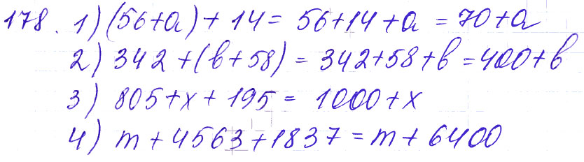
Ответы Задание 2 . ГДЗ по математике 5 класс Мерзляк Полонский Якир учебник ответы
11. Решаем устно234567891011121314151616. Решаем устно17181920212223242526272829303132333435363738394041424343. Решаем устно444546474849505152535455565758596061626364656667686970717273747576777879808182838484. Решаем устно858687888990919293949596979899100101102103104105106107108109110111111. Решаем устно112113114115116117118119120121122123124125126127128129130131132133134135136137138139140141141. Решаем устно142143144145146147148149150151152153154155156157158159160161162163164165166.. Задание № 1 Проверьте себя в тестовой форме166166. Решаем устно167168169170171172173174175176177178179180181182183184185186187188189190191192193194195196196. Решаем устно197198199200201202203204205206207208209210211212213214215216217218219220221222223224225226227228229230231232233234235236237238239240240. Решаем устно241242243244245246247248249250251252253254255256257258259260261262263264265266266. Решаем устно267268269270271272273274275276277278279280280.
Решаем устно548549550551552553554555556557558559560561562563563. Решаем устно564565566567568569570571572573574575576577578579580581582583584585586587588589590591592593594595596597597. Решаем устно598599600601602603604605606607608609610611612613614615616616. Решаем устно617618619620621622623624625626627628629630631632633634635636637638639640641642643644644. Решаем устно645646647648649650651652653654655656657658659660661662663664665666667668669670671672673.. Задание № 3 Проверьте себя в тестовой форме673673. Решаем устно674675676677678679680681682683684685686687688689690691692693694695696697698699700701702703704705706707708709710711712713714715716717718718. Решаем устно719720721722723724725726727728729730731732733734735736737738739740741742742. Решаем устно743744745746747748749750751752753754755756757757. Решаем устно758759760761762763764765766767768768. Решаем устно769770771772773774775776777778779780781782783784785786787788789790791792793794795796.. Задание № 4 Проверьте себя в тестовой форме796796.
Решаем устно1056105710581059106010611062106310641065106610671068106910701071107210731074107510761077107810791080108110821083108410851086108710881089109010911091. Решаем устно1092109310941095109610971098109911001101110211031104110511061107110811091110111111121113111411151116111711181119112011211122.. Задание № 6 Проверьте себя в тестовой форме11221123112411251126112711281129113011311132113311341135113611371138113911401141114211431144114511461147114811491150115111521153115411551156115711581159116011611162116311641165116611671168116911701171117211731174117511761177117811791180118111821183118411851186118711881189119011911192119311941195119611971198119912001201120212031204120512061207120812091210121112121213121412151216121712181219122012211222Итоговые задания в тестовой формеОтветы Задание 770 . ГДЗ по математике 5 класс Мерзляк Полонский Якир учебник ответы
11. Решаем устно234567891011121314151616. Решаем устно17181920212223242526272829303132333435363738394041424343.
Решаем устно444546474849505152535455565758596061626364656667686970717273747576777879808182838484. Решаем устно858687888990919293949596979899100101102103104105106107108109110111111. Решаем устно112113114115116117118119120121122123124125126127128129130131132133134135136137138139140141141. Решаем устно142143144145146147148149150151152153154155156157158159160161162163164165166.. Задание № 1 Проверьте себя в тестовой форме166166. Решаем устно167168169170171172173174175176177178179180181182183184185186187188189190191192193194195196196. Решаем устно197198199200201202203204205206207208209210211212213214215216217218219220221222223224225226227228229230231232233234235236237238239240240. Решаем устно241242243244245246247248249250251252253254255256257258259260261262263264265266266. Решаем устно267268269270271272273274275276277278279280280. Решаем устно281282283284285286287288289290291292293294295295. Решаем устно296297298299300301302303304305306307308309310311312313314315316317318319320320. Решаем устно321322323324325326327328329330331332333334335336337337.

. Задание № 6 Проверьте себя в тестовой форме11221123112411251126112711281129113011311132113311341135113611371138113911401141114211431144114511461147114811491150115111521153115411551156115711581159116011611162116311641165116611671168116911701171117211731174117511761177117811791180118111821183118411851186118711881189119011911192119311941195119611971198119912001201120212031204120512061207120812091210121112121213121412151216121712181219122012211222Итоговые задания в тестовой формеЛус-дель-Мундо Интернасьонал
Enseanza Dominical: Virtudes de una mujer de Dios.
Eclesiastes.3:1-15Texto para memorizar: Eclesiastes.3:1-15Texto para memorizar: Eclesiastes.3:1-150008
FELICIDADES HNO. PUERTAS: Ya son 88 años… y los que faaaltan!
Amado hermano Пуэртас: ¡Feliz cumpleaños! En este día especial, queremos felicitarle por el le.
..ПодробнееEnseñanza Dominical: Cuida tu honra y la no la cambies 26/02/2023
Тема: 1764Fecha: 26/02/2023CUIDA TU HONRA Y NO LA CAMBIESLectura: Genesis.25:27-34Texto para memori…Подробнее
Enseñanza Dominical: La verdadera amistad 19/02/2023
Тема: 1763Fecha: 19/02/2023LA VERDADERA AMISTADLectura: 1 Samuel.20:1-42Texto para memorizar: Prover…Подробнее
Micromensaje diario del Dr. Jaime Puertas
Hno. Пуэртас
|ENSEÑANZA DOMINICAL| ПАСТОР ХУАН ФЛОРЕС
Enseñanza
NOTICIAS ANTERIORES
ULTIMOS ESTUDIOS DOMINICALES
- Enseñanza Dominical: Enseñar, predicar y sanar 15.01.2023
Тема: 1758 Феча: 15/01/2023Enseñar, predicar y sanarLectura: Mateo.
4:12-25Texto para memorizar: Mateo 4:23Y recorrió Jesús toda Galilea, enseñando en las sinagogas de… - Enseñanza Dominical [8 декабря 2023 г.] NUEVO AÑO DE DECISIONES
Тема: 1757Получение: 01.08.2023NUEVO AÑO DE DECISIONESLectura: Isaías.43:1-18Texto para memorizar: 2 Tesalonicenses.1:11 «Por lo cual asimismo oramos siempre por vosotros, para…
- Enseñanza Dominical [# 01enero 2022] Primero es Dios!
Тема: 1756Подача: 01/01/2023Primero es DiosLectura: Proverbios.
3: 1-10Texto para memorizar: Marcos.12:30 «Y amarás al Señor tu Dios con todo tu corazón,…
Национальный директор
Терминос-де-Бускеда: Бускеда аванзадаAquí puede ver algunos ejemplos sobre comopuedes usar esta característica:
Introduciendo esto y eso dentro del Formulario de búsqueda, le devolverá resultsados de búsqueda que contengan las palabras «esto» y «eso».
Introduciendo esto no es eso en el Formulario de búsqueda, le devolverá resultsados de búsqueda que contengan «esto» y no «eso».
Introduciendo esto o eso en el Formulario de Búsqueda, le devolverá resultsados que contengan «esto» o «eso».
Introduciendo «esto y eso» (con las comillas) en el Formulario de búsqueda, le devolverá resultsados que contengan la frase точное «esto y eso».
los resultsados de búsqueda también se pueden filtrar con una Variad de Criterios.
..Подробнее
4:12-25Texto para memorizar: Mateo 4:23Y recorrió Jesús toda Galilea, enseñando en las sinagogas de…
3: 1-10Texto para memorizar: Marcos.12:30 «Y amarás al Señor tu Dios con todo tu corazón,…