованные в математике учащиеся рассматривают доступные инструменты при решении математической задачи. Эти инструменты могут включать карандаш и бумагу, конкретные модели, линейку, транспортир, калькулятор, электронную таблицу, систему компьютерной алгебры, статистический пакет или программное обеспечение для динамической геометрии. Профессиональные учащиеся достаточно хорошо знакомы с инструментами, соответствующими их классу или курсу, чтобы принимать обоснованные решения о том, когда каждый из этих инструментов может быть полезен, признавая как получаемое понимание, так и их ограничения. Например, математически подкованные старшеклассники анализируют графики функций и решений, построенные с помощью графического калькулятора. Они обнаруживают возможные ошибки, стратегически используя оценку и другие математические знания. Создавая математические модели, они знают, что технологии позволяют визуализировать результаты различных предположений, исследовать последствия и сравнивать прогнозы с данными.
Подкованные в математике учащиеся разных классов способны идентифицировать соответствующие внешние математические ресурсы, такие как цифровой контент, размещенный на веб-сайте, и использовать их для постановки или решения задач. Они могут использовать технологические инструменты для изучения и углубления своего понимания концепций.
CCSS.Math.Practice.MP.6 Математические практики
Кластер: Математические практики
Стандарт: внимание к точности. Математически подкованные ученики стараются точно общаться с другими. Они стараются использовать четкие определения в обсуждениях с другими и в собственных рассуждениях. Они заявляют о значении выбранных ими символов, включая последовательное и уместное использование знака равенства. Они внимательно относятся к указанию единиц измерения и маркировке осей, чтобы прояснить соответствие с количествами в задаче. Они рассчитывают точно и эффективно, выражают числовые ответы с точностью, соответствующей контексту задачи.
2 + x + 1) может привести их к общей формуле суммы геометрического ряда. Работая над решением задачи, математически подкованные ученики контролируют процесс, уделяя внимание деталям. Они постоянно оценивают обоснованность своих промежуточных результатов.
CCSS.Math.Content.7.SP.A.1 7 класс, Статистика и вероятность
Кластер: использование случайной выборки для получения выводов о населении
Стандарт: понимание того, что статистику можно использовать для получения информации о населении путем изучения выборки населения; обобщения о совокупности из выборки действительны только в том случае, если выборка репрезентативна для этой совокупности. Поймите, что случайная выборка, как правило, дает репрезентативные выборки и поддерживает достоверные выводы.
CCSS.Math.Content.7.SP.A.2 7 класс, Статистика и вероятность
Кластер: использование случайной выборки для получения выводов о совокупности
Стандарт: использование случайной выборки для получения выводов о совокупности.
Используйте данные из случайной выборки, чтобы сделать выводы о совокупности с неизвестной интересующей характеристикой. Создайте несколько выборок (или смоделированных выборок) одинакового размера, чтобы оценить различия в оценках или прогнозах. Например, оцените среднюю длину слова в книге путем случайной выборки слов из книги; предсказать победителя школьных выборов на основе случайно выбранных данных опроса. Оцените, насколько далеко может быть оценка или прогноз.
CCSS.Math.Content.7.SP.B.3 7-й класс, Статистика и вероятность
Кластер: Сделайте неформальные сравнительные выводы о двух популяциях
Стандарт: Неформально оцените степень визуального перекрытия двух распределений числовых данных с одинаковыми вариациями, измеряя разницу между центрами, выражая ее как кратное мера изменчивости. Например, средний рост игроков баскетбольной команды на 10 см больше, чем средний рост игроков футбольной команды, что примерно вдвое превышает вариабельность (среднее абсолютное отклонение) в любой из команд; на точечном графике заметно разделение между двумя распределениями высот.
CCSS.Math.Content.7.SP.B.4 7-й класс, Статистика и вероятность
Кластер: Делайте неформальные сравнительные выводы о двух популяциях
Стандарт: Используйте меры центра и меры изменчивости для числовых данных из случайных выборок, чтобы сделать неформальные сравнительные выводы о двух популяциях. Например, решите, длиннее ли слова в главе учебника по естествознанию для седьмого класса, чем слова в главе из учебника по естествознанию для четвертого класса.
CCSS.Math.Content.7.SP.C.5 7 класс, Статистика и вероятность
Кластер: Изучение случайных процессов и разработка, использование и оценка вероятностных моделей
Стандарт: Понимание того, что вероятность случайного события представляет собой число от 0 до 1, выражающее вероятность наступления события. Большие числа указывают на большую вероятность. Вероятность, близкая к 0, указывает на маловероятное событие, вероятность около 1/2 указывает на событие, которое не является ни маловероятным, ни вероятным, а вероятность, близкая к 1, указывает на вероятное событие.
CCSS.Math.Content.7.SP.C.6 7-й класс, Статистика и вероятность
Кластер: исследование случайных процессов и разработка, использование и оценка вероятностных моделей
Стандарт: аппроксимация вероятности случайного события путем сбора данных о случайном процессе, который его вызывает, и наблюдения за его долговременным соотношением частоту и предсказать приблизительную относительную частоту с учетом вероятности. Например, подбрасывая числовой куб 600 раз, предскажите, что число 3 или 6 выпадет примерно 200 раз, но, вероятно, не ровно 200 раз.
CCSS.Math.Content.7.SP.C.7 7 класс, Статистика и вероятность
Кластер: исследование случайных процессов и разработка, использование и оценка вероятностных моделей
Стандарт: разработка вероятностной модели и ее использование для определения вероятностей событий. Сравните вероятности из модели с наблюдаемыми частотами; если согласие неудовлетворительное, объясните возможные источники несоответствия.
CCSS.Math.Content.7.SP.C.7a 7 класс, Статистика и вероятность
Кластер: Исследование случайных процессов и разработка, использование и оценка вероятностных моделей
Стандарт: Разработайте единую вероятностную модель, приписав всем исходам равную вероятность, и используйте эту модель для определения вероятностей событий. Например, если из класса случайным образом выбран ученик, найдите вероятность того, что будет выбрана Джейн, и вероятность того, что будет выбрана девочка.
CCSS.Math.Content.7.SP.C.7b 7 класс, Статистика и вероятность
Кластер: Исследование случайных процессов и разработка, использование и оценка вероятностных моделей
Стандарт: Разработка вероятностной модели (которая может быть неоднородной) путем наблюдения частот в данных, полученных в результате случайного процесса. Например, найдите приблизительную вероятность того, что крутящийся пенни упадет решкой вверх или что брошенный бумажный стаканчик упадет открытым концом вниз.
Судя по наблюдаемым частотам, результаты для крутящегося пенни кажутся равновероятными?
CCSS.Math.Content.7.SP.C.8 7 класс, Статистика и вероятность
Кластер: исследование случайных процессов и разработка, использование и оценка вероятностных моделей.
Стандарт: поиск вероятностей сложных событий с использованием упорядоченных списков, таблиц, древовидных диаграмм и моделирования.
CCSS.Math.Content.7.SP.C.8a 7-й класс, Статистика и вероятность
Кластер: изучение случайных процессов и разработка, использование и оценка вероятностных моделей
Стандарт: понимание того, что, как и в случае с простыми событиями, вероятность сложного события представляет собой долю исходов в пространстве выборки. для которого происходит составное событие.
CCSS.Math.Content.7.SP.C.8b Класс 7, Статистика и вероятность
Кластер: исследование случайных процессов и разработка, использование и оценка вероятностных моделей
Стандарт: представление выборочных пространств для составных событий с использованием таких методов, как упорядоченные списки, таблицы и древовидные диаграммы.
Для события, описанного повседневным языком (например, «выпадение двойных шестерок»), определите исходы в выборочном пространстве, составляющие событие.
CCSS.Math.Content.7.SP.C.8c 7 класс, Статистика и вероятность
Кластер: Исследование случайных процессов и разработка, использование и оценка вероятностных моделей
Стандарт: Разработка и использование симуляции для генерации частот для составных событий. Например, используйте случайные числа в качестве инструмента моделирования для аппроксимации ответа на вопрос: если 40% доноров имеют кровь группы А, какова вероятность того, что потребуется не менее 4 доноров, чтобы найти одного с кровью группы А?
CCSS.Math.Content.7.EE.A.1 7 класс, Выражения и уравнения
Кластер: использование свойств операций для создания эквивалентных выражений
Стандарт: применение свойств операций в качестве стратегий для сложения, вычитания, факторизации и расширения линейных выражений с рациональными коэффициентами.
CCSS.Math.Content.7.EE.A.2 7 класс, Выражения и уравнения
Кластер: Использование свойств операций для создания эквивалентных выражений
Стандарт: Понимание того, что переписывание выражения в различных формах в контексте задачи может пролить свет на проблему и на то, как связаны величины в ней. Например, a + 0,05a = 1,05a означает, что «увеличение на 5%» равнозначно «умножению на 1,05».
CCSS.Math.Content.7.EE.B.4b 7 класс, выражения и уравнения
Кластер: решение реальных и математических задач с использованием числовых и алгебраических выражений и уравнений
Стандарт: решение текстовых задач, приводящих к неравенствам вида px + q > r или px + q < r, где p, q и r — конкретные рациональные числа. Нарисуйте график множества решений неравенства и интерпретируйте его в контексте проблемы. Например, как продавец, вам платят 50 долларов в неделю плюс 3 доллара за продажу. На этой неделе вы хотите, чтобы ваша зарплата была не менее 100 долларов.
Напишите неравенство для количества продаж, которое вам нужно сделать, и опишите решения.
CCSS.Math.Content.7.G.A.1 7 класс, Геометрия
Кластер: Рисовать, строить и описывать геометрические фигуры и описывать отношения между ними.
Стандарт: решение задач, связанных с чертежами геометрических фигур в масштабе, включая вычисление фактических длин и площадей по чертежу в масштабе и воспроизведение чертежа в масштабе в другом масштабе.
CCSS.Math.Content.7.G.A.3 7 класс, Геометрия
Кластер: Рисовать, строить и описывать геометрические фигуры и описывать отношения между ними.
Стандарт: Опишите двухмерные фигуры, которые получаются в результате разрезания трехмерных фигур, таких как плоские сечения прямоугольных призм и прямоугольных пирамид.
CCSS.Math.Content.7.GB.4 7 класс, геометрия
Кластер: решать практические и математические задачи, связанные с измерением угла, площади, площади поверхности и объема
Стандарт: знать формулы площади и длины окружности и использовать их для решения задач; дать неформальный вывод отношения между длиной окружности и площадью круга.
CCSS.Math.Content.7.G.A.2 7 класс, Геометрия
Кластер: Рисовать, строить и описывать геометрические фигуры и описывать отношения между ними.
Стандарт: Рисование (от руки, с линейкой и транспортиром и с техникой) геометрических фигур с заданными условиями. Сосредоточьтесь на построении треугольников по трем мерам углов или сторон, отмечая, когда условия определяют уникальный треугольник, более одного треугольника или отсутствие треугольника.
CCSS.Math.Content.7.GB.5 7 класс,Геометрия
Кластер: решение реальных и математических задач, связанных с измерением угла, площадью, площадью поверхности и объемом
Стандарт: использование фактов о дополнительных, дополнительных, вертикальных и смежных углах в многошаговой задаче для написания и решения простых уравнений для неизвестного угла в фигуре.
CCSS.Math.Content.7.RP.A.1 7 класс, Соотношения и пропорциональные отношения
Кластер: Анализ пропорциональных отношений и их использование для решения реальных и математических задач
Стандарт: вычисление удельных расходов, связанных с отношениями дробей, включая отношения длин, площадей и других величин, измеренных в одинаковых или разных единицах.
Например, если человек проходит 1/2 мили каждые 1/4 часа, рассчитайте удельную скорость как комплексную дробь (1/2)/(1/4) мили в час, что эквивалентно 2 милям в час.
CCSS.Math.Content.7.RP.A.2 7 класс, Соотношения и пропорциональные отношения
Кластер: Анализ пропорциональных отношений и их использование для решения реальных и математических задач
Стандарт: распознавать и представлять пропорциональные отношения между величинами.
CCSS.Math.Content.7.RP.A.2a 7 класс, Соотношения и пропорциональные отношения
Кластер: Анализ пропорциональных отношений и использование их для решения реальных и математических задач
Стандарт: Определите, находятся ли две величины в пропорциональных отношениях, например, путем проверки эквивалентных отношений в таблице или построение графика на координатной плоскости и наблюдение за тем, является ли график прямой линией, проходящей через начало координат.
CCSS.Math.Content.
7.RP.A.2b
7 класс, Соотношения и пропорциональные отношения
Кластер: Анализ пропорциональных отношений и их использование для решения реальных и математических задач
Стандарт: Определение константы пропорциональности (единицы измерения) в таблицах, графиках, уравнениях, диаграммах и словесных описаниях пропорциональных отношений.
CCSS.Math.Content.7.RP.A.2c 7 класс, Соотношения и пропорциональные отношения
Кластер: Анализ пропорциональных отношений и их использование для решения реальных и математических задач
Стандарт: представление пропорциональных отношений уравнениями. Например, если общая стоимость t пропорциональна количеству n товаров, купленных по постоянной цене p, соотношение между общей стоимостью и количеством товаров может быть выражено как t = pn.
CCSS.Math.Content.7.RP.A.2d 7 класс, Соотношения и пропорциональные отношения
Кластер: Анализ пропорциональных отношений и их использование для решения реальных и математических задач
Стандарт: Объясните, что означает точка (x, y) на графике пропорционального отношения с точки зрения ситуации, уделяя особое внимание точкам (0, 0) и (1, r), где r — единичная ставка.
CCSS.Math.Content.7.RP.A.3 7 класс, Соотношения и пропорциональные отношения
Кластер: Анализ пропорциональных отношений и их использование для решения реальных и математических задач. Примеры: простые проценты, налоги, надбавки и уценки, чаевые и комиссионные, сборы, процентное увеличение и уменьшение, процентная ошибка.
CCSS.Math.Content.7.NS.A.1 7 класс,Система счисления
Кластер: Применение и расширение предыдущего понимания операций с дробями для сложения, вычитания, умножения и деления рациональных чисел
Стандарт: Применение и расширение предыдущего понимания операций сложения и вычитания для сложения и вычитания рациональных чисел; представляют сложение и вычитание на горизонтальной или вертикальной диаграмме с числовыми линиями.
CCSS.Math.Content.7.NS.A.1a 7 класс, Система счисления
Кластер: применение и расширение предыдущего понимания операций с дробями для сложения, вычитания, умножения и деления рациональных чисел
Стандарт: Опишите ситуации, в которых противоположные величины объединяются, чтобы получить 0.
Например, атом водорода имеет нулевой заряд, потому что две его составляющие заряжены противоположно.
CCSS.Math.Content.7.NS.A.1b 7 класс, Система счисления
Кластер: Применение и расширение предыдущего понимания операций с дробями для сложения, вычитания, умножения и деления рациональных чисел
Стандарт: Понимание p + q как числа, расположенного на расстоянии |q| от p в положительном или отрицательном направлении в зависимости от того, является ли q положительным или отрицательным. Покажите, что число и его противоположность имеют сумму 0 (аддитивные инверсии). Интерпретируйте суммы рациональных чисел, описывая контексты реального мира.
CCSS.Math.Content.7.NS.A.1c 7-й класс, Система счисления
Кластер: Применить и расширить предыдущие знания об операциях с дробями для сложения, вычитания, умножения и деления рациональных чисел
Стандарт: Понимать вычитание рациональных чисел как сложение обратной добавки, p – q = p + (–q).
Покажите, что расстояние между двумя рациональными числами на числовой прямой равно абсолютному значению их разности, и примените этот принцип в контексте реального мира.
CCSS.Math.Content.7.NS.A.1d 7 класс, Система счисления
Кластер: Применение и расширение предыдущего понимания операций с дробями для сложения, вычитания, умножения и деления рациональных чисел
Стандарт: Применение свойств операций как стратегий сложения и вычитания рациональных чисел.
CCSS.Math.Content.7.NS.A.2 7 класс, Система счисления
Кластер: применение и расширение предыдущего понимания операций с дробями для сложения, вычитания, умножения и деления рациональных чисел
Стандарт: Применение и расширение предыдущего понимания операций с дробями для сложения, вычитания, умножения и деления рациональных чисел. Применяйте и расширяйте прежнее понимание умножения и деления, а также дробей, чтобы умножать и делить рациональные числа.
CCSS.
Math.Content.7.NS.A.2a
7 класс, Система счисления
Кластер: применение и расширение предыдущего понимания операций с дробями для сложения, вычитания, умножения и деления рациональных чисел
Стандарт: понимать, что умножение распространяется с дробей на рациональные числа, требуя, чтобы операции продолжали удовлетворять свойствам операций, в частности свойству распределения, что приводит к таким продуктам, как (–1)(–1) = 1, и правилам для умножение чисел со знаком. Интерпретируйте произведения рациональных чисел, описывая контексты реального мира.
CCSS.Math.Content.7.NS.A.2b 7 класс, Система счисления
Кластер: применение и расширение предыдущего понимания операций с дробями для сложения, вычитания, умножения и деления рациональных чисел
Стандарт: Поймите, что целые числа можно делить при условии, что делитель не равен нулю, и каждое частное целых чисел (с ненулевым делителем) является рациональным числом. Если p и q целые числа, то –(p/q) = (–p)/q = p/(–q).
Интерпретируйте частные рациональных чисел, описывая контексты реального мира.
CCSS.Math.Content.7.NS.A.2c 7 класс, Система счисления
Кластер: применение и расширение предыдущего понимания операций с дробями для сложения, вычитания, умножения и деления рациональных чисел
Стандарт: Применение свойств операций в качестве стратегий умножения и деления рациональных чисел.
CCSS.Math.Content.7.NS.A.2d 7 класс, Система счисления
Кластер: применение и расширение предыдущего понимания операций с дробями для сложения, вычитания, умножения и деления рациональных чисел. известно, что десятичная форма рационального числа оканчивается на 0 или со временем повторяется.
CCSS.Math.Content.7.NS.A.3 7 класс, Система счисления
Кластер: Применение и расширение предыдущего понимания операций с дробями для сложения, вычитания, умножения и деления рациональных чисел
Стандарт: Решайте реальные и математические задачи, связанные с четырьмя операциями с рациональными числами.
(Вычисления с рациональными числами расширяют правила обращения с дробями до сложных дробей.)
MCCRS.Math.Content.7.G.A.1 7 класс
Область обучения: Геометрия
Стандарт: Рисовать, строить и описывать геометрические фигуры и описывать отношения между ними.
Индикатор: решение задач, связанных с чертежами геометрических фигур в масштабе, включая вычисление фактических длин и площадей по чертежу в масштабе и воспроизведение чертежа в масштабе в другом масштабе.
MCCRS.Math.Content.7.G.A.2 7 класс
Область обучения: Геометрия
Стандарт: Рисовать, строить и описывать геометрические фигуры и описывать отношения между ними.
Индикатор: Начертить (от руки, с линейкой и транспортиром и с техникой) геометрические фигуры с заданными условиями. Сосредоточьтесь на построении треугольников по трем мерам углов или сторон, отмечая, когда условия определяют уникальный треугольник, более одного треугольника или отсутствие треугольника.
MCCRS.Math.Content.7.G.A.3 7 класс
Область обучения: Геометрия
Стандарт: Рисовать, строить и описывать геометрические фигуры и описывать отношения между ними.
Индикатор: Опишите двумерные фигуры, которые получаются в результате разрезания трехмерных фигур, например, в плоских сечениях прямоугольных призм и прямоугольных пирамид.
MCCRS.Math.Content.7.GB.4 7 класс
Область обучения: геометрия
Стандарт: решение реальных и математических задач, связанных с измерением угла, площади, площади поверхности и объема
Показатель: знание формул площади и длины окружности и их использование для решения проблемы; дать неформальный вывод отношения между длиной окружности и площадью круга.
MCCRS.Math.Content.7.GB.5 7 класс
Область обучения: геометрия
Стандарт: решение реальных и математических задач, связанных с измерением угла, площадью, площадью поверхности и объемом
Индикатор: использование фактов о дополнительных, дополнительных, вертикальных и смежных углах в многоуровневой шаг задача написать и решить простые уравнения для неизвестного угла в фигуре.
MCCRS.Math.Content.7.GB.6 7 класс
Область обучения: геометрия
Стандарт: решение реальных и математических задач, связанных с измерением угла, площади, площади поверхности и объема
Индикатор: решение реальных и математических задач, связанных с площадью, объемом и площадью поверхности двух- и трехмерных объектов, состоящих из треугольники, четырехугольники, многоугольники, кубы и прямые призмы.
MCCRS.Math.Content.7.RP.A.1 7 класс
Область обучения: Отношения и пропорциональные отношения
Стандарт: Анализ пропорциональных отношений и их использование для решения реальных и математических задач
Индикатор: Вычислите удельные нормы, связанные с отношениями дробей, включая отношения длин, площадей и других величин, измеренных в одинаковых или разных единицах. Например, если человек проходит 1/2 мили каждые 1/4 часа, рассчитайте удельную скорость как комплексную дробь (1/2)/(1/4) мили в час, что эквивалентно 2 милям в час.
MCCRS.Math.Content.7.RP.A.2 7 класс
Область обучения: Отношения и пропорциональные отношения
Стандарт: Анализ пропорциональных отношений и их использование для решения реальных и математических задач
Индикатор: Распознавание и представление пропорциональных отношений между величинами.
MCCRS.Math.Content.7.RP.A.2a 7 класс
Область обучения: Отношения и пропорциональные отношения
Стандарт: Анализ пропорциональных отношений и их использование для решения реальных и математических задач
Индикатор: Определите, находятся ли две величины в пропорциональном отношении, например, путем проверки эквивалентных отношений в таблице или на графике на координатной плоскости и наблюдая, является ли график прямой линией, проходящей через начало координат.
MCCRS.Math.Content.7.RP.A.2b 7 класс
Область обучения: Соотношения и пропорциональные отношения
Стандарт: Анализ пропорциональных отношений и их использование для решения реальных и математических задач
Индикатор: Определение константы пропорциональности (единицы измерения) в таблицах, графиках, уравнениях, диаграммах и словесные описания пропорциональных отношений.
MCCRS.Math.Content.7.RP.A.2c 7 класс
Область обучения: соотношения и пропорциональные отношения
Стандарт: Анализ пропорциональных отношений и их использование для решения реальных и математических задач.
Индикатор: Представление пропорциональных отношений уравнениями. Например, если общая стоимость t пропорциональна количеству n товаров, купленных по постоянной цене p, соотношение между общей стоимостью и количеством товаров может быть выражено как t = pn.
MCCRS.Math.Content.7.RP.A.2d 7 класс
Область обучения: соотношения и пропорциональные отношения
Стандарт: Анализ пропорциональных отношений и их использование для решения реальных и математических задач
Индикатор: Объясните, что точка (x, y) на графике пропорционального отношения означает с точки зрения ситуации, уделяя особое внимание точки (0, 0) и (1, r), где r — удельная ставка.
MCCRS.Math.Content.7.RP.A.3 7 класс
Область обучения: Отношения и пропорциональные отношения
Стандарт: Анализ пропорциональных отношений и их использование для решения реальных и математических задач
Индикатор: Используйте пропорциональные отношения для решения многошаговых задач на соотношение и проценты.
Примеры: простые проценты, налоги, надбавки и уценки, чаевые и комиссионные, сборы, процентное увеличение и уменьшение, процентная ошибка.
MCCRS.Math.Content.7.NS.A.1 7 класс
Область обучения: Система счисления
Стандарт: Применение и расширение предыдущего понимания операций с дробями для сложения, вычитания, умножения и деления рациональных чисел
Индикатор: применить и расширить прежнее понимание сложения и вычитания для сложения и вычитания рациональных чисел; представляют сложение и вычитание на горизонтальной или вертикальной диаграмме с числовыми линиями.
MCCRS.Math.Content.7.NS.A.1a 7 класс
Область обучения: Система счисления
Стандарт: Применение и расширение предыдущего понимания операций с дробями для сложения, вычитания, умножения и деления рациональных чисел
Индикатор: Опишите ситуации, в которых противоположные величины объединяются, чтобы получить 0. Для Например, атом водорода имеет нулевой заряд, потому что две его составляющие заряжены противоположно.
MCCRS.Math.Content.7.NS.A.1b 7 класс
Область обучения: Система счисления
Стандарт: Применение и расширение предыдущего понимания операций с дробями для сложения, вычитания, умножения и деления рациональных чисел
Индикатор: Понимание p + q как числа, расположенного на расстоянии |q | от p в положительном или отрицательном направлении в зависимости от того, является ли q положительным или отрицательным. Покажите, что число и его противоположность имеют сумму 0 (аддитивные инверсии). Интерпретируйте суммы рациональных чисел, описывая контексты реального мира.
MCCRS.Math.Content.7.NS.A.1c 7 класс
Область обучения: Система счисления
Стандарт: Применение и расширение предыдущего понимания операций с дробями для сложения, вычитания, умножения и деления рациональных чисел
Индикатор: Понимание вычитания рациональных чисел как сложения обратной добавки, p — д = р + (-д). Покажите, что расстояние между двумя рациональными числами на числовой прямой равно абсолютному значению их разности, и примените этот принцип в контексте реального мира.
MCCRS.Math.Content.7.NS.A.1d 7 класс
Область обучения: Система счисления
Стандарт: Применение и расширение предыдущего понимания операций с дробями для сложения, вычитания, умножения и деления рациональных чисел
Индикатор: Применение свойств операций в качестве стратегий для сложения и вычитания рациональных чисел .
MCCRS.Math.Content.7.NS.A.2 7 класс
Область обучения: Система счисления
Стандарт: Применение и расширение предыдущего понимания операций с дробями для сложения, вычитания, умножения и деления рациональных чисел
Индикатор: Применение и расширение предыдущего понимания операций с дробями для сложения, вычитания, умножения и деления рациональных чисел. Применяйте и расширяйте прежнее понимание умножения и деления, а также дробей, чтобы умножать и делить рациональные числа.
MCCRS.Math.Content.7.NS.A.2a 7 класс
Область обучения: Система счисления
Стандарт: Применение и расширение предыдущего понимания операций с дробями для сложения, вычитания, умножения и деления рациональных чисел
Индикатор: Поймите, что умножение распространяется с дробей на рациональные числа, требуя, чтобы операции продолжали удовлетворять свойствам операций, в частности свойству распределения, что приводит к таким произведениям, как (-1)(-1) = 1, и правилам для умножение чисел со знаком.
Интерпретируйте произведения рациональных чисел, описывая контексты реального мира.
MCCRS.Math.Content.7.NS.A.2b 7 класс
Область обучения: Система счисления
Стандарт: применять и расширять прежнее понимание операций с дробями для сложения, вычитания, умножения и деления рациональных чисел -делитель нуля) является рациональным числом. Если p и q целые числа, то -(p/q) = (-p)/q = p/(-q). Интерпретируйте частные рациональных чисел, описывая контексты реального мира.
MCCRS.Math.Content.7.NS.A.2c 7 класс
Область обучения: Система счисления
Стандарт: Применение и расширение предыдущего понимания операций с дробями для сложения, вычитания, умножения и деления рациональных чисел
Индикатор: Применение свойств операций в качестве стратегий для умножения и деления рациональных чисел.
MCCRS.Math.Content.7.NS.A.2d 7 класс
Область обучения: Система счисления
Стандарт: Применение и расширение предыдущего понимания операций с дробями для сложения, вычитания, умножения и деления рациональных чисел
Индикатор: преобразование рационального числа в десятичное с использованием длинного деления; известно, что десятичная форма рационального числа оканчивается на 0 или со временем повторяется.
MCCRS.Math.Content.7.NS.A.3 7 класс
Область обучения: Система счисления
Стандарт: Применение и расширение предыдущего понимания операций с дробями для сложения, вычитания, умножения и деления рациональных чисел
Индикатор: Решение реальных и математических задач, связанных с четырьмя операциями с рациональное число. (Вычисления с рациональными числами распространяют правила обращения с дробями на сложные дроби.)
MCCRS.Math.Content.7.EE.A.1 7 класс
Область обучения: выражения и уравнения
Стандарт: использование свойств операций для создания эквивалентных выражений
Индикатор: применение свойств операций в качестве стратегий для сложения, вычитания, факторизации и расширения линейных выражений с рациональными коэффициентами.
MCCRS.Math.Content.7.EE.A.2 7 класс
Область обучения: выражения и уравнения
Стандарт: использование свойств операций для создания эквивалентных выражений
Индикатор: Поймите, что переписывание выражения в разных формах в контексте задачи может пролить свет на проблему и на то, как связаны в ней величины.
Например, a + 0,05a = 1,05a означает, что «увеличение на 5%» — это то же самое, что «умножение на 1,05». —
MCCRS.Math.Content.7.EE.B.3 7 класс
Область обучения: выражения и уравнения
Стандарт: решение реальных и математических задач с использованием числовых и алгебраических выражений и уравнений
Индикатор: Решайте многоэтапные задачи из реальной жизни и математические задачи, связанные с положительными и отрицательными рациональными числами в любой форме (целые числа, дроби и десятичные дроби), стратегически используя инструменты. Применяйте свойства операций как стратегии для расчетов с числами в любой форме; конвертировать между формами по мере необходимости; и оценить обоснованность ответов, используя умственные вычисления и стратегии оценки. Например: если женщина, зарабатывающая 25 долларов в час, получает повышение на 10%, она будет получать дополнительную 1/10 своей зарплаты в час, или 2,50 доллара, за новую зарплату в 27,50 долларов.
Если вы хотите разместить полотенцесушитель 93/4 дюйма длиной в центре двери шириной 27 1/2 дюйма, вам нужно будет разместить планку примерно в 9 дюймах от каждого края; эту оценку можно использовать в качестве проверки точного вычисления.
MCCRS.Math.Content.7.EE.B.4 7 класс
Область обучения: выражения и уравнения
Стандарт: решение реальных и математических задач с использованием числовых и алгебраических выражений и уравнений
Индикатор: использование переменных для представления величин в реальной или математической задаче и построение простых уравнений и неравенства для решения проблем, рассуждая о количествах.
MCCRS.Math.Content.7.EE.B.4a 7 класс
Область обучения: выражения и уравнения
Стандарт: решение реальных и математических задач с использованием числовых и алгебраических выражений и уравнений
Индикатор: решение текстовых задач, ведущих к уравнениям вида px + q = r и p(x + q) = r, где p, q и r — конкретные рациональные числа.
Решите уравнения этих форм бегло. Сравните алгебраическое решение с арифметическим, указав последовательность операций, используемых в каждом подходе. Например, периметр прямоугольника равен 54 см. Его длина составляет 6 см. Какова его ширина?
MCCRS.Math.Content.7.EE.B.4b 7 класс
Область обучения: Выражения и уравнения
Стандарт: Решение реальных и математических задач с использованием числовых и алгебраических выражений и уравнений
Показатель: Решение текстовых задач, приводящих к неравенствам вида px + q > r или px + q < r, где p, q и r — конкретные рациональные числа. Нарисуйте график множества решений неравенства и интерпретируйте его в контексте проблемы. Например, как продавец, вам платят 50 долларов в неделю плюс 3 доллара за продажу. На этой неделе вы хотите, чтобы ваша зарплата была не менее 100 долларов. Напишите неравенство для количества продаж, которое вам нужно сделать, и опишите решения.
MCCRS.Math.Content.7.SP.A.
1
7 класс
Область обучения: Статистика и вероятность
Стандарт: Использование случайной выборки для получения выводов о населении
Индикатор: Понимание того, что статистику можно использовать для получения информации о населении путем изучения выборки населения; обобщения о совокупности из выборки действительны только в том случае, если выборка репрезентативна для этой совокупности. Поймите, что случайная выборка, как правило, дает репрезентативные выборки и поддерживает достоверные выводы.
MCCRS.Math.Content.7.SP.A.2 7 класс
Область обучения: Статистика и вероятность
Стандарт: Использование случайной выборки для получения выводов о совокупности
Индикатор: Использование случайной выборки для получения выводов о совокупности. Используйте данные из случайной выборки, чтобы сделать выводы о совокупности с неизвестной интересующей характеристикой. Создайте несколько выборок (или смоделированных выборок) одинакового размера, чтобы оценить различия в оценках или прогнозах.
Например, оцените среднюю длину слова в книге путем случайной выборки слов из книги; предсказать победителя школьных выборов на основе случайно выбранных данных опроса. Оцените, насколько далеко может быть оценка или прогноз.
MCCRS.Math.Content.7.SP.B.3 7 класс
Область обучения: Статистика и вероятность
Стандарт: Сделать неформальные сравнительные выводы о двух популяциях
Индикатор: Неформально оценить степень визуального перекрытия двух распределений числовых данных с одинаковыми вариациями, измеряя разницу между центрами, выражая ее как множитель меры изменчивости. Например, средний рост игроков баскетбольной команды на 10 см больше, чем средний рост игроков футбольной команды, что примерно вдвое превышает вариабельность (среднее абсолютное отклонение) в любой из команд; на точечном графике заметно разделение между двумя распределениями высот.
MCCRS.Math.Content.7.SP.B.4 7 класс
Область обучения: Статистика и вероятность
Стандарт: Сделать неформальные сравнительные выводы о двух совокупностях
Индикатор: Использовать меры центра и меры изменчивости для числовых данных из случайных выборок, чтобы сделать неформальные сравнительные выводы о двух совокупностях.
Например, решите, длиннее ли слова в главе учебника по естествознанию для седьмого класса, чем слова в главе из учебника по естествознанию для четвертого класса.
MCCRS.Math.Content.7.SP.C.5 7 класс
Область обучения: Статистика и вероятность
Стандарт: Исследование случайных процессов и разработка, использование и оценка вероятностных моделей
Индикатор: Понимание того, что вероятность случайного события представляет собой число от 0 до 1, выражающее вероятность происходящее событие. Большие числа указывают на большую вероятность. Вероятность, близкая к 0, указывает на маловероятное событие, вероятность около 1/2 указывает на событие, которое не является ни маловероятным, ни вероятным, а вероятность, близкая к 1, указывает на вероятное событие.
MCCRS.Math.Content.7.SP.C.6 7 класс
Область обучения: Статистика и вероятность
Стандарт: Исследование случайных процессов и разработка, использование и оценка вероятностных моделей
Индикатор: Приблизительное определение вероятности случайного события путем сбора данных о случайном процессе, который его вызывает, и наблюдения за его долгосрочная относительная частота и прогнозировать приблизительную относительную частоту с учетом вероятности.
Например, подбрасывая числовой куб 600 раз, предскажите, что число 3 или 6 выпадет примерно 200 раз, но, вероятно, не ровно 200 раз.
MCCRS.Math.Content.7.SP.C.7 7 класс
Область обучения: Статистика и вероятность
Стандарт: Исследование случайных процессов и разработка, использование и оценка вероятностных моделей
Показатель: Разработайте вероятностную модель и используйте ее для определения вероятностей событий. Сравните вероятности из модели с наблюдаемыми частотами; если согласие неудовлетворительное, объясните возможные источники несоответствия.
MCCRS.Math.Content.7.SP.C.7a 7 класс
Область обучения: статистика и вероятность
Стандарт: исследование случайных процессов и разработка, использование и оценка вероятностных моделей
Индикатор: разработка единой вероятностной модели путем назначения равной вероятности всем исходам и использование модели для определения вероятностей событий . Например, если из класса случайным образом выбран ученик, найдите вероятность того, что будет выбрана Джейн, и вероятность того, что будет выбрана девочка.
MCCRS.Math.Content.7.SP.C.7b 7 класс
Область обучения: статистика и вероятность
Стандарт: исследование случайных процессов и разработка, использование и оценка вероятностных моделей
Индикатор: разработка вероятностной модели (которая может быть неоднородной) путем наблюдения частот в данных, полученных в результате случайного процесса. Например, найдите приблизительную вероятность того, что крутящийся пенни упадет решкой вверх или что брошенный бумажный стаканчик упадет открытым концом вниз. Судя по наблюдаемым частотам, результаты для крутящегося пенни кажутся равновероятными?
MCCRS.Math.Content.7.SP.C.8 7 класс
Область обучения: Статистика и вероятность
Стандарт: Исследование случайных процессов и разработка, использование и оценка вероятностных моделей
Индикатор: Определение вероятностей сложных событий с использованием упорядоченных списков, таблиц, древовидных диаграмм и моделирования.
MCCRS.Math.Content.7.SP.C.8a 7 класс
Область обучения: статистика и вероятность
Стандарт: исследование случайных процессов и разработка, использование и оценка вероятностных моделей
Индикатор: Поймите, что, как и в случае с простыми событиями, вероятность составного события представляет собой долю исходов в выборочном пространстве, для которого происходит составное событие.
MCCRS.Math.Content.7.SP.C.8b 7 класс
Область обучения: Статистика и вероятность
Стандарт: Исследование случайных процессов и разработка, использование и оценка вероятностных моделей
Индикатор: Представление выборочных пространств для составных событий с использованием таких методов, как упорядоченные списки, таблицы и древовидные диаграммы. Для события, описанного повседневным языком (например, «выпадение двойных шестерок» ť), определите исходы в выборочном пространстве, составляющие событие.
MCCRS.Math.Content.
7.SP.C.8c
7 класс
Область обучения: Статистика и вероятность
Стандарт: Исследование случайных процессов и разработка, использование и оценка вероятностных моделей
Индикатор: Разработка и использование моделирования для генерации частот для составных событий. Например, используйте случайные числа в качестве инструмента моделирования для аппроксимации ответа на вопрос: если 40% доноров имеют кровь группы А, какова вероятность того, что потребуется не менее 4 доноров, чтобы найти одного с кровью группы А?
MCCRS.Math.Practice.MP.1 Классы K-12
Область обучения: Математические практики
Стандарт: Математические практики
Показатель: Разбираться в задачах и настойчиво решать их. Подкованные в математике учащиеся начинают с того, что объясняют себе смысл задачи и ищут пути ее решения. Они анализируют данные, ограничения, отношения и цели. Они строят предположения о форме и значении решения и планируют путь решения, а не просто пытаются найти решение.
Они рассматривают аналогичные проблемы и пробуют частные случаи и более простые формы исходной задачи, чтобы получить представление о ее решении. Они контролируют и оценивают свой прогресс и при необходимости меняют курс. Учащиеся постарше могут, в зависимости от контекста задачи, преобразовывать алгебраические выражения или менять окно просмотра на своем графическом калькуляторе, чтобы получить необходимую им информацию. Подкованные в математике учащиеся могут объяснять соответствия между уравнениями, словесными описаниями, таблицами и графиками или рисовать диаграммы важных функций и взаимосвязей, графически отображать данные и искать закономерности или тенденции. Младшие школьники могут полагаться на использование конкретных объектов или изображений, чтобы помочь осмыслить и решить проблему. Математически подкованные учащиеся проверяют свои ответы на задачи, используя другой метод, и они постоянно спрашивают себя: «Имеет ли это смысл?». Они могут понять подходы других к решению сложных задач и определить соответствие между различными подходами.
MCCRS.Math.Practice.MP.2 Классы K-12
Область обучения: Математические практики
Стандарт: Математические практики
Индикатор: Рассуждение абстрактно и количественно. Учащиеся, обладающие математическими способностями, понимают величины и их отношения в проблемных ситуациях. Студенты привносят две взаимодополняющие способности в решение проблем, связанных с количественными отношениями: способность деконтекстуализировать — абстрагировать данную ситуацию и представлять ее символически и манипулировать репрезентирующими символами, как если бы они жили собственной жизнью, не обязательно обращая внимание на свои референты — и способность контекстуализировать, делать паузы по мере необходимости в процессе манипулирования, чтобы исследовать референты для задействованных символов. Количественное рассуждение влечет за собой привычки создавать последовательное представление проблемы; рассмотрение задействованных единиц; обращать внимание на значение величин, а не только на то, как их вычислять; знание и гибкое использование различных свойств операций и объектов.
MCCRS.Math.Practice.MP.3 Классы K-12
Область обучения: Математические практики
Стандарт: Математические практики
Показатель: Придумывать обоснованные аргументы и критиковать рассуждения других. Подкованные в математике учащиеся понимают и используют заявленные предположения, определения и ранее установленные результаты при построении аргументов. Они строят предположения и выстраивают логическую последовательность утверждений, чтобы исследовать истинность своих предположений. Они способны анализировать ситуации, разбивая их на случаи, а также могут распознавать и использовать контрпримеры. Они обосновывают свои выводы, сообщают их другим и отвечают на аргументы других. Они индуктивно рассуждают о данных, выдвигая правдоподобные аргументы, учитывающие контекст, из которого эти данные возникли. Подкованные в математике учащиеся также способны сравнивать эффективность двух правдоподобных аргументов, отличать правильную логику или рассуждения от ошибочных и «если в аргументе есть изъян» объяснять, в чем он заключается.
Учащиеся начальной школы могут создавать аргументы, используя конкретные референты, такие как объекты, рисунки, диаграммы и действия. Такие аргументы могут иметь смысл и быть правильными, даже если они не обобщаются и не становятся формальными до более поздних классов. Позже учащиеся учатся определять области, к которым применяется аргумент. Учащиеся всех классов могут слушать или читать аргументы других, решать, имеют ли они смысл, и задавать полезные вопросы, чтобы прояснить или улучшить аргументы.
MCCRS.Math.Practice.MP.4 Классы K-12
Область обучения: Математические практики
Стандарт: Математические практики
Индикатор: Модель с математикой. Учащиеся, хорошо разбирающиеся в математике, могут применять математику, которую они знают, для решения проблем, возникающих в повседневной жизни, обществе и на рабочем месте. В младших классах это может быть так же просто, как написать уравнение сложения для описания ситуации. В средних классах учащийся может применять пропорциональные рассуждения, чтобы спланировать школьное мероприятие или проанализировать проблему в сообществе.
К старшей школе учащийся может использовать геометрию для решения задачи проектирования или использовать функцию для описания того, как одна интересующая величина зависит от другой. Подкованные в математике учащиеся, которые могут применять то, что они знают, спокойно делают предположения и приближения, чтобы упростить сложную ситуацию, понимая, что позже они могут потребовать пересмотра. Они способны определять важные величины в практической ситуации и отображать их отношения, используя такие инструменты, как диаграммы, двусторонние таблицы, графики, блок-схемы и формулы. Они могут математически анализировать эти отношения, чтобы делать выводы. Они обычно интерпретируют свои математические результаты в контексте ситуации и размышляют о том, имеют ли результаты смысл, возможно, улучшая модель, если она не достигла своей цели.
MCCRS.Math.Practice.MP.5 Классы K-12
Область обучения: Математические практики
Стандарт: Математические практики
Индикатор: Стратегически используйте соответствующие инструменты.
Подкованные в математике учащиеся рассматривают доступные инструменты при решении математической задачи. Эти инструменты могут включать карандаш и бумагу, конкретные модели, линейку, транспортир, калькулятор, электронную таблицу, систему компьютерной алгебры, статистический пакет или программное обеспечение для динамической геометрии. Профессиональные учащиеся достаточно хорошо знакомы с инструментами, соответствующими их классу или курсу, чтобы принимать обоснованные решения о том, когда каждый из этих инструментов может быть полезен, признавая как получаемое понимание, так и их ограничения. Например, математически подкованные старшеклассники анализируют графики функций и решений, построенные с помощью графического калькулятора. Они обнаруживают возможные ошибки, стратегически используя оценку и другие математические знания. Создавая математические модели, они знают, что технологии позволяют визуализировать результаты различных предположений, исследовать последствия и сравнивать прогнозы с данными.
Подкованные в математике учащиеся разных классов способны идентифицировать соответствующие внешние математические ресурсы, такие как цифровой контент, размещенный на веб-сайте, и использовать их для постановки или решения задач. Они могут использовать технологические инструменты для изучения и углубления своего понимания концепций.
MCCRS.Math.Practice.MP.6 Классы K-12
Область обучения: математические практики
Стандарт: математические практики
Показатель: внимание к точности. Математически подкованные ученики стараются точно общаться с другими. Они стараются использовать четкие определения в обсуждениях с другими и в собственных рассуждениях. Они заявляют о значении выбранных ими символов, включая последовательное и уместное использование знака равенства. Они внимательно относятся к указанию единиц измерения и маркировке осей, чтобы прояснить соответствие с количествами в задаче. Они рассчитывают точно и эффективно, выражают числовые ответы с точностью, соответствующей контексту задачи.
2 + 92 как 5 минус положительное число, умноженное на квадрат, и используйте это, чтобы понять, что его значение не может быть больше 5 для любых действительных чисел x и y.
MCCRS.Math.Practice.MP.8 Классы K-12
Область обучения: Математические практики
Стандарт: Математические практики
Показатель: Ищите и выражайте регулярность в повторяющихся рассуждениях. Подкованные в математике учащиеся замечают, повторяются ли вычисления, и ищут как общие методы, так и упрощения. Учащиеся старших классов могут заметить, что при делении 25 на 11 они повторяют одни и те же вычисления снова и снова, и прийти к выводу, что у них есть повторяющаяся десятичная дробь. Уделяя внимание вычислению наклона, постоянно проверяя, находятся ли точки на прямой, проходящей через (1, 2) с наклоном 3, учащиеся средней школы могут абстрагироваться от уравнения (y — 2)/(x -1) = 3. Заметив регулярность в том, как члены сокращаются при расширении (x — 1) (x + 1), (x — 1) (x ^ 2 + x + 1) и (x — 1) (x ^ 3 + x ^ 2 + x + 1) может привести их к общей формуле суммы геометрического ряда.
Работая над решением задачи, математически подкованные ученики контролируют процесс, уделяя внимание деталям. Они постоянно оценивают обоснованность своих промежуточных результатов.
WY.Math.7.RP.A.1 7 класс
Область обучения: Соотношения и пропорциональные отношения
Стандарт: Анализ пропорциональных отношений и их использование для решения реальных и математических задач.
Индикатор: вычисление удельных ставок, в том числе сложных дробей, с одинаковыми или разными единицами измерения.
WY.Math.7.RP.A.2 7 класс
Область обучения: Соотношения и пропорциональные отношения
Стандарт: Анализ пропорциональных отношений и их использование для решения реальных и математических задач.
Индикатор: Распознавание и представление пропорциональных отношений между величинами.
WY.Math.7.RP.A.2a 7 класс
Область обучения: Отношения и отношения пропорциональности
Стандарт:
Индикатор: Определите, находятся ли две величины в таблице или на графике в пропорциональной зависимости.
WY.Math.7.RP.A.2b 7 класс
Область обучения: Отношения и отношения пропорциональности
Стандарт:
Показатель: Определите константу пропорциональности (единичную норму) в таблицах, графиках, уравнениях, диаграммах и словесных описаниях пропорциональных отношений.
WY.Math.7.RP.A.2c 7 класс
Область обучения: Соотношения и пропорциональные отношения
Стандарт:
Индикатор: Представление пропорциональных отношений с помощью уравнений.
WY.Math.7.RP.A.2d 7 класс
Область обучения: соотношения и пропорциональные отношения
Стандарт:
Индикатор: Объясните, что означает точка (x, y) на графике пропорциональной зависимости с точки зрения ситуации, уделяя особое внимание точкам (0, 0) и (1, r), где r является единичной ставкой.
WY.Math.7.RP.A.3 7 класс
Область обучения: Соотношения и пропорциональные отношения
Стандарт: Анализ пропорциональных отношений и их использование для решения реальных и математических задач.
Индикатор: Решайте многошаговые реальные и математические задачи, связанные с отношениями и процентами.
Видео — 7 класс — SchoolKit
Добро пожаловать на домашнюю страницу иллюстративного обучающего видео по математике для 7 класса. 24 видеоролика для каждого класса были отобраны, чтобы помочь ученикам подготовиться к падению, когда они готовятся к поступлению в следующий класс по математике. Хотя в каждом классе предусмотрено более 24 основных уроков, мы определили ключевые уроки, связанные с основной работой в классе, которые необходимы учащимся для достижения успехов в математике в следующем классе. Несколько вещей, на которые стоит обратить внимание при просмотре этих видео:
- Вы можете приобрести печатные материалы для этих уроков через Kendall Hunt, LearnZillion, OpenUp Resources или McGraw Hill.
- Нажмите кнопку «Смотреть с аккомодацией» под каждым эпизодом, чтобы просмотреть версию со скрытыми субтитрами и службами описательного видео (VDS).
В новом окне нажмите кнопку «AD», чтобы включить VDS. - Эти видеоролики защищены © Open Up Resources, 2017 и доступны по лицензии Creative Commons Attribution 4.0. Вы можете скачать MP4 здесь. Свяжитесь с [email protected], чтобы запросить субтитры или файлы VDS.
- Всего будет доступно 24 видео на постоянной основе.
PBS IM класс 7 Эпизод 1 Блок 2 Урок 4
СМОТРЕТЬ СДЕЛАЦИИ
PBS IM класс 7 Эпизод 2 Урок 2 Урок 6
СМОТРИ С КОМПЛЕКТАЦИЯМ
PBS IM GRADE 7 EPESSTATIONS 3 UTARATATION Урок 7
Часы с приспособлениями
vimeo.com/video/432952278?title=0&byline=0&portrait=0″ frameborder=»0″ allow=»autoplay; fullscreen» allowfullscreen=»»>PBS IM класс 7 ЭПИЗОД 4 Часть 2 Урок 8
Часы с приспособлениями
PBS IM Grade 7 Эпизод 5 Блок 2 Урок 10
СМОТРЕТЬ СДЕЛАЦИЯМИ
PBS IM класс 7 Эпизод 2 Урок 2 Урок 11
Смотреть с размещением
PBS IM Старший класс 7 Эпизод. Урок 12
Часы с приспособлениями
PBS IM 7 класс ЭПИЗОД 8 Блок 5 Уроки 1,2
Часы с приспособлениями
vimeo.com/video/434755734?title=0&byline=0&portrait=0″ frameborder=»0″ allow=»autoplay; fullscreen» allowfullscreen=»»>PBS IM 7 класс 9 ЭПИЗОД 4, уроки
Watch с жильями
PBS IM класс 7 Эпизод 10 Блок 5 Урок 5
СМОТРЕТЬ С ОБЕСПЕЧЕНИЯМ
PBS IM GRADE 7 Эпизод 5 Урок 5 Урок 6
Watch с размещением в ближайшее время
.
PBS IM 7 класс ЭПИЗОД 12 Раздел 5 Урок 8
Часы с приспособлениями Скоро
PBS IM 7 класс ЭПИЗОД 13 Раздел 5 Урок 9
Часы с приспособлениями
vimeo.com/video/469074693″ frameborder=»0″ allow=»autoplay; fullscreen» allowfullscreen=»»/>PBS IM 7 класс ЭПИЗОД 14 Раздел 5 Урок 11 от SchoolKit на Vimeo.
PBS IM Grade 7 Эпизод 14 Блок 5 Урок 11
СМОТРЕТЬ С ОБЕСПЕЧЕНИЯМ
PBS IM класс 7 Эпизод 15 Блок 5 Уроки. Урок 10
Часы с приспособлениями
PBS IM класс 7 ЭПИЗОД 17 Часть 6 Урок 11
Часы с приспособлениями
PBS IM класс 7 Эпизод 18 Блок 6 Урок 18
СМОТРИ СДЕЛАЦИИ
