Номер 373 — ГДЗ по Математике 5 класс Учебник Виленкин, Жохов, Чесноков, Шварцбурд 2021. Часть 2 (решебник)
Номер 373 — ГДЗ по Математике 5 класс Учебник Виленкин, Жохов, Чесноков, Шварцбурд 2021. Часть 2 (решебник) — GDZwowПерейти к содержанию
Search for:
Авторы: Виленкин Н.Я., Жохов В.И., Чесноков А.С., Шварцбурд С.И.
Издательство: Мнемозина
Тип: Учебник
Новая версия
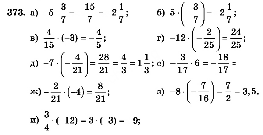
1 ЧАСТЬ
Выберите номер
123456789101112131415161718192021222324252627282930313233343536373839404142434445464748495051525354555657585960616263646566676869707172737475767778798081828384858687888990919293949596979899100101102103104105106107108109110111112113114115116117118119120121122123124125126127128129130131132133134135136137138139140141142143144145146147148149150151152153154155156157158159160161162163164165166167168169170171172173174175176177178179180181182183184185186187188189190191192193194195196197198199200201202203204205206207208209210211212213214215216217218219220221222223224225226227228229230231232233234235236237238239240241242243244245246247248249250251252253254255256257258259260261262263264265266267268269270271272273274275276277278279280281282283284285286287288289290291292293294295296297298299300301302303304305306307308309310312313314315316317318319320321322323324325326327328329330331332333334335336337338339340341342343344345346347348349350351352353354355356357358359360361362363364365366367368369370371372373374375376377378379380381382383384385386387388389390391392393394395396397398399400401402403404405406407408409410411412413414415416417418419420421422423424425426427428429430432433434435436437438439440441442443444445446447448449450451452453454455456457458459460461462463464465466467468469470471472473474475476477478479480481482483484485486487488489490491492493494495496497498499500501502503504505506507508509510511512513514515516517518519520521522523524525526527528529530531532533534535536537538539540541542543544545546547548549550551552553554555556557558559560561562563564565566567568569570571572573574575576577578579580581582583584585586587588589590591592593594595596597598599600601602603604605606607608609610611612613614615616617618619620621622623624625626627628629630631632633634635636637638639640641642643644645646647648649650651652653654655656657658659660661662663664665666667668669670671672673674675676677678679680681682683684686687688689690691692693694695696697698698699701702703704705706707708709710711712713714715716717718719720721722723724725726727728729730731732733734735736737738739740741742743744745746747748749750751752753754755756757758759760761762763764765766767768769770771772773774775776777778779780781782783784785786787788789790791792793793794795797798799800801802803804805806807808809810811812813814815816817817819820821822823824825826827828829830831832833834835836837838839840841842843844845846847848849850851852
2 ЧАСТЬ
Выберите номер
12345678910111213141516171819202122232425262728293031323334353637383940414243444546474849505152535455565758596061626364656667686970717273747576777879808182838485868788899091929394959697989910010110210310410510610710810911011111211311411511611711811912012112212312412512612712812913013113213313413513613713813914014114214314414514614714814915015115215315415515615715815916016116216316416516616716816917017117217317417517617717817918018118218318418518618718818919019119219319419519619719819920020120220320420520620720820921021121221321421521621721821922022122222322422522622722822923023123223323423523623723823924024124224324424524624724824925025125225325425525625725825926026126226326426526626726826927027127227327427527627727827928028128228328428528628728828929029129229329429529629729829930030130230330430530630730830931031131231331431531631731831932032132232332432532632732832933033133233333433533633733833934034134234334434534634734834935035135235335435535635735835936036136236336436536636736836937037137237337437537637737837938038138238338438538638738838939039139239339439539639739839940040140240340440540640740840941041141241341441541641741841942042142242342442542642742842943043143243343443543643743843944044144244344444544644744845045145245345445545645745845946046146246346446546646746846947047147247347447547647747847948048148248348448548648748848949049149249349449549649749849950050150250350450550650750850951051151251351451551651751851952052152252352452552652752852953053153253353453553653753853954054154254354454554654754854955055155255355455555655755855956056156256356456556656756856957057157257357457557657757857958058158258358458558658758858959059159259359459559659759859960060160260360460560660760860961061161261361461561661761861962062162262362462562662762862963063163263363463563663763863964064164264364464564664764864965065165465565665765865966066166266366466566666766866967067167267367467567667767867968068168268368468568668768868969069169269369469569669769869970070170270370470570670770870971071171271371471571671771871972072172272372472572672772872973073173273373473573673773873974074174274374474574674774874975075175275375475575675775875976076176276376476576676776876977077177277377477577677777877978078178278378478578678778878979079179279379479579679779879980080180280380480580680780880981081181281381481581681781881982082182282382482582682782882983083183283383483583683783883984084184284384484584684784884985085185285385485585685785885986086186286386486586686786886987087187287387487587687787887988088188288388488588688788888989089189289389489589689789889990090190290390490590690790890991091191291391491591691791891992092192292392492592692792892993093193293393493593693793893994094194294394494594694794894995095195295395495595695795895996096196296396496596696796896997097197297397497597697797897998098198298398498598698798898999099199299399499599699799899910001001100210031004100510061007100810091010101110121013101410151016101710181019102010211022102310241025102610271028102910301031103210331034103510361037103810391040104110421043104410451046104710481049105010511052105310541055105610571058105910601061106210631064106510661067106810691070107110721073107410751076107710781079108010811082108310841085108610871088108910901091109210931094109510961097109810991100110111021103110411051106110711081109111011111112111311141115111611171118111911201121112211231124112511261127112811291130113111321133113411351136113711381139114011411142114311441145114611471148114911501151115211531154115511561157115811591160116111621163116411651166116711681169117011711172117311741175117611771178117911801181118211831184118511861187118811891190119111921193119511961197119811991200120112021203120412051206120712081209121012111212121312141215121612171218121912201221122212231224122512261227122812291230123112321233123412351236123712381239124012411242124312441245124612471248124912501251125212531254125512561257125812591260126112621263126412651266126712681269127012711272127312741275127612771278127912801281128212831284128512861287128812891290129112921293129412951296129712981299130013011302130313041305130613071308130913101311131213131314131513161317131813191320132113221323132413251326132713281329133013311332133313341335133613371338133913401341134213431344134513461347134813491350135113521353135413551356135713581359136013611362136313641365136613671368136913701371137213731374137513761377137813791380138113821383138413851386138713881389139013911392139313941395139613971398139914001401140214031404140514061407140814091410141114121413141414151416141714181419142014211422142314241425142614271428142914301431143214331434143514361437143814391440144114421443144414451446144714481449145014511452145314541455145614571458145914601461146214631464146514661467146814691470147114721473147414751476147714781479148014811482148314841485148614871488148914901491149214931494149514961497149814991500150115021503150415051506150715081509151015111512151315141515151615171518151915201521152215231524152515261527152815291530153115321533153415351536153715381539154015411542154315441545154615471548154915501551155215531554155515561557155815591560156115621563156415651566156715681569157015711572157315741575157615771578157915801581158215831584158515861587158815891590159115921593159415951596159715981599160016011602160316041605160616071608160916101611161216131614161516161617161816191620162116221623162416251626162716281629163016311632163316341635163616371638163916401641164216431644164516461647164816491650165116521653165416551656165716581659166016611662166316641665166616671668166916701671167216731674167516761677167816791680168116821683168416851686168716881689169016911692169316941695169616971698169917001701170217031704170517061707170817091710171117121713171417151716171717181719172017211722172317241725172617271728172917301731173217331734173517361737173817391740174117421743174417451746174717481749175017511752175317541756175717581759176017611762176317641765176617671768176917701771177217731774177517761777177817791780178117821783178417851786178717881789179017911792179317941795179617971798179918001801180218031804180518061807180818091810181118121813181418151816181718181819182018211822182318241825182618271828182918301831183218331834183518361837183818391840184118421843184418451846184718481849
Adblockdetector
Промежуточной аттестации по математике 6 класса
Спецификация промежуточной аттестации по математике 6 класса
2021/22 учебный года
1.
Назначение работы–проверка знаний учащихся 6 класса.
2. Содержание работы построено в соответствии с Федеральным Законом Российской Федерации от 29.12.2012 г. No 273 «Об образовании в Российской Федерации»; в целях реализации ФГОС НОО (утв. Приказом МОиН РФ от 6 октября 2009 г. No 373, с изменениями от 26 ноября 2010 г. No 1241), с требованиями Федерального государственно-
го образовательного стандарта (ФГОС) основного общего образования (утверждён приказом Министерства образования и науки РФ от 17 декабря 2010 года No 1897).
3. Характеристика работы. В работу включены 5 заданий с выбором ответа.
В работе задания двух уровней сложности: базового и повышенного.
Представительность содержания: в работе представлены
Структура работы: задания расположены по нарастанию трудности.
4. Содержание работы соответствует учебнику Математика 6 класс, автор Н. Я. Виленкин и др.
5. . Характеристика заданий. В работе используются задания с решением.
6. План работы представлен в таблице. Условные обозначения
видов познавательной деятельности: ЗП –знание/понимание; АЛ –алгоритм; РЗ –решение задач.
№ | Раздел содержания | Объект оценивания | Тип задания | Вид деятельности | Макс. бал |
1 | Числовое выражение | Арифметичес-кие действия | Б | АЛ | 1 |
2 | Окружность | Определение длины оружности или площади круга | Б | ЗП | 1 |
3 | Уравнение | Найти процент то числа | Б | АЛ | 1 |
4 | Текстовая задача | Понимание содер- жательного смысла понятия дроби | Б | ЗП | 1 |
5 | Числовое выражение | Арифметичес-кие действия | Б | АЛ | 1 |
7.
Рекомендации к проведению работы. Время проведения: апрель.
Время на выполнение работы: 1 урок (45 минут)
Критерии оценивания заданий
Оценка 3 | Оценка 4 | Оценка 5 |
3 балла | 4 балла | 5 балла |
Вариант 1
1.Вычислите:
(8/11-20/55) 66/20
2. Найдите длину окружности, если диаметр равен 3,5 см.
3.Найдите значение выражения I x- 7/3I -5/3, если х=3/5
4.Рабочие отремонтировали 820 м за 3 дня. В первый день отремонтировали 2/5 этой дороги, а во второй день 80% оставшейся части. Сколько метров дороги отремонтировали в третий день?
5. Вычислите: -81:(76-67)
Вариант 2
1. Вычислите:
3.12+2,75
2.Найдите длину окружности, если радиус равен 36 см.
3. Найдите значение выражения 3Iх-1I-2I3-yI, если х=0,7 у= 1,7
4.
В магазин привезли 658 кг персиков. В первый день продали 2/7 всех персиков, а во второй день 0,3 оставшихся персиков. Сколько килограммов персиков продали во второй день?
5. Вычислите: (18/5-31/15) 5
Вариант 3
1.Вычислите:
4,22 +1,275
2. Найдите площадь круга, если радиус равен 4,2 см.
3. Решите уравнение: 2/3 Х+4/9Х=3,2
4.В инкубатор заложили 1200 яиц. Из 23/24 вылупились цыплята. При этом оказалось, что петушки 2/5 всех вылупившихся цыплят. Склько петушков и курочек вылупились из яиц?
5. Вычислите: 3/10 (-5/6)+2/3 (-3/8)
Вариант 4
1.Вычислите:
3,29-0,6 1,4
2. Найдите площадь круга, 12см.если радиус равен
3. Найдите значение выражения 2I1-xI-5I-yI, если х=2 у=3
4.Периметр прямоугольника 66м. Длина одной его стороны составляет 3/11 периметра. Найдите площадь прямоугольника.
5. Вычислите:35/24 :15/32 -3
Вариант | № задания | Ответ |
1 | 1 | 1целая1/11 |
2 | 10,99см | |
3 | 1/15 | |
4 | 98,4м | |
5 | -9 |
Вариант | № задания | Ответ |
2 | 1 | -12,36 |
2 | 226,08см | |
3 | -1,7 | |
4 | 141кг | |
5 | 7целых 2/3 |
Вариант | № задания | Ответ |
3 | 1 | 18,915 |
2 | 5,3896кв. |
