ГДЗ часть 1 206 математика 6 класс задачник Бунимович, Кузнецова – Telegraph
➡➡➡ ПОДРОБНЕЕ ЖМИТЕ ЗДЕСЬ!
ГДЗ часть 1 206 математика 6 класс задачник Бунимович, Кузнецова
Тут отличные гдз по математике задачник для 6 класса , Е . А . Бунимович , Л . В . Кузнецова, С . С . Минаева Сферы от Путина . Решебники в основном предназначены для использования родителями, которые помогают своим детям с домашним заданием, а также и для самих . .
ГДЗ по математике 6 класс Бунимович задачник часть 1 — 206 . Авторы : Е . А . Бунимович , Л . В . Кузнецова, С . С . Минаева . Рекомендуем посмотреть . Подробное решение часть 1 № 206 по математике задачник для учащихся 6 класса Сферы , авторов Бунимович , Кузнецова . .
Подробный разбор номеров из задачника по математике за 6 класс Бунимовича , Кузнецовой , Минаевой . Бесплатное ГДЗ . ГДЗ по математике за 6 класс Бунимович . Ответы, решение и решебник к задачнику . Бунимович , Кузнецова (задачник) .
Задачник Бунимович , Кузнецова Просвещение > Задание : 206 . Изображения обложек учебников приведены на страницах данного сайта исключительно в качестве иллюстративного материала (ст ГДЗ математика 6 класс задачник Бунимович , Кузнецова Просвещение .
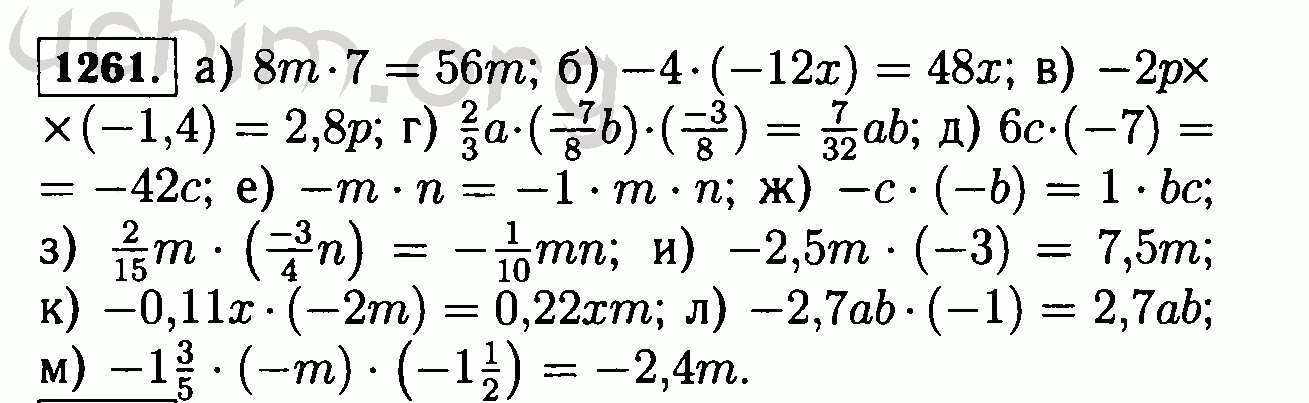
Подробный разбор решения задачи номер 206 из задачника по математике за 6 класс авторов: Бунимович Е .А ., Кузнецова Л .В ., Минаева С .С . Часть 1 . Задачи и упражнения . Сложение и вычитание десятичных дробей . (Стр . 31) . Номер №206 .
Авторы: Е . А . Бунимович , Л . В . Кузнецова , С . С . Минаева . Издательство: Просвещение год . Тип: Задачник , Сферы . Подробный решебник (ГДЗ ) по Математике за 6 (шестой) класс задачник — готовый ответ часть 1 — 206 . Авторы учебника: Бунимович , Кузнецова, Минаева .
Бунимович задачник за 6 класс , математика : на данной странице представлено решение задания «206 » из секции «Часть 1»
Авторы: Е . А . Бунимович , Л . В . Кузнецова , С . С . Минаева . Онлайн решебник задачник по Математике для 6 класса Е .
А . Бунимович , Л . В . Кузнецова , С . С . Минаева, гдз и ответы к домашнему заданию .
авторы: Е . А . Бунимович , Л . В . Кузнецова , С . С . Минаева . В шестом классе учащиеся приближаются к логическому разделению математической науки на алгебру и геометрию . А работа с пособием по математике 6 класс Бунимовича сделает ее в разы удобнее и Часть 1 .
Задачник к решебнику (ГДЗ ) по математике 6 класс Бунимович , Кузнецова, Минаева арифметика ГДЗ по математике за 6 класс Бунимович содержит готовые ответы Предполагается, что, когда человек хочет переписать, он будет смотреть первую часть, а при . .
Задачник » Бунимович , Кузнецова, Минаева . Издательский дом «Просвещение», Помимо этого авторы добавили в конец ГДЗ по математике 6 класс Бунимович дополнительные упражнения для закрепления знаний, а так же много интересных фактов . .
ГДЗ задачник по математике 6 класс Е .А .Бунимович . авторы: Е .А .Бунимович . издательство: «Просвещение» . Задачи . Часть 1 .
задачи и упражнения . Дроби и проценты .
. .по Математике Е . А . Бунимович , Л . В . Кузнецова , С . С . Минаева задачник , от издательства: Просвещение ФГОС , не простое занятие, поэтому ГДЗ поможем Вам сверить ответы к заданиям . ГДЗ по Математике за 6 класс Е . А . Бунимович , Л . В . Кузнецова задачник ФГОС .
гдз решебник математика 6 класс . ответы готовые домашние задания . На этой странице нашего сайта Вы найдете ответы (гдз – готовые домашние задания ) к задачнику , являющегося дополнением к учебнику 6 класса по математике, составленному прекрасным коллективом в . .
Математика 6 класс учебник Бунимович , Кузнецова, Минаева . * Изображения учебников приведены на страницах данного сайта исключительно в качестве иллюстративного материала (ст . 1274 п . 1 части четвертой Гражданского коса Российской Федерации) .
Тут отличные гдз по математике задачник для 6 класса , Е . А . Бунимович , Л . В . Кузнецова, С . С . Минаева Сферы от Путина . Решебники в основном предназначены для использования родителями, которые помогают своим детям с домашним заданием, а также и для самих .
.
ГДЗ по математике 6 класс Бунимович задачник часть 1 — 206 . Авторы : Е . А . Бунимович , Л . В . Кузнецова, С . С . Минаева . Рекомендуем посмотреть . Подробное решение часть 1 № 206 по математике задачник для учащихся 6 класса Сферы , авторов Бунимович , Кузнецова . .
Подробный разбор номеров из задачника по математике за 6 класс Бунимовича , Кузнецовой , Минаевой . Бесплатное ГДЗ . ГДЗ по математике за 6 класс Бунимович . Ответы, решение и решебник к задачнику . Бунимович , Кузнецова (задачник) .
Задачник Бунимович , Кузнецова Просвещение > Задание : 206 . Изображения обложек учебников приведены на страницах данного сайта исключительно в качестве иллюстративного материала (ст ГДЗ математика 6 класс задачник Бунимович , Кузнецова Просвещение .
Подробный разбор решения задачи номер 206 из задачника по математике за 6 класс авторов: Бунимович Е .А ., Кузнецова Л .В ., Минаева С .С . Часть 1 . Задачи и упражнения . Сложение и вычитание десятичных дробей .
(Стр . 31) . Номер №206 .
Авторы: Е . А . Бунимович , Л . В . Кузнецова , С . С . Минаева . Издательство: Просвещение год . Тип: Задачник , Сферы . Подробный решебник (ГДЗ ) по Математике за 6 (шестой) класс задачник — готовый ответ часть 1 — 206 . Авторы учебника: Бунимович , Кузнецова, Минаева .
Бунимович задачник за 6 класс , математика : на данной странице представлено решение задания «206 » из секции «Часть 1»
Авторы: Е . А . Бунимович , Л . В . Кузнецова , С . С . Минаева . Онлайн решебник задачник по Математике для 6 класса Е . А . Бунимович , Л . В . Кузнецова , С . С . Минаева, гдз и ответы к домашнему заданию .
авторы: Е . А . Бунимович , Л . В . Кузнецова , С . С . Минаева . В шестом классе учащиеся приближаются к логическому разделению математической науки на алгебру и геометрию . А работа с пособием по математике 6 класс Бунимовича сделает ее в разы удобнее и Часть 1 .
Задачник к решебнику (ГДЗ ) по математике 6 класс Бунимович , Кузнецова, Минаева арифметика ГДЗ по математике за 6 класс Бунимович содержит готовые ответы Предполагается, что, когда человек хочет переписать, он будет смотреть первую часть, а при .
.
Задачник » Бунимович , Кузнецова, Минаева . Издательский дом «Просвещение», Помимо этого авторы добавили в конец ГДЗ по математике 6 класс Бунимович дополнительные упражнения для закрепления знаний, а так же много интересных фактов . .
ГДЗ задачник по математике 6 класс Е .А .Бунимович . авторы: Е .А .Бунимович . издательство: «Просвещение» . Задачи . Часть 1 . задачи и упражнения . Дроби и проценты .
. .по Математике Е . А . Бунимович , Л . В . Кузнецова , С . С . Минаева задачник , от издательства: Просвещение ФГОС , не простое занятие, поэтому ГДЗ поможем Вам сверить ответы к заданиям . ГДЗ по Математике за 6 класс Е . А . Бунимович , Л . В . Кузнецова задачник ФГОС .
гдз решебник математика 6 класс . ответы готовые домашние задания . На этой странице нашего сайта Вы найдете ответы (гдз – готовые домашние задания ) к задачнику , являющегося дополнением к учебнику 6 класса по математике, составленному прекрасным коллективом в . .
Математика 6 класс учебник Бунимович , Кузнецова, Минаева .
* Изображения учебников приведены на страницах данного сайта исключительно в качестве иллюстративного материала (ст . 1274 п . 1 части четвертой Гражданского коса Российской Федерации) .
ГДЗ обучающие работы / О-1 5 математика 5 класс дидактические материалы Кузнецова, Минаева
ГДЗ упражнение 749 русский язык 6 класс Практика Лидман-Орлова, Пименова
ГДЗ часть 2 / упражнение 117 русский язык 4 класс Канакина, Горецкий
ГДЗ часть 2. страница 183 русский язык 3 класс Зеленина, Хохлова
ГДЗ учебник 2015. номер 649 (655) математика 6 класс Виленкин, Жохов
ГДЗ вариант 3 165 математика 6 класс дидактические материалы Мерзляк, Полонский
ГДЗ страница 23-24 алгебра 10 класс тематические тесты Шепелева
ГДЗ С-38. вариант 3 алгебра 11 класс самостоятельные работы Александрова
ГДЗ задача 146 геометрия 8 класс рабочая тетрадь Мищенко
ГДЗ часть 1 (страница) 241 литература 5 класс Меркин
ГДЗ задание 752 математика 5 класс Никольский, Потапов
ГДЗ § 19.
Вода на Земле 5 география 6 класс Герасимова, Неклюкова
ГДЗ § / § 25 2 математика 4 класс Муравин, Муравина
ГДЗ часть 1 / упражнение 139 русский язык 2 класс Чуракова
ГДЗ глава 6 47 русский язык 6 класс Шмелев, Флоренская
ГДЗ проверочные работы / П-36. вариант 1 алгебра 9 класс дидактические материалы Евстафьева, Карп
ГДЗ § 12 1 химия 10 класс Ерёмин, Кузьменко
ГДЗ чему вы научились / глава 3 / проверь себя 7 алгебра 8 класс Дорофеев, Суворова
ГДЗ Учебник 2019 / часть 2 340 (1189) математика 5 класс Виленкин, Жохов
ГДЗ тетрадь №1 89 русский язык 2 класс рабочая тетрадь Байкова, Малаховская
ГДЗ страница 89 история 6 класс Пономарев, Абрамов
ГДЗ номер 503 математика 5 класс рабочая тетрадь Мерзляк, Полонский
ГДЗ страница 119 английский язык 7 класс Морська, Кучма
ГДЗ параграф 15 2 алгебра 8 класс рабочая тетрадь Миндюк, Шлыкова
ГДЗ упражнение 754 алгебра 9 класс Мерзляк, Полонский
ГДЗ страница 28 математика 3 класс тесты и самостоятельные работы для текущего контроля Нефёдова
ГДЗ вариант 3 200 математика 6 класс дидактические материалы Мерзляк, Полонский
ГДЗ упражнение 1177 алгебра 7 класс Макарычев, Миндюк
ГДЗ страница 94 история 8 класс рабочая тетрадь Ермакова
ГДЗ номер 938 математика 5 класс Дорофеев, Шарыгин
ГДЗ упражнение 282 геометрия 7 класс Мерзляк, Полонский
ГДЗ учебник 2015.
упражнение 1084 (235) математика 5 класс Виленкин, Жохов
ГДЗ часть №1 / упражнение 33 русский язык 2 класс Климанова, Бабушкина
ГДЗ часть №2 / умножение числа 8 и деление на 8. восьмая часть числа 19 математика 2 класс Рудницкая, Юдачева
ГДЗ вправа 833 алгебра 8 класс Кравчук, Пидручна
ГДЗ упражнение 128 алгебра 10 класс Колягин, Ткачева
ГДЗ unit 3 / section 1-9 10 английский язык 7 класс Enjoy English Биболетова, Трубанева
ГДЗ упражнение 154 русский язык 1 класс Рамзаева
ГДЗ страница 12 музыка 4 класс рабочая тетрадь Сольфеджио Калинина
ГДЗ самостоятельная работа / самостоятельная работа №6 / вариант 1 3 алгебра 7 класс дидактические материалы Феоктистов
ГДЗ повторення / розділ 2 7 алгебра 7 класс Тарасенкова, Богатырева
ГДЗ урок / 27 4 обществознание 7 класс рабочая тетрадь Соловьева, Турчина
ГДЗ часть 2. страница 72 английский язык 2 класс rainbow Афанасьева, Михеева
ГДЗ часть 1 / страница 4 5 математика 3 класс Моро, Бантова
ГДЗ §20 1 обществознание 6 класс Кравченко, Певцова
ГДЗ §13.
Зависимость человека от климата. Агроклиматические ресурсы / Итоговые задания 1 география 8 класс Баринова
ГДЗ глава 11 14 физика 9 класс Задачник Генденштейн, Кирик
ГДЗ вариант 3 139 геометрия 9 класс дидактические материалы Мерзляк, Полонский
ГДЗ тетрадь 2 323 математика 5 класс рабочая тетрадь Лебединцева, Беленкова
ГДЗ номер 604 математика 5 класс Дорофеев, Шарыгин
Русский Язык 3 Класс Самонова ГДЗ
ГДЗ глава №2 / § 33 2 физика 9 класс рабочая тетрадь Гутник, Власова
ГДЗ Звездный Учебник 8 Класс
ГДЗ По Окружающему 3 Класс Данилова
Мерзляк Рабочая Тетрадь ГДЗ 1 Часть
ГДЗ Решебник Математика 6 класс Задачник «Просвещение» Бунимович, Кузнецова, Минаева.
ГДЗ Решебник Математика 6 класс Задачник «Просвещение» Бунимович, Кузнецова, Минаева.Математика 6 классЗадачникБунимович, Кузнецова, Минаева«Просвещение»
В шестом классе ребенок сталкивается с тем, что уже давно знакомые и привычные ему предметы стали невероятно сложны.
Еще одна неприятность – родители, которые раньше знали все, теперь не всегда могут быстро найти правильное решение задачи. В результате, выполнение каждого домашнего задания теперь отнимает всей больше времени, а контрольные работы просто пугают.
Надежный помощник ученика
Математика по своей сложности несоизмерима с арифметикой, а ведь со следующего года начинается еще более сложный предмет – алгебра. И каждая тема, которую ученик не понял сейчас, самым негативным образом скажется в следующем учебном году, когда уже началась постепенная подготовка к выпускным экзаменам. Именно сейчас любому школьнику, независимо от уровня его успеваемости, необходим тот, кто приходит на помощь и дома и в школе — решебник к учебнику «Математика 6 класс Задачник Бунимович, Кузнецова, Минаева Просвещение».
О пособии
Решебник состоит из двух частей:
- Двухуровневая система упражнений.
- Дополнительные темы на углубление пройденного материала.

- Детальные решения заданий.
Постоянная работа с пособием поможет быстро выполнять домашние задания и надежно готовиться к контрольным работам.
Упражнения
123456789101112131415161718192021222324252627282930313233343536373839404142434445464748495051525354555657585960616263646566676869707172737475767778798081828384858687888990919293949596979899100101102103104105106107108109110111112113114115116117118119120121122123124125126127128129130131132133134135136137138139140141142143144145146147148149150151152153154155156157158159160161162163164165166167168169170171172173174175176177178179180181182183184185186187188189190191192193194195196197198199200201202203204205206207208209210211212213214215216217218219220221222223224225226227228229230231232233234235236237238239240241242243244245246247248249250251252253254255256257258259260261262263264265266267268269270271272273274275276277278279280281282283284285286287288289290291292293294295296297298299300301302303304305306307308309310311312313314315316317318319320321322323324325326327328329330331332333334335336337338339340341342343344345346347348349350351352353354355356357358359360361362363364365366367368369370371372373374375376377378379380381382383384385386387388389390391392393394395396397398399400401402403404405406407408409410411412413414415416417418419420421422423424425426427428429430431432433434435436437438439440441442443444445446447448449450451452453454455456457458459460461462463464465466467468469470471472473474475476477478479480481482483484485486487488489490491492493494495496497498499500501502503504505506507508509510511512513514515516517518519520521522523524525526527528529530531532533534535536537538539540541542543544545546547548549550551552553554555556557558559560561562563564565566567568569570571572573574575576577578579580581582583584585586587588589590591592593594595596597598599600601602603604605606607608609610611612613614615616617618619620621622623624625626627628629630631632633634635636637638639640641642643644645646647648649650651652653654655656657658659660661662663664665666667668669670671672673674675676Аликвотные дроби (стр.
89-90)12345678Задача о пауке и мухе (стр. 90-91)
123О колесе, и не только о нем (стр. 92-93)
1234567Бесконечное деление (стр. 94-95)
12345Путешествие в зазеркалье (стр. 95-97)
1234В худшем случае (стр. 97-99)
1234567Системы счисления (стр. 99-102)
1234567891011Задачи, решаемые в целых числах (стр. 102-103)
1345Паркеты (стр. 103-104)
12345Похожие ГДЗ Математика 6 класс
Математика 6 классУчебникБунимович, Кузнецова, Минаева«Просвещение»
Упражнения: 1
Предыдущее
Следующее
Условие
Решебник №1
Решебник №2
Предыдущее
Следующее
закрытьГДЗ и решебники
Книги по математике для 6-8 классов
Книги по математике для 6-8 классов Магазин будет работать некорректно в случае, если куки отключены.
Похоже, в вашем браузере отключен JavaScript. Для наилучшего взаимодействия с нашим сайтом обязательно включите Javascript в своем браузере.
Поиск
Учебники по математике 6-8
У Гейера есть учебники по математике, которые нужны для классов с шестого по восьмой. Наши книги просты для понимания и содержат примеры из реальной жизни, чтобы помочь учащимся чувствовать себя уверенно при самостоятельном решении математических задач. Используя наши книги, математические навыки ваших учеников могут улучшиться, и они смогут перейти на следующий уровень. Книги также помогут подготовить учащихся к математике в средней школе. Серия книг «Принципы и стандарты математики» охватывает все темы, которые учащиеся 6–8-х классов должны изучать и соответствовать государственным стандартам.
Показывать
12 24 36
на страницу
Сортировать по Позиция наименование товара Цена Установить нисходящее направление
Посмотреть как Сетка Список
18 шт.
Страница
- Вы сейчас читаете страницу 1
- Страница 2
- Страница Следующий
Показывать
12 24 36
на страницу
Сортировать по Позиция наименование товара Цена Установить нисходящее направление
Посмотреть как Сетка Список
18 шт.
